Introducción
Las enfermedades foliares como roya amarilla (Puccinia striiformis f. sp. tritici), roya de la hoja (P. triticina), Septoria sp., Cochliobolus sativum y Pyrenophora triticina-repentis, son factores bióticos que desfavorecen la productividad de trigo harinero (Triticum aestivum L.) de secano en México y hay pérdidas de rendimiento de grano mayores a 60 % por roya amarilla (Huerta y Singh, 2000), 5.5 a 25.9 % por roya de la hoja (Leyva et al., 2003) y 44 % por Septoria tritici (Rodríguez-Contreras et al., 2008).
En un escenario de cambio climático es probable que las enfermedades en trigo que no afectaban su productividad puedan hacerlo (Duveiller et al., 2007) y hay incidencias severas de roya amarilla en ambientes inapropiadas para su presencia (Milus et al., 2009). En México en los dos principales estados productores de trigo panificable de temporal, Tlaxcala y Estado de México, en 2014 la roya amarilla provocó pérdidas en rendimiento del 70 %, por lo cual fue necesario usar el control químico. La producción de trigo en México compite en precio y calidad industrial con el trigo rojo duro de primavera de EE.UU. y Canadá el cual representa 63 % de las importaciones, por lo que debe ser una opción rentable para el productor y la industria nacional (CANIMOLT, 2014). El control químico de las enfermedades foliares no afecta el contenido de proteína, la fuerza de la masa y la relación tenacidad/extensibilidad (Blandino y Reyneri, 2009), aunque Ruske et al. (2004) muestran que el control de las enfermedades disminuye el contenido de proteína y el volumen de pan, pero Gooding (2007) indica que el control de las royas favorece la concentración de proteína y el de Septoria tritici lo reduce.
El control de las enfermedades foliares se debe evaluar mediante genotipos tolerantes o fungicidas, tanto en el rendimiento como en las características de calidad del grano y la masa, para reducir al mínimo las pérdidas en rendimiento y obtener la calidad demandada por la industria nacional. Por lo tanto, el objetivo de esta investigación fue evaluar el comportamiento de variables agronómicas y calidad industrial del grano y masa en función del control de las enfermedades (royas, manchas y tizones foliares) en genotipos susceptibles y resistentes de trigo harinero de temporal en los Valles Altos del centro de México. La hipótesis fue si la aplicación de fungicidas en la planta protege la incidencia de enfermedades foliares, lo cual aumentaría el rendimiento, calidad física del grano y la funcionalidad de la masa.
Materiales y Métodos
Los genotipos usados fueron Pavón F76, Gálvez M87, Temporalera M87, Batán F96, Romoga F96, Juchi F2000, Náhuatl F2000, Rebeca F2000 y Tlaxcala F2000. El año (76, 87, 96, 2000) indica cuando se liberaron los genotipos, cuya siembra en condiciones de temporal en México es recomendada por el Instituto Nacional de Investigaciones Forestales, Agrícolas y Pecuarias (INIFAP). Con base en la fuerza de su masa las variedades Gálvez M87 y Temporalera M87 se clasifican como medias fuertes y las otras variedades son de masa fuerte; esta fuerza de la masa se recomienda para la industria de la panificación. Las variedades Juchi F2000, Náhuatl F2000, Rebeca F2000 y Tlaxcala F2000, liberadas en el 2000, presentan mayor número de genes de resistencia a roya amarilla respecto a los otros genotipos. Los genotipos se sembraron en Bellavista, Morelos, y en Chapingo, Coatepec y Juchitepec, Estado de México. El diseño experimental fue de bloques al azar con dos repeticiones en un arreglo de tratamientos de parcelas divididas; los tratamientos con fungicida y sin fungicida fueron la parcela grande, y las variedades fueron las parcelas chicas. La unidad experimental fue cuatro surcos de 3 m de largo con una separación de 30 cm. Los fungicidas fueron Folicur® y Sportak®, cuyos ingredientes activos son el tebuconazole y procloraz, respectivamente. Las aplicaciones fueron 500 mL ha-1 del Folicur® en la etapa de antesis para controlar royas y 15 d después 1000 mL ha-1 de Sportak® para controlar tizones y manchas foliares. La incidencia de las enfermedades foliares fue natural.
Las variables agronómicas evaluadas fueron días a floración, días a madurez, altura de planta, porcentaje del área foliar dañada y rendimiento de grano (Mg ha-1). En una muestra limpia de 500 g de grano se determinó el peso hectolítrico (kg h L-1) en una balanza volumétrica (Seedburo Equipment CO., Chicago, IL). Las muestras se molieron en un molino Brabender (Quadrumat Senior, C.W. Brabender OHG, Alemania) y mediante un cernido a través de una malla de 129 µm de diámetro se obtuvo la harina refinada, en la cual se determinó su contenido de proteína (%) con el analizador NIR infralyzer 300 (método 39-10; AACC, 2005). La fuerza (W) y la relación de tenacidad/extensibilidad (PL) de la masa se calcularon del alveograma, el cual se originó de 60 g de harina refinada, en el Alveógrafo de Chopin (Tripette & Renaud, Francia), usando el método 54-30A de la AACC (2005). Las masas se clasificaron así: 1) con W se agrupan en masas fuertes mayores de 300×10-4 J, masas medias fuertes de 200×10-4 J a 300×10-4 J y masas débiles menores de 200×10-4 J; 2) con PL se agrupan en balanceadas (PL=1.1), extensibles (PL˂1) y tenaces (PL>1.2). El volumen de pan (mL) se realizó mediante el método de masa directa (método 10-09, AACC, 2005) con 100 g de harina refinada y se determinó en un volutómetro por desplazamiento de semillas de colza (Brassica campestris L.).
Análisis de datos
Los datos obtenidos se analizaron con un ANDEVA con el procedimiento GLM (SAS Institute, 2002) y las medias se compararon con la prueba de Tukey (p≤0.05), para identificar las diferencias entre localidades, tratamientos con y sin fungicida, así como las interacción tratamiento por variedad.
Resultados y Discusión
Entre localidades, genotipos y para las interacciones localidad por genotipo y genotipo por fungicida para todas las variables de calidad hubo diferencias significativas, resultados que son similares a los encontrados por Gooding (2007) y Ruske et al. (2004). Pero no hubo diferencias para días a floración con y sin la aplicación de fungicidas, así como para esta variable y altura de planta para la interacción variedad por fungicida (Cuadro 1), lo cual concuerda con lo reportado por Lackermann et al. (2011) y Villaseñor et al. (2012). Lo anterior muestra el contraste de las condiciones ambientales y de genotipos con diferente características agronómicas y calidad, así como la aplicación de los fungicidas y su interacción con la localidad y genotipo influyeron en las variables agronómicas y de calidad industrial del trigo harinero.
Cuadro 1 Significancia de los cuadrados medios del análisis de varianza para variables agronómicas y de calidad del trigo harinero cultivado en condiciones de temporal.
| FV | GL | DF | DM | AP | AFD | REND |
| Localidad (L) | 3 | ** | ** | ** | ** | ** |
| Genotipos (G) | 8 | ** | ** | ** | ** | ** |
| Fungicida (F) | 1 | ns | ** | * | ** | ** |
| L*G | 24 | ** | ** | ** | ** | ** |
| L*F | 3 | ns | ** | ** | ** | ** |
| G*F | 8 | ns | ** | ns | ** | ** |
| L* F* G | ns | * | ns | ** | ns | |
| CV | 1.5 | 1.4 | 4.8 | 11.4 | 9.9 | |
| Error† | 136 | 0.9 | 3.0 | 20.1 | 32.8 | 233841.6 |
| FV | GL | PHL | PH | W | PL | VP |
| Localidad (L) | 3 | * | ** | ** | ** | ** |
| Genotipos (G) | 8 | ** | ** | ** | ** | ** |
| Fungicida (F) | 1 | ** | ** | ** | ** | ** |
| L*G | 24 | ** | ** | ** | ** | ** |
| L*F | 3 | ** | ** | ** | ** | ** |
| G*F | 8 | ** | ** | ** | ** | ** |
| L*G*F | ** | ** | ** | ** | ** | |
| CV | 1.2 | 3.3 | 10.0 | 14.4 | 4.3 | |
| Error† | 68 | 0.9 | 0.1 | 1632.5 | 0.02 | 1147.9 |
*p≤0.05; **p≤0.01; GL: grados de libertad; †error del análisis general; FV: fuente de variación; DF: días a floración; DM: días a madurez; AP: altura de planta; AFD: área foliar dañada; REND: rendimiento de grano; PHL: peso hectolítrico; PH: proteína en harina; W: fuerza de la masa; PL: relación tenacidad/extensibilidad, y VP: volumen de pan.
Las localidades de Bellavista y Juchitepec mostraron los rendimientos de grano más altos y presentaron los valores mayores de área foliar dañada, contrario a lo observado en Coatepec y Chapingo (Cuadro 2). Lo anterior pudo deberse a una mayor incidencia de las enfermedades pero su severidad fue menor; con base a lo indicado por Rodríguez-Pérez et al. (2005), Bellavista y Juchitepec se clasifican como ambientes favorables para la producción de trigo, y Coatepec y Chapingo como intermedios.
Cuadro 2 Medias de variables agronómicas por localidad, genotipos y con y sin aplicación de fungicida, de trigo harinero cultivado en condiciones de temporal.
| DF | DM | AP | AFD | REND | ||
| Bellavista, Morelos | 69.1 a | 129.4 b | 94.9 a | 57.5 a | 6.2 a | |
| Juchitepec, México | 63.0 d | 121.4 c | 91.6 b | 55.1 a | 5.3 b | |
| Coatepec, México | 64.4 c | 115.6 d | 95.9 a | 42.5 b | 4.3 c | |
| Chapingo, México | 66.2 b | 134.9 a | 89.0 c | 45.1 b | 3.5 d | |
| DSH | 0.5 | 0.9 | 2.2 | 2.8 | 0.2 | |
| Rebeca F2000 | 72.5 a | 132.2 a | 96.3 b | 32.9 d | 5.4 a | |
| Náhuatl F200 | 63.9 e | 121.9 fe | 94.9 b | 48.9 c | 5.1 ba | |
| Tlaxcala F2000 | 64.7 ed | 124.3 c | 89.5 cd | 35.2 d | 5.1 ba | |
| Juchi F2000 | 66.1 c | 127.1 b | 93.2cb | 31.4 d | 5.0 b | |
| Temporalera M87 | 66.4 c | 127.5 b | 103.1 a | 58.9 b | 4.8 b | |
| Batán F96 | 64.9 d | 122.3 de | 89.5 cd | 57.5 b | 4.7 b | |
| Romoga F96 | 64.7 ed | 123.9 dc | 86.3 d | 51.8 c | 4.7 bc | |
| Gálvez M87 | 60.1 f | 120.6 f | 90.1 cd | 69.7 a | 4.3 dc | |
| Pavón F76 | 68.0 b | 128.3 b | 92.7 cb | 64.5 a | 4.2 d | |
| DSH | 0.8 | 1.5 | 4.0 | 5.2 | 0.4 | |
| Con fungicida | 65.7 a | 127.2 a | 93.6 a | 26.0 a | 5.3 a | |
| Sin fungicida | 65.7 a | 123.5 b | 92.1 b | 74.2 b | 4.3 b | |
| DSH | 0.3 | 0.5 | 1.2 | 1.5 | 0.1 |
†Valores con diferente letra en una columna son estadísticamente diferentes (p≤0.05). DF: días a floración; DM: días a madurez; AP: altura de planta (cm); AFD: área foliar dañada (%); REND: rendimiento de grano (Mg ha-1). DSH: diferencia significativa honesta.
Los genotipos Rebeca F2000, Tlaxcala F2000 y Juchi F2000 presentaron menor área foliar dañada y alto rendimiento lo cual se explica en parte por su resistencia genética a roya amarilla, según Villaseñor-Espín et al. (2009). Rebeca F2000 fue la más productiva debido a su mayor ciclo de cultivo, indicado por su mayor número de días a madurez, lo cual se asociaría con un periodo de llenado de grano mayor y esto concuerda con lo señalado por Villaseñor et al. (2004) quienes la clasifican como una variedad de ciclo tardío. La aplicación de los fungicidas redujo la incidencia de las enfermedades foliares lo cual disminuyó el área foliar dañada e incrementó el rendimiento de grano; mientras que la enfermedad acortó el ciclo del cultivo y aminoró la altura de planta (Cuadro 2).
La enfermedad redujo los días del ciclo de madurez en las variedades Rebeca F2000 y Juchi F2000, respecto a Gálvez M87 y Temporalera M87, porque las enfermedades aceleran la senescencia de las hojas ya que estas variedades no presentan genes de resistencia a roya amarilla (Villaseñor-Espín et al., 2009) (Figura 1A). La altura de planta de Rebeca F2000 y Tlaxcala F2000 no fue afectada, contrario a lo observado en Romoga F96 y Temporalera M87 (Figura 2) lo cual concuerda con lo reportado por Leyva et al. (2003), Rodríguez-Contreras et al. (2008) y Wiik, (2009). Con base en lo anterior, los genotipos que presentan genes de resistencia a roya amarilla, aun sin la aplicación de fungicidas, mostraron un daño menor sobre el área foliar y una pérdida menor en el rendimiento de grano respecto a las variedades que no tienen esos genes. Esto revalida la importancia de acumular genes de resistencia mediante el mejoramiento en contra del complejo de enfermedades foliares.

Figura 1A ) Comportamiento de días a floración y, B) días a madurez, en función de la aplicación de fungicida en trigo harinero de temporal. CF y SF: con y sin aplicación de fungicida, respectivamente. DSH: diferencia significativa honesta.

Figura 2 Comportamiento de la altura de planta en función de la aplicación de fungicida en trigo harinero de temporal. DSH: diferencia significativa honesta. CF y SF: con y sin aplicación de fungicida, respectivamente.
La presencia de las enfermedades foliares causó pérdidas en rendimiento de 7.3 % a 28.6 % en función de la variedad, lo que concuerda con lo señalado por Ransom y McMullen (2008) y Thompson et al. (2014) quienes reportan valores de 5.5 % a 44.0 %, según la tolerancia de los genotipos a las enfermedades. Los genotipos Rebeca F2000, Juchi F2000 y Tlaxcala F2000 mostraron las pérdidas menores en área foliar dañada y rendimiento, mientras que Pavón F76 y Gálvez M87 tuvieron un comportamiento contrario (Cuadro 3). Lo anterior se explica en parte porque los primeros genotipos poseen el gen Yr18 y tres genes menores de efectos aditivos de resistencia a roya amarilla (Villaseñor Espín et al., 2009), así como una tolerancia mayor a Septoria sp. y por su mayor potencial de rendimiento, lo que concuerda con lo indicado por Ramírez et al. (2016). Batán F96 mostró 63 % de reducción de área foliar asociada con una disminución mínima en el rendimiento, lo cual puede deberse a su mayor capacidad de translocar asimilados de las hojas a la espiga, un mecanismo reportado por Leyva et al. (2003). La aplicación de los fungicidas disminuyó la incidencia de la enfermedad y evitó la pérdida en rendimiento promedio de grano en 19.2 %, lo cual es menor al 42 % de reducción de pérdida documentado por Wegulo et al. (2009).
Cuadro 3 Pérdidas del área foliar y rendimiento de grano en función de la aplicación de fungicida en trigo harinero de temporal.
| Área foliar dañada (%) | Rendimiento (Mg ha-1) | |||||
| CF | SF | Pérdida (%) | CF | SF | Pérdida (%) | |
| Rebeca F2000 | 17.1 a† | 48.8 b | 31.7 | 5.7 a | 5.3 b | 7.3 |
| Juchi F2000 | 17.9 a | 45.0 b | 27.1 | 5.3 a | 4.8 b | 9.9 |
| Tlaxcala F2000 | 19.2 a | 51.3 b | 32.1 | 5.5 a | 4.8 b | 11.9 |
| Batán F96 | 25.8 a | 89.2 b | 63.3 | 5.3 a | 4.3 b | 20.2 |
| Romoga F96 | 26.3 a | 77.5 b | 51.3 | 5.3 a | 4.2 b | 20.4 |
| Náhuatl F2000 | 28.8 a | 69.2 b | 40.4 | 5.8 a | 4.6 b | 21.3 |
| Temporalera M87 | 29.6 a | 88.3 b | 58.8 | 5.5 a | 4.1 b | 26.1 |
| Pavón F76 | 30.0 a | 99.2 b | 69.2 | 5.0 a | 3.6 b | 27.4 |
| Gálvez M87 | 39.6 a | 100.0 b | 60.4 | 5.1 a | 3.6 b | 28.6 |
| Media | 26.0 a | 74.3 b | 48.2 | 5.4 | 4.4 | 19.2 |
†Valores con diferente letra en una hilera son estadísticamente diferentes (p≤0.05). CF y SF: con y sin aplicación de fungicida, respectivamente.
La localidad Bellavista presentó los valores mayores de peso hectolítrico lo que permitirá obtener mayor rendimiento en harina (Baasandorj et al. (2015), pero mostró los valores más bajos de proteína lo que asociado a su masa tenaz, por su PL mayor a 1.2, desfavoreció su volumen de pan. Las otras localidades presentaron un comportamiento inverso (Cuadro 4).
Cuadro 4 Medias de variables de calidad industrial por localidad, genotipos y con y sin la aplicación de fungicida, de trigo harinero cultivados en condiciones de temporal.
| PHL (kg hL-1) | PH (%) | W (10-4 J) | PL (0-7) | VP (mL) | |
| Chapingo, México | 75.1 c | 10.9 a | 483.6 a | 0.9 b | 855.2 a |
| Coatepec, México | 75.9 b | 10.0 b | 393.0 b | 0.7 c | 819.8 b |
| Juchitepec, México | 76.0 b | 9.9 b | 411.8 b | 1.0 b | 808.6 b |
| Bellavista, Morelos | 80.7 a | 8.3 c | 320.1 c | 1.4 a | 628.7 c |
| DSH | 0.6 | 0.2 | 25.0 | 0.09 | 21.3 |
| Gálvez M87 | 75.5 cb | 9.3 b | 364.6 d | 0.6 f | 839.3 a |
| Juchitepec F2000 | 79.3 a | 10.2 a | 430.2 bc | 0.7 ef | 811.5 ba |
| Náhuatl F2000 | 74.5 c | 10.0 a | 470.9 ba | 0.9 ed | 809.6 ba |
| Tlaxcala F2000 | 79.6 a | 10.2 a | 494.6 a | 1.1 cb | 801.2 bac |
| Romoga F96 | 79.1 a | 9.9 a | 422.5 c | 1.0 cd | 782.8 bc |
| Pavón | 75.5 cb | 10.0 a | 368.6 d | 1.0 cd | 765.0 dc |
| Temporalera M87 | 76.5 b | 9.8 a | 325.1 d | 0.9 ed | 739.3 ed |
| Batán F96 | 75.9 b | 9.4 b | 250.0 e | 1.2 b | 718.7 e |
| Rebeca F2000 | 76.4 b | 9.2 b | 492.6 a | 1.5 a | 718.5 e |
| DSH | 1.0 | 0.3 | 45.7 | 0.2 | 15.5 |
| Sin fungicida | 75.9 b | 9.9 b | 413.4 a | 1.0 a | 787.1 a |
| Con fungicida | 77.9 a | 9.7 a | 390.9 b | 1.0 a | 766.0 b |
| DSH | 0.3 | 0.1 | 13.4 | 0.05 | 11.4 |
†Valores con diferente letra en una columna son estadísticamente diferentes (p≤0.05). PHL: peso hecto lítrico; PH: proteína en harina; W: fuerza de la masa; PL: relación tenacidad/extensibilidad; VP: volumen de pan. DSH: diferencia significativa honesta.
Lo anterior concuerda con lo indicado por Espitia et al. (2003) quienes reportan como las variables de calidad industrial de trigo harinero son afectadas por las condiciones ambientales.
La mayoría de los genotipos mostraron pesos hectolítricos superiores a 75 kg hL-1 y se asociaron a masas fuertes, lo que coincide por lo reportado por Hortelano et al. (2013). Gálvez M87 y Juchi F2000 se clasificaron con extensibilidad excelente debido a su relación tenacidad/extensibilidad, lo que resultó en los volúmenes más altos de pan; esto es contrario a lo mostrado por Batán F96 y Rebeca F2000, que por sus masas tenaces PL>1.2, presentaron los volúmenes menores de pan (Cuadro 4). Lo anterior confirma lo señalado por Sanchez-Garcia et al. (2015) de que masas fuertes y extensibles favorecen el volumen y masas tenaces lo reducen. La ausencia de enfermedades foliares debido a la aplicación de fungicida favoreció el peso hectolítrico del grano, un resultado similar al reportado por Ruske et al. (2003) y Serrago et al. (2011), lo que favorecerá el rendimiento harinero durante la molienda. Pero la proteína en harina disminuyó, por lo cual se redujo la fuerza de la masa y en consecuencia el volumen de pan (Cuadro 4), lo cual concuerda con Watson et al. (2010) y Ruske et al. (2004).
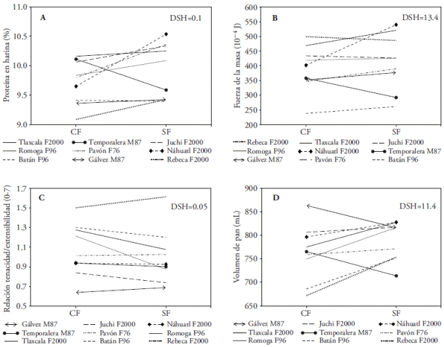
La ausencia de enfermedades por la aplicación de los fungicidas favoreció el peso hectolítrico en todos los genotipos. Juchi F2000, Rebeca F2000 y Temporalera M87 no presentaron disminuciones sin su aplicación, pero el comportamiento fue inverso en Náhuatl F2000 y se asoció al valor más bajo (Figura 3). Debido a la ausencia de las enfermedades por la aplicación de los fungicidas, los genotipos Tlaxcala F2000, Rebeca F2000, Náhuatl F2000 y Pavón F76, disminuyeron su contenido de proteína y en consecuencia la fuerza de la masa (Figura 4A y B), lo que desfavoreció su volumen de pan. La disminución de proteína puede deberse al auemento en rendimiento el cual fue mayor 1.2 Mg en Pavón F76 y Náhuatl F2000. Las aplicaciones aumentaron el volumen de pan en Gálvez M87 y Temporalera M87 (Figura 4D), lo cual se explica para Temporalera M87 por el incremento en proteína y fuerza de la masa. Gálvez M87, Juchi F2000, Náhuatl F2000 y Tlaxcala F2000 presentaron los volúmenes más altos de pan, con y sin la aplicación de fungicidas, lo cual se debe a que combinaron masas fuertes por su W>300×10-4 J y balanceadas a extensibles por su PL˂1.2 (Figura 4C). Batán F96 y Rebeca F2000 se clasificaron por su PL>1.2 como masas tenaces lo que resultó en volúmenes menores de pan debido a la aplicación de fungicidas, mientras que sin aplicación, es decir en presencia de enfermedad, lo incrementaron. En Rebeca F2000 pudo deberse al incremento de proteína en harina, pero en Batán F96 aumentó la fuerza y disminuyó el PL de la masa, características que favorecen el volumen de pan. Lo anterior concuerda con Gooding, (2007), Tanács et al. (2010) y Devadas et al. (2014), quienes indicaron que la aplicación de fungicidas afecta diferencialmente estas características, lo cual depende del contenido de proteína y la fuerza de la masa de los genotipos y además puede afectarse el contenido de proteína según la enfermedad que se presente (Dimmock y Gooding, 2002 y Schierenbeck et al., 2014). Con base en lo anterior, el contenido de proteína es la variable que disminuye si hay control químico de las enfermedades foliares, lo cual modifica la fuerza y la relación tenacidad/extensibilidad y en consecuencia modifica el volumen de pan; además, estas variables de la masa dependen de las características genéticas de cada genotipo y las condiciones de cada localidad.

Figura 3 Comportamiento del peso hectolítrico en función de la aplicación de fungicida en trigo harinero de temporal. DSH: diferencia significativa honesta.

Figura 4 Comportamiento del contenido de proteína en harina: A) fuerza de la masa, B) relación tenacidad/extensibilidad, C) volumen de pan, D) en función de la aplicación de fungicida en trigo harinero de temporal. DSH: diferencia significativa honesta.
La tolerancia a las enfermedades de Juchi F2000 y Tlaxcala F2000 les permitió que, sin la aplicación de fungicidas, mostraran pérdidas pequeñas del área foliar dañada y rendimiento; además, se asociaron con pesos hectolítricos altos lo cual se debe a su resistencia genética al complejo de enfermedades foliares y su potencial de rendimiento alto. Ambos genotipos mostraron volúmenes mayores a 800 mL de pan, debido a la conjunción de masa fuerte y extensible. Rebeca F2000 mostró, en presencia de la enfermedad, la menor disminución en rendimiento de todos los genotipos; sin embargo, debido a su PL>1.5, el más alto de todos los genotipos, se clasificó como una masa tenaz que resultó en volúmenes de pan menores a 750 mL.
Conclusiones
La aplicación de fungicida evitó la incidencia de enfermedades y disminuyó las pérdidas en el área foliar, rendimiento de grano y el peso hectolítrico, pero redujo el contenido de proteína, lo que en consecuencia bajó la fuerza de la masa y volumen de pan. Por lo tanto, mediante la selección de genotipos tolerantes a las enfermedades que presenten menor área foliar dañada o mediante la aplicación de fungicidas, es posible conjuntar rendimiento alto, peso hectolítrico adecuado para industria molinera, y masa fuerte-balanceada o extensible que favorezca el volumen de pan apropiado para la industria panadera nacional.










texto en 


