Introduction
Plant growth is greatly influenced by environmental stresses including water deficit, salinity and extreme temperatures (De Leonardis et al., 2007). Water availability is the most important factor affecting plant growth and yield, mainly in arid and semi-arid regions, where plants are often subjected to periods of water deficit (Khayatnezhad et al., 2010). Plant responses to water deficit are influenced by the period, intensity, duration, and frequency of the stress as well as by plant-soil-atmosphere interactions (Saint Pierre et al., 2012). Crop yield is reduced mostly when drought stress occurs during the heading or flowering stages (Johari-Pireivatlou and Maralian, 2011). In wheat, drought stress during maturity decreased yield by 10%, but moderate stress during early vegetative growth had no effect on yield (Bauder, 2001). Water stress in wheat changes the patterns of plant growth and development (Dadbakhsh et al., 2012). Depressed water potential suppresses cell division, organ growth, affects net photosynthesis and protein synthesis and alters the hormonal balance of plant tissues (Gusta and Chen, 1987). From an agronomic perspective, drought stress is a condition in which limited water supply prevents the growth or yield of a plant from attaining its genetic potential, while surpassing the plant’s aptitude of homeostatic mechanisms to compensate for this deficit (Bürling et al., 2013).
Aside from environmental or physiological conditions, increasing cereal yield is required to meet the 70% predicted increment in global demand for food supply by 2050 (Semenov et al., 2014). The demand for wheat in developing countries, would increase by 60% in 2050 (He et al., 2013). Wheat is one of the three world staple crops (Del Pozo et al., 2014), bread wheat (Triticum aestivumL.) accounts for more than 90% of global production and it is grown on over 100 000 million ha in more than 70 countries, whereas almost 5% of global wheat production is durum wheat (Triticum turgidumssp.durum), of which 35% comes from North Africa and Western Asia, 35% from North America, and 30% from the EU (He et al., 2013). Cereals represent a basic food for the Tunisian population and thus have high social, economic and nutritional relevance (Zaied et al., 2012). Wheat is a main ingredient in the traditional Tunisian diet, particularly in bread, couscous, pasta and biscuits, it is cultivated on about 1.6 million ha of the total agricultural land (5 million ha); in 2012, wheat production in Tunisia reached 1.1 million Mg, including 900 000 Mg of durum wheat and 200 000 Mg of bread wheat (Belkacem-Hanfi et al., 2013).
Bread and durum wheat are among crops most influenced by increasing water stress and water scarcity in dry areas of the Mediterranean region (Karrou and Oweis, 2012). Durum wheat is more tolerant to stress than bread wheat (Marti and Slafer, 2014); although, evidence is not straightforward since there are few studies in which the performance of bread and durum wheat was directly compared. In Tunisia, land dedicated to cereals is concentrated in the Northern and North-Western regions where the climate varies from semi-arid to sub-humid. There, grain yield fluctuates significantly due to the inter-annual variability of rainfall, adding to seasonal moisture deficits, even through a wet year (Jemai et al., 2013).
Wheat yield is often analyzed in terms of components (spikes per area, grains per ear, or grain size), and correlations among components are reported, but only partly understood. Compensations among components are one of the chief barriers to improve yield using this approach (Slafer et al., 2014). Developing high-yielding wheat cultivars under water stress conditions in arid and semi-arid regions is the main objective of wheat breeding programs (Leilah and Al-Khateeb, 2005). Drought stress can reduce all yield components, but particularly the number of fertile spikes per unit area and the number of grains per ear (Abayomi and Wright, 1999), whereas kernel weight is negatively influenced by high temperatures and drought during ripening (Chmielewski and Kohn, 2000). In addition, Chen et al. (2012) reported that drought indices, which measure drought based on the decrease in grain yield under drought stress relative to watered conditions, are used to select drought-tolerant genotypes. In response to drought stress, there are several physiological and morphological strategies, varying from dehydration avoidance to dehydration tolerance (Saint Pierre et al., 2012). Drought indices that provide a measure of drought based on the loss of yield under drought-conditions in comparison to normal conditions are used to screen drought-tolerant genotypes (Mitra, 2001). These indices are either based on drought resistance or on the susceptibility of genotypes to drought (Fernandez, 1992).
Drought tolerance consists of the ability of a crop to grow and produce under water deficit conditions (Khayatnezhad et al., 2011). The plant avoids stress by different strategies, including deep rooting, reduced leaf area, reduced growth duration (early flowering), and mechanisms related to increased water use efficiency (WUE) (Saint Pierre et al., 2012). Observable syndromes of plants exposed to water stress in the vegetative stage include leaf wilting, reduced plant height, area and number of leaves and a delay in the timing of flowers and flower bud formation (Guendouz et al., 2014).
Good management of crops in the field and of soil humidity for appropriate utilization of soil, water and environmental resources play a significant role in the optimum growth and functioning of fundamental plant organs (Hakoomat et al., 2013). Negative impacts of fluctuations in rainfall and dry periods on the production of rainfed crops may be overcome by supplemental irrigation (Karrou and Oweis, 2012). Yield increases with an increment in water supply, but when water surpasses a certain level (excessive irrigation), yield is negatively affected (Wang et al., 2013). Appropriate irrigation can be used to effectively regulate the growth of plants, optimize phase allocation of water consumption, and guarantee high water consumption intensity during the flowering stage, which favors the growth of reproductive organs (Wang et al., 2013). Supplemental irrigation is a highly efficient way to improve agricultural production (yield), including of wheat (Marano et al., 2012), and increase livelihoods in dry, rainfed regions (Oweis and Hachum, 2006).
In Tunisia, Belhouchette et al. (2012) report that irrigated lands account for only 8% of the total cultivated area (4.21 million ha). Nevertheless, these lands have strong effects on economic and social activities by ensuring 95% of the market’s vegetable production, 35% of total agricultural production, 30% of dairy products and 23% of agrarian employment (Belhouchette et al. (2012).
Plant yield achieved under drought and optimal conditions is used to develop indices of drought tolerance (Grzesiak et al., 2013). According to Raman et al. (2012), stress tolerance (TOL) is defined as the difference in yield among stressed and non-stressed conditions, with higher values of TOL indicating the susceptibility of a given genotype, resulting in a stress susceptibility index (SSI) that evaluates the reduction in yield caused by unfavorable versus favorable conditions; lower SSI values show fewer differences in yield across stress levels, i.e., greater resistance to drought.
Therefore, the objective of this study was to investigate the impact of supplementary irrigation applied at heading and anthesis stages on yield and yield-related components of durum wheat and bread wheat varieties under semi-arid conditions.
Materials and Methods
A field study was conducted at Siliana, Tunisia, using three new durum wheat varieties (Nasr, Mâali and Salim) and the two most cultivated bread wheat varieties (Utique and the recently developed Tahent). The varieties were evaluated in contrasting water regimes: T0, rainfed conditions, (water stress); T1: irrigation applied at the tillering and flowering stages (well-watered; control); with three replications per treatment. Siliana lies in a semi-arid region located 130 km North-West of Tunisia (36° 4’ 55” N, 9° 22’ 29” E) with a 30-year mean between 300 and 450 mm annual rainfall and average temperature of 14.6 °C (Bergaoui and Louati, 2010). Temperature and rainfall from sowing to harvest are presented in Table 1.
Table 1 Mean temperature (°C) and rainfall (mm) during the growing cycle. Siliana, Tunisia (2012 to 2013).
The soil texture was a clay-loam with 12.5% sand, 1.72% organic matter, 11 ppm soil P2O5, 383 ppm K2O, 69.55 ppm N, 51.91% CaCO3 and pH 7.9.
The experiment field received 100 kg ha-1 of di-ammonium phosphate at sowing. Nitrogen (33.5% ammonium nitrate) was applied post-sowing at 150 kg ha-1 in two equal fractions (lifting and tillering). Seeding rates were 160 kg ha-1 for durum wheat and 140 kg ha-1 for bread wheat and plots (10 m×3 m) were sown on December 24, 2012. All plots of the irrigation experiment were irrigated with a sprinkler system. Two irrigations were applied at the tillering and flowering stages (25 mm for each irrigation).
Five traits were measured: plants per square meter (NP), tillers per square meter (NT), ears per square meter (NE), seeds per ear (NSE) and 1000-kernel weight (TKW). To estimate the tolerance and susceptibility of varieties, the following indices were used:
Stress susceptibility index (SSI ) was determined based on the mean yield of plants under suitable and stressed conditions. A low SSI indicates poor adaptability of plant yield under stress relative to non-stress conditions, resulting from greater drought tolerance of the plant (Fischer and Maurer, 1978).
Tolerance (Rosielle and Hamblin, 1981):
Mean productivity (Rosielle and Hamblin, 1981):
Stress tolerance index (Fernandez, 1992):
where Ypi is mean yield of the variety under non-stressed conditions, Ysi is the mean yield of the variety under stress, Yp is the mean yield of all varieties under non-stress conditions and Ys is the mean yield of all varieties under stress.
Analysis of variance for each trait was performed and means (three replications) were compared using Tukey test (p≤0.05). These analyses were performed with SPSS ver. 16.0 (IBM SPSS Statistics; SPSS Inc., SPSS for Windows, 2007, Chicago, USA) software.
Results and Discussion
Water stress significantly affected NP, NE, NSE and TKW, but NT was not changed. The interaction effect of treatment X variety was significant for all traits, except NT and TKW (Table 2).
Table 2 Analysis of variance of five traits for wheat varieties studied in irrigated and non-irrigated conditions. Siliana, Tunisia (2012-2013).

*p≤0.05; ** p≤0.01; ns: non significant; df: degrees of freedom.
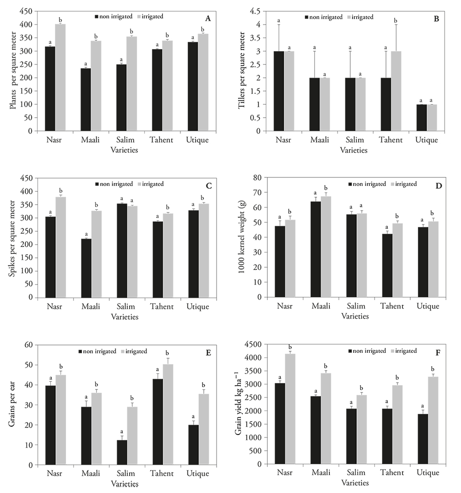
Our results showed a significant reduction in all traits in all varieties grown in drought conditions compared to irrigated conditions (Figure 1). This trend is similar to that found by Kiliç and Yagbasanlar (2010) in 14 durum wheat genotypes in which drought stress reduced the spikes per square meter, grains per ear and TKW. A greater reduction in all traits, yield and yield-related components were recorded in the drought-susceptible varieties compared to other varieties (Figure 1). Also, in comparison with bread wheat, durum wheat had greater grain yield under control (non-irrigated) conditions (Figure 1F). The rationale for allotting lower-yielding environments to durum wheat may be related to its greater affinity for marginal environments than bread wheat (Marti and Slafer, 2014) although, relative to barley and bread wheat, durum wheat has lower yield stability (Cossani et al., 2011).

Means with different letters for each irrigation regime are statistically different (p≤0.05).
Figure 1 Effect of irrigation on grain yield ha-1 and its components.
Nasr (durum wheat), under irrigated conditions, showed the best yield (4.1 Mg ha-1) compared to Maâli (3.41 Mg ha-1) and Salim (2.5 Mg ha-1). Thus, Nasr is a suitable variety, in combination with irrigation, in order to improve yield. Tahent and Utique (bread wheats) show the same trend in seed yield in irrigated conditions (2.96 and 3.28 Mg ha-1) and non-irrigated conditions (2.08 Mg ha-1 and 1.88 Mg ha-1, respectively).
In our study, for most of the varieties, decreased significantly NP, NE, NSE and TKW under water stress, which is similar to the results reported by Akram (2011) in which water deficit applied at different growth stages reduced yield components in two cultivars of bread wheat. Li et al. (2013) report that drought and heat stress severely reduced the TKW of durum wheat; besides, water stress decreases biomass, tillering ability, grain size and number of grains per ear at any phase (Akram, 2011). Grain yield decreased under water stress compared to the control for all varieties (Figure 1F) and, according to Akram (2011), drying soils decrease yield and yield-related components of a plant, even in tolerant genotypes.
According to Richards (2006), the reasons for lower grain yield under stress are mainly a reduction in the number of spikes per plant, number of grains per ear and number of tillers per plant. Pedro et al. (2012) show that yields were better explained by grain number than by the average grain weight for both crop and individual plant, and that yield was linked to the number of grains (per plant in isolated plants, and per m2 in crop stands). In a field study, grain weight was higher in five genotypes of durum wheat than in five genotypes of bread wheat under contrasting treatments of water (rainfed and irrigation at different stage) and nitrogen (Marti and Slafer, 2014).
Supplemental irrigation increased grain yield by 74.4%, 42.3%, 36.1%, 33.7% and 24.5% in Utique, Tahent, Nasr, Maâli and Salim, respectively, compared with rainfed conditions (Figure 1F). These results are similar to those observed in bread wheat: 1) Sarwar et al. (2010) point out that bread wheat yield increased with increasing irrigation levels: I5 increased grain yield by 124.8% followed by I4 (113.8%), more than I1 treatment (I1=irrigation at the crown root stage; I4=irrigation at the crown root, tillering, booting and earring stages; I5=irrigation at the crown root, tillering, booting, earring and milking stages); 2) Mesbah (2009) report that irrigation water (3809 m3 ha-1) significantly increased grain yield; 3) for durum wheat, Guendouz et al. (2012) show a 12.42% difference in grain yield under stressed (rainfed) and non-stressed condition (irrigation).
Johari-Pireivatlou and Maralian (2011) show that grain yield in 10 bread wheat cultivars, which was based on the mean value across all cultivars, decreased by 39% under water stress compared to the control. In T. aestivum, Liu and Li (2005) point out that severe drought stress (rainfed conditions) caused a 13% reduction in grain yield, as compared with the well-watered treatment.
According to Maralian et al. (2010), if water stress occurred at the tillering or heading stages of bread wheat, grain yield decreased more than 37%. Drought and high temperature during anthesis reduced the storage capacity of cereal grains by decreasing the number of endosperm cells or the number of amyloplasts initiated (Jones et al., 1996), and can reduce the final kernel size by limiting the rate and duration of the filling process, causing earlier physiological maturity (Gupta et al., 2001).
A decrease in NE, NSE and NP reduced grain yield (Table 3), which showed a positive significant correlation with NE (r=0.376*) and NSE (r=0.604**), corroborating the results of Johari-Pireivatlou and Maralian (2011) who report that grain yield had a positive and significant correlation with ears per square meter, grains per ear and 1000 kernel weight in 10 bread wheat varieties. NSE was also correlated (r=0.36) with grain yield ha-1.
Table 3 Pearson correlation coefficients among traits on wheat varieties. Siliana, Tunisia (2012-2013).

* p≤0.05; ** p≤0.01.
Simane et al. (1993) point out that the grains per ear had significant, positive and direct effects on grain yield under moisture stress as well as under well-watered conditions. The number of spikes per square meter is mainly accountable for coarse regulations determined by environmental factors, whereas while the number of grains per ear is mostly responsible for coarse regulations caused by genotypic differences (Slafer et al., 2014). Our results (Table 3) showed that NSE and NP contributed more to enhance total yield than other traits. Grain yield depends on spike length, 1000-kernel weight and the number of effective tillers (Bayoumi et al., 2008).
Plant yield is explained by the number of grains per plant, whereas the average weight of grains is less important in determining yield (Pedro et al., 2012). Grain number seems to be most important in response to large differences in yield conditions than grain weight (Slafer et al., 2014).
The ability of plant cultivars to perform well in drought-stressed conditions is paramount for the stability of yield production. The relative yield performance of cultivars in drought-stressed and non-stressed conditions may be used as a pointer to recognize drought-resistant cultivars in breeding for drought-prone environments. Several drought indices were proposed on the basis of a mathematical link among yield under drought conditions and non-stressed conditions. These indices are based on drought resistance or drought susceptibility of cultivars (Raman et al., 2012).
Based on grain yield under rainfed and irrigated conditions, drought tolerance indices (STI, SSI, TOL and MP) were calculated (Table 4). STI varied in different varieties, from 0.47 in Salim to 1.10 in Nasr. Nasr displayed the highest STI and the highest grain yield under drought and control conditions (Figure 1F). Ashraf et al. (2015) report that STI is a useful means to determine high yield and stress tolerance potential of bread wheat.
Table 4 Drought tolerance and susceptibility indices for wheat varieties studied in irrigated and non-irrigated conditions. Siliana, Tunisia (2012-2013).

STI: stress tolerance index, TOL: stress tolerance, SSI: stress susceptibility index, MP: mean productivity. Values with different letters in a column are statistically different (Tukey, p≤0.05).
Utique had the highest TOL (Table 4), which indicates that it had a large decrease in grain yield under drought conditions and thus higher drought sensitivity. These results agree with those obtained by Nouri et al. (2011), who found that a durum wheat genotype, G4, had a greater TOL value, which indicated that a higher drought sensitivity and larger reduction in grain yield under rainfed conditions.
All the morphological traits assessed in this study (NP, NT, NE, NSE and TKW) and different indices (STI, TOL, SSI and MP) could explain some of the mechanisms related to drought tolerance and may be useful in breeding programs for screening and selecting drought-tolerant varieties. A positive and significant correlation was observed between Y s and Y p with STI and MP (Table 5). Thus, STI and MP can be suitable to screen drought-tolerant varieties of both durum and bread wheats.
Table 5 Pearson correlation coefficients among drought tolerance indices. Siliana, Tunisia (2012-2013).

* p≤0.05;** highly significant p≤0.01.
Y s : mean yield of all varieties under stress, Y p : mean yield of all varieties under non-stress conditions, SSI: stress susceptibility index, STI: stress tolerance index, MP : mean productivity, TOL: stress tolerance
Conclusion
Supplemental irrigation increase most yield-related traits as well as grain yield of durum and bread wheat. The differential responses of different varieties to water stress points to the drought tolerant ability of wheat. Based on their positive and significant correlation coefficient with Y s and Y p , both STI and PM were the most suitable indexes to screen wheat genotypes under drought stress conditions. According to the indices, Salim was the most drought-susceptible genotype, whereas Nasr was the most drought-tolerant genotype. Thus, Nasr is thus suitable for cultivation in semi-arid regions.










texto en 


