Introducción
Para aumentar la eficiencia del uso del agua en la agricultura es necesario determinar la tasa diaria de ET (ET) de los cultivos establecidos en una región, que permita determinar los volúmenes de agua por aplicar (Béziat et al., 2013; Lawson y Blatt, 2014). La tasa de ET es el resultado de la evaporación desde la superficie del suelo y la transpiración por los estomas de las hojas. Estos procesos ocurren simultáneamente y en un ecosistema natural son difícil de separar (Allen et al., 2006; Escrig et al., 2012). Los principales factores ambientales que determinan la tasa de ET son la radiación, temperatura del aire, déficit de presión de vapor y velocidad del viento (Allen et al., 2006).
La tasa de ET se puede medir por métodos, como los de enfoque micro meteorológico, uso de lisímetros y medición de los cambios de la humedad del suelo (Abtew y Melesse, 2013; Escarabajal-Henarejos et al., 2014). Sin embargo, la implementación de estos métodos es muy costosa y de difícil aplicación, por lo cual se debe aplicar métodos que permitan determinar la ET de cultivos a partir de la ET de referencia. Hay varios métodos para obtener la ET de referencia en una localidad (Li et al., 2008; Vega y Jara, 2009; Escarabajal-Henarejos et al., 2014). El método más recomendado es el FAO Penman-Monteith (Guevara-Diaz, 2006; Sentelhas et al., 2010), que es el procedimiento estándar. Trezza et al (2008) aplicó dicho método para la programación del riego mediante el balance hídrico en el suelo, en un cultivo de caña de azúcar (Saccharum officinarum), mientras que Intrigliolo et al. (2009) lo usaron para determinar la tasa de ET de una plantación de vid (cv Riesling) y en la programación del riego. Moratiel y Martínez-Cob (2012) determinaron la ET de referencia mediante el método FAO Penman-Monteith para calcular la ET de una plantación de vid (Vitis vinífera, cv. Red Globe) de un clima semiárido con malla sombra sobre el dosel de las plantas.
La tasa diaria de ET de una plantación de vid es pequeña con relación a la observada en cultivos de cobertura total (maíz, alfalfa, sorgo, caña de azúcar) (Zhang et al., 2008; Álvarez et al., 2013), debido a que la superficie que ocupan las franjas de plantas de vid es menor que la de los pasillos (Chen et al., 2010). Por lo tanto, al aplicar el método FAO Penman-Monteith se debe considerar esta relación (Allen et al., 2006; López et al., 2015).
El cultivo de vid tiene una gran importancia económica y social por la mano de obra necesaria para su manejo y por la demanda creciente de vinos tintos en el mundo (Spinelli et al.,2011; Cohen et al., 2015). En México, las plantaciones de vid se localizan principalmente en la zona norte que corresponde a un clima árido o semiárido, donde el agua es el recurso más limitante para la producción agrícola, por lo cual es importante determinar la ET diaria de los viñedos para una mejor programación de los riegos. En consecuencia, el objetivo de este estudio fue evaluar la aplicación del método FAO Penman-Monteith, para obtener la tasa de ET diaria de los viñedos a partir de la ET de referencia.
Materiales y Métodos
Ubicación y características del sitio de estudio
El estudio se realizó durante el ciclo de producción de abril a septiembre del año 2014, en un viñedo cv Shiraz de siete años de edad, propiedad de la Vinícola San Lorenzo, Parras de la Fuente, Coahuila, México. Esta localidad está a 25° 30’ N, 102° 11’ O, y 1505 m de altitud y el clima es seco semiárido con temperatura promedio de 14 a 18 °C. La precipitación promedio anual es 366 mm, con vientos dominantes del este durante los meses en los cuales se realizó el estudio (INIFAP, 2015).
En el viñedo se delimitaron dos secciones, cada una de 5.2 ha (204 m en la dirección E-O, por 256 m en dirección N-S). Las líneas de plantas están alineadas en la dirección N-S a 1.5 m de espaciamiento entre plantas y 2.5 m de distancia entre hileras, con una densidad de 2620 plantas ha-1. El agua se aplica 2 h d-1 con un sistema de riego por goteo, el gasto del emisor fue 2.1 L h-1, y el ancho de mojado (0.40 m) fue una lámina de agua de 7 mm. El cultivo recibió el manejo agronómico (poda, fertilización y control fitosanitario) de acuerdo con las normas establecidas por la Vinícola San Lorenzo.
Instrumentación y mediciones
El método de la covarianza eddy se usó para determinar la tasa de ET actual (ETa) diaria (abril a septiembre) de cada sección del viñedo. Para esto se obtuvo el flujo de calor latente (LE) y sensible (H) con las siguientes ecuaciones (Ham y Heilman, 2003):
donde L es el calor de vaporización del agua, w es la velocidad vertical del viento ρwv es la densidad del vapor de agua en el aire, ρa, Cp y Ta son la densidad, capacidad calorífica y temperatura del aire, respectivamente; y Ts es la temperatura sónica. Las variables con símbolo de prima significan desviaciones respecto a la media y la barra horizontal sobre dos variables denota la covarianza entre las variables para un determinado segmento de tiempo (30 min).
La velocidad vertical del viento y la temperatura sónica se midieron con un anemómetro sónico tridimensional (CSI-CSAT3, Campbell, Scientific, Inc., Logan, Utah, EE.UU.); para obtener ρwv se usó un analizador infrarrojo de bióxido de carbono y vapor de agua de sendero abierto (Open Path CO2/H2O analyzer, LI-7500. LI-COR, Lincon, Nebraska, EE.UU.). La temperatura del aire (Ta) se midió con un sensor de temperatura y humedad relativa (HP45C, Vaisala, Inc., Woburn, MA, EE.UU.). Los sensores se montaron en un poste a 3 m de altura sobre la superficie del suelo (1 m sobre el dosel de las plantas) en el extremo oeste y al punto medio de las hileras de plantas de cada sección.
El anemómetro sónico tridimensional se orientó hacia el este, para que el viento tuviera un mínimo de 200 m de contacto con la superficie vegetal en la dirección E-O y 125 m en la dirección N-S, antes del contacto con los sensores. La frecuencia de medición de los sensores fue 10 Hz, los flujos se obtuvieron a promedios de 30 min, y los datos se almacenaron en tarjetas del módulo de memoria de un datalogger CR1000 (Campbell, Cientific, Inc., Logan, Utah, EE.UU.).
Para evaluar la precisión de las mediciones de los flujos de H y LE se determinó el balance de energía sobre la superficie vegetal (Zermeño-González et al., 2010; Shapland et al., 2012) con la siguiente relación:
donde Rn es la radiación neta, H es el flujo de calor sensible, LE es el flujo de calor latente, y G es el flujo de calor en la superficie del suelo; las unidades de todas las variables se expresaron en W m-2. La Rn se midió con un radiómetro neto (LITE, Keep and Zonen, Inc., Delft, Holanda) colocado a 1 m sobre el dosel del viñedo de cada sección, El flujo de calor en la superficie del suelo (G) promedio ponderado de cada sección, se obtuvo midiendo G con un transductor de calor (modelo HFT3, Campbell Scientific, Inc., Logan, Utah, EE.UU) a 0.08 m bajo la superficie, al punto medio de una de las hieras al centro de dos plantas bajo el dosel, y otra al centro de un pasillo (suelo desnudo). Al flujo de calor a 0.08 m se sumó el cambio de energía acumulado en el estrato de suelo (sobre el transductor) debido al cambio de temperatura a 0.02 y 0.06 m bajo la superficie del suelo que se obtuvo con un termopar (chromel-constantan) de 4 puntas (Kustas et al., 2000; Payero et al., 2005; Balbontín-Nesvara et al., 2011). El flujo de calor sensible (H) y latente (LE) se corrigieron por efecto de diferencia de densidad entre las masas de aire ascendentes y descendentes (Webb et al., 1980).
Método FAO Penman-Monteith
La determinación de la ET de referencia por el procedimiento FAO Penman-Monteith se basa en la aplicación de la ecuación original de Penman Monteith (Novák, 2012), a utna superficie extensa de un pasto turgente de 0.12 m de altura sin déficit de humedad en el suelo y bajo condiciones de una atmósfera neutra (Allen et al., 2006; Almorox et al., 2012).
Para determinar el flujo diario de calor latente de referencia (LE PM), cuando las mediciones meteorológicas corresponden a los valores promedio o integrados de las horas de mayor tasa de ET (8:00 a 20:00 h), la ecuación de Penman Monteith se escribe como:
donde S es la pendiente de la curva de presión de vapor a saturación vs temperatura para una determinada temperatura (kPa K-1),Rn es la radiación neta (MJ m-2 d-1), G es el flujo de calor en la superficie del suelo (MJ m-2 d-1), ρa es la densidad del aire (kg m-3), Cp es la capacidad calorífica del aire (MJ kg-1 K-1),δe es el déficit de presión de vapor promedio del segmento de tiempo considerado (kPa), g es la constante psicrométrica de la localidad (kPa K-1), ra es la resistencia aerodinámica promedio del aire al flujo de vapor de agua para el mismo segmento de tiempo (s m-1), y rs es la resistencia del dosel (s m-1).
En la determinación del flujo de calor latente de referencia por el método FAO Penman-Monteith, la resistencia aerodinámica (ra) para una superficie extensa de pasto de 0.12 m de altura en una atmósfera neutra se determina con la relación:
donde u 2 es la velocidad del viento promedio (m s-1) a 2 m de altura sobre la superficie. Para el mismo pasto se asigna un valor de 70 s m-1 a la resistencia del dosel. El flujo de calor en la superficie del suelo se estima como el 10 % del valor de la radiación neta (G=0.10*Rn). La Rn se estima para una superficie vegetal de cobertura completa de un albedo (índice de reflectividad de la radiación solar) de 0.23, a partir de la radiación solar total incidente y realizando un balance de radiación de onda corta y larga sobre el dosel del pasto (Allen et al., 2006).
La velocidad del viento se midió con un anemómetro sónico tridimensional (3-D sonic anemometer, Campbell Sci., Logan, Utah, USA), la radiación solar total incidente con un Sylicon Pyranometer (LI-200X, Lincon, Nebraska, USA). El déficit de presión de vapor (δe) se obtuvo a partir de la temperatura y humedad relativa del aire que se midieron con una sonda de temperatura y humedad (HC2S3 (temperature and relative humidity probe, Campbell, Sci., Logan, Utah). Las mediciones se realzaron a una frecuencia de 1 s, y los promedios se obtuvieron cada 30 min.
La tasa diaria de ET de referencia (ETr) se obtuvo dividiendo el flujo diario de calor latente de referencia (LE_PM) por el calor de vaporización del agua (L). La medición de ETr con el método FAO Penman-Monteith es para un pasto que cubre toda la superficie; por lo tanto para cultivos establecidos en hileras y que no cubren toda la superficie del suelo se debe considerar un factor de relación de cobertura. Para estimar la tasa de ETa a partir de la ETr, se obtuvieron los coeficientes mensuales de ajuste por desarrollo de cultivo (Kc) de acuerdo con la siguiente relación:
Así el valor del Kc mensual (que varía con el desarrollo fenológico del cultivo) se obtuvo dividiendo la ETa total del mes correspondiente de una de las secciones del viñedo (medida con el método de la covarianza eddy) por la ETr total del mismo mes, medida con el método FAO Penman Monteith. Esto es para tener una mejor estimación de la ETa, ya que el manual FAO 56 solo describe el valor de dos coeficientes Kc, uno para el valor máximo y el otro para el valor final.
Evaluación estadística
La validación del método FAO Penman Monteith, se realizó comparando los datos de ET actual diaria medidos (con el método de la covarianza eddy), contra la estimada con el método FAO Penman-Monteith. Para esto se aplicó la prueba no paramétrica de Wilcoxon para poblaciones pareadas (Wilcoxon, p≤0.05).
Resultados y Discusión
Balance de energía sobre el dosel del viñedo
El balance de energía sobre la superficie vegetal muestra que la suma de los flujos por turbulencia (H+LE) fueron en promedio 15% menor que la energía disponible (Rn-G) (Figura 1). Este pequeño desbalance está dentro del margen aceptable de diferencia del balance de energía cuando H y LE se miden con el método de la covarianza eddy (Twine et al., 2000; Ham and Heilman, 2003; Foken, 2008). En estudios similares realizados por Tonti et al. (2013) en un cultivo de soya (Glycine max), la suma de H+LE fue en promedio 22 % menor que la energía disponible Rn-G, mientras que para una plantación de vid Balbontín-Nesvara et al., 2011) reportaron una diferencia de 19%, en el mismo contexto.

Figura 1 Relación entre la suma de los flujos de la superficie (H+LE) y la energía disponible (Rn-G) (valores promedio de 30 min), sobre el dosel de un viñedo (cv Shiraz).
Relación entre la ET medida en el viñedo y la de referencia con el método FAO Penman-Monteith
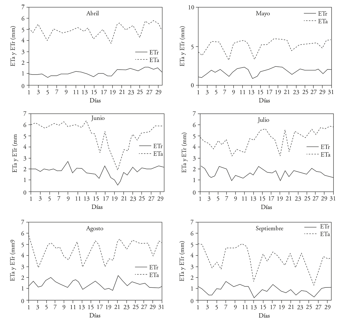
La tasa de ETa medida con el método de la covarianza eddy presentó el mismo patrón de variación que la tasa de ETr obtenida con el método FAO Penman-Monteith (Figura 2). Nótese que en los meses del ciclo de producción del cultivo, la tasa de ETr fue mayor que la ETa, pero con el mismo patrón de variación (por ser afectadas por las mismas condiciones meteorológicas). En promedio, para los meses señalados, la ETr fue 4.73 mm d-1, mientras que la ET actual fue 1.48 mm d-1, así la diferencia fue 31.3 %. Esta diferencia se debió a que la ETr considera una superficie vegetal (pasto de 0.12 m de alto) de cobertura completa, mientras que el viñedo con 2.5 m de distancia entre hileras y 0.80 m de ancho del dosel de plantas, solo cubrió el 32 % de la superficie total. Al ajustar la ETr por el factor de cobertura (0.32), la tasa diaria de ETa fue muy similar a la ETr y la diferencia promedio fue solo 1.93 % (Figura 3).

Figura 2 Tasa diaria de evapotranspiración medida con el método de la covarianza eddy (ETa) y la de referencia (Etr) con el método FAO Penman Monteith (ETr) en un cultivo de vid (cv Shiraz).
Relación entre la tasa de ET actual medida y actual estimada
La tasa diaria de ETa se obtuvo multiplicando la tasa de ETr corregida por el factor de relación de cobertura por los coeficientes mensuales de ajuste por desarrollo de cultivo (Kc) obtenidos en este estudio. El Cuadro 1 muestra que el valor de Kc aumenta de abril a junio, se mantiene ligeramente mayor a 1 en julio y agosto y decrece en septiembre. Esta variación coincide con el desarrollo vegetativo del cultivo y el proceso posterior de senescencia de las plantas. Patrones similares de variación del Kc se observaron en diferentes cultivos de ciclo anual (Li et al., 2008; Villagra et al., 2014; de Guimaraes et al., 2015).
Cuadro 1 Tasa de evapotranspiración mensual medida con el método de la covarianza Eddy (Eta), y la referencia medida con e método FAO Penman Monteith modificada por el factor de cobertura (ETr) y la determinación de los coeficientes mensuales de ajuste por ajuste por desarrollo de cultivo (Kc).
La tasa diaria de ETa medida con el método de la covarianza eddy y la ETa estimada a partir de la ET de referencia (método FAO Penman-Monteith) fue muy similar en los meses del ciclo de producción del viñedo (Figura 4). La prueba de Wilcoxon para poblaciones pareadas indicó que dichas poblaciones son estadísticamente iguales (p≤0.01). Este resultado permite reconfirmar la aplicación del método FAO Penman Monteith para estimar la tasa de ETa del viñedo a partir de la ETr. La información meteorológica requerida por el método FAO Penman-Monteith se puede obtener de las estaciones climatológicas más cercanas a la zona de cultivo; así, su aplicación no tiene costo respecto a los métodos que necesitan sensores para mediciones in situ (como el método de la covarianza eddy) para medir la tasa diaria de ET. Otros estudios en diferentes cultivos también recomiendan usar este método para determinar la tasa de ET actual en diferentes regiones. Trezza et al. (2008) midieron la ETa de un cultivo de caña de azúcar, a partir de la ET de referencia para una mejor programación de la irrigación y causó un mayor rendimiento del cultivo. Er-Raki et al. (2009) reportan una mejor medición de la ETa de una huerta de árboles de naranja (Citrus sinensis), usando el método FAO Penman-Monteith cuando los valores de Kc se obtuvieron a partir de mediciones de la ET del cultivo con el método de la covarianza eddy. Según Lage et al. (2003), la ET medida (con el método del lisímetro) en un cultivo de arroz fue muy similar a la ET del mismo cultivo obtenida a partir del método FAO Penman Monteith; además señalan una ligera subestimación del método debido al ingreso de energía advectiva de las zonas adyacentes.

Figura 4 Tasa diaria de evapotranspiración actual (ETa) medida con el método de la covarianza eddy y la estimada a partir de la evapotranspiración de referencia (método FAO Penman Monteith), durante los meses de producción (abril a septiembre de 2014) en un viñedo (cv Shiraz) en la Vinícola San Lorenzo, Parras, Coahuila.
Conclusiones
La medición de la tasa diaria de ET actual de un viñedo (cv Shiraz) a partir de la ET de referencia con el método FAO Penman Monteith, con la corrección por la relación de cobertura y los coeficientes mensuales de ajuste por desarrollo de cultivo (Kc), es igual a la tasa diaria de ET actual del viñedo medida con el método de la covarianza eddy. Esto reconfirma el uso del método FAO Penman-Monteith para medir la tasa diaria de ET actual de los viñedos.










texto en 









