INTRODUCCIÓN
La morosidad representa uno de los mayores problemas para la implementación de políticas públicas por parte de los gobiernos (Kasznar, 2009). En todo el mundo se han usado diversas estrategias para reducir la cantidad de contribuyentes morosos. A los ciudadanos les cuesta trabajo comprender que pagar sus impuestos a tiempo contribuye a tener políticas públicas sostenibles (Hauffa et al., 2012; Sunstein y Thaler, 2003; Yetano y Castillejos, 2019). Tras los estudios seminales de Richard Thaler y Cass Sunstein, algunas de estas estrategias se bautizaron nudges (“empujoncitos”).
Varios gobiernos evalúan la manera de recabar impuestos, incluido el uso de nudges. Recabar impuestos retrasados suele conllevar gastos elevados y ganancias inciertas, de ahí la importancia de este estudio. Comprender el problema promueve la recaudación de impuestos y contribuye a la sustentabilidad del presupuesto público.
Examinamos doce modelos de mensajes de voz enviados a alrededor de 250 000 microempresarios morosos. Observamos que los mensajes que aludían a normas sociales eran más efectivos, en contraste con otros tipos de mensajes, como los de simplificación, facilidad y comodidad, alertas y otros. El campo de estudios de la investigación es la gestión de políticas públicas, que abarca la psicología económica y la economía conductual. Exploramos una laguna en la administración pública: cuando un deudor no cumple con sus obligaciones fiscales, una comunidad de contribuyentes resulta dañada. La teoría de usar nudges para combatir la deuda puede ampliarse con ejemplos similares. Las prácticas de los gobiernos pueden resultar más efectivas si se utilizan mensajes que apelen a normas sociales.
Esta investigación explora una laguna práctica. Hay evidencia de que los estudios sobre el incumplimiento fiscal son escasos. Esta oportunidad de investigación genera una reducción en el costo de la vida de la gente, pues con mayores conocimientos es posible reducir los riesgos y costos de la recaudación.
Esto conlleva una reducción en las tasas de interés y una mayor oferta de créditos. Por otro lado, el cobro de impuestos se vuelve más efectivo, lo que mejora la implementación de políticas públicas.
Deben mencionarse algunos límites, como los problemas técnicos que puedan interferir con el éxito de la recaudación tributaria. A fin de cuentas, enviar mensajes de voz pronto dejará de surtir efecto, así como enviar correos electrónicos ya ha perdido efectividad debido al cambio en la manera en la que se comunica la gente. También deben señalarse las barreras culturales, pues hay países palpablemente más individualistas que otros. El bien común, la meta de las políticas públicas y los nudges no serán una prioridad para esos contribuyentes.
Este estudio comienza con un marco teórico sobre los nudges y sus aplicaciones. A partir de ahí se desarrolla la metodología. Le sigue el análisis, llevado a cabo con pruebas de diferencia entre medias y pruebas de robustez del modelo con algoritmos de machine learning, y se concluye con las consideraciones finales.
MARCO TEÓRICO
Cuatro años después de la publicación del libro Nudge, piedra angular de los proyectos conductuales, la obra se convirtió en un éxito mundial en el ámbito de las políticas públicas. Sunstein se convirtió en consejero de asuntos regulatorios del entonces presidente de Estados Unidos, Barack Obama, y Thaler se convirtió en consejero del entonces primer ministro del Reino Unido, David Cameron. A pesar del reconocimiento sobre la importancia del tema, surgieron fuertes críticas que afirmaban que los nudges invadían la privacidad y provocaban cierta pérdida de libertad de la gente (Hansen y Jespersen, 2013). El éxito repentino de estas ideas enmascaró el hecho de que se remontaban a la década de 1930. El hecho de que los gobiernos sugieran conductas no es nada nuevo. Los nudges reaparecieron en el siglo XXI bajo un nuevo disfraz, orientados a las políticas públicas.
En ese contexto de políticas públicas, respecto al pago de impuestos, las críticas prevén dos aspectos: 1) hay una invasión de la privacidad acompañada de una pérdida de libertad (Hagman et al., 2015; Sunstein, 2016); 2) los nudges para pagar impuestos y deudas no alcanzan a todos los grupos de ingresos de la población. Los nudges no motivan a las personas de bajos ingresos a pagar sus deudas, pues ya han dirigido todos sus ingresos a otros asuntos (Bronchetti et al., 2011).
La medida tomada en respuesta parece brindar información sobre los beneficios que aportan los impuestos. Por ejemplo, entregar un recibo que enumere todos los usos que se les da a los impuestos (Fuentes García y Serrano, 2019; Afonso, 2014; Kendall y Kessler, 2010). También es posible aplicar otra estrategia, en la que el contribuyente guíe los posibles usos de sus impuestos, de modo que la aversión a pagarlos disminuya. En otras palabras, preguntarle al contribuyente qué espera hacer con sus impuestos es una alternativa interesante. Sin embargo, en los estudios experimentales, con situaciones de suma cero en las que había las mismas ganancias, la gente indicó que en ninguna circunstancia preferiría pagar impuestos (Sussman y Olivola, 2011).
También se critica que las estrategias de nudges pretendan esconder los preceptos de la economía clásica cuando, de hecho, los complementan (Chetty, 2015; Gino y Ariely, 2012). Quizá la profusión de los enemigos de los nudges que se creó tras su consagración en el ámbito de las políticas públicas esté asociada con la expectativa infundada de que la estrategia cambie la sociedad para mejor. Según la mayoría de los psicólogos y economistas conductuales, es posible modelar la deshonestidad (Becker, 1968). La gente paga impuestos porque las sanciones por no hacerlo son graves. La morosidad no vale la pena; de lo contrario, habría un ejército de morosos en la mayoría de las sociedades (Gino y Ariely, 2012; Mazar y Ariely, 2008). Para resolver ese problema, ha sido interesante el uso de normas sociales.
Las normas morales son utilitarias y son el resultado de la coerción interna y el aprendizaje individual. Las normas legales fungen como coerción externa, son el resultado del conjunto de reglas impuestas para regular la sociedad, y constituyen un instrumento punitivo poderoso. Las normas privadas son reglas generadas y autoimpuestas por cada persona, que no tienen el apoyo de la aprobación o la desaprobación de los demás, pues no son reglas compartidas con ellos (Elster, 1999).
Actualmente, dos gobiernos federales importantes han adoptado la práctica de los nudges para el pago de impuestos: Estados Unidos y Reino Unido. Sus prácticas intercalan el uso de “zanahorias”, “sermones” y “látigos”. Hay nudges específicos para cada una de las tres situaciones. El incentivo, aquí llamado “zanahoria”, cambia el orden de las preferencias cuando el individuo percibe una ganancia inmediata (incentivo); las normas sociales, por ejemplo, se consideran sermones públicos que generan cambios de decisión (alertas); por último, los látigos son las prohibiciones, como el consumo de drogas legales (castigos) (Tummers, 2019). El uso de nudges para combatir la morosidad y formular políticas públicas consiste en estrategias que alternan estos tres tipos de nudges.
Sin importar las discusiones éticas sobre el paternalismo liberal y la pérdida de libertad, los gobiernos llevan mucho tiempo desarrollando nudges, normalmente de forma intuitiva y sin estructura.
El estudio actual se enmarca en la bibliografía que apoya la práctica de los nudges como una ganancia social colectiva, en vez de concentrarse en la pérdida de libertad del individuo. En 2015, Cass Sunstein publicó un importante artículo sobre las críticas recibidas por los nudges cuando los gobiernos los emplean para sus políticas públicas. Según ese autor, el uso de nudges por parte del gobierno debe intentar, fundamentalmente, impedir cualquier fraude y evasión, además de combatir los prejuicios conductuales (Sunstein, 2015). En apoyo a los hallazgos de esta investigación, también vale la pena subrayar la importancia de las normas sociales en la estrategia de los nudges.
Las normas morales son utilitarias y son el resultado de la coerción interna y el aprendizaje individual. Las normas legales fungen como coerción externa, el resultado del conjunto de reglas impuestas para regular la sociedad, y constituyen un instrumento punitivo poderoso. Las normas privadas son reglas generadas y autoimpuestas por cada persona, que no tienen la aprobación o la desaprobación de terceros, pues no son reglas compartidas con los demás (Elster, 1999).
Las normas sociales tienden a activarse cuando un individuo contrasta su conducta con la del grupo social en el que se encuentra inserto (los mensajes enviados a los emprendedores morosos cumplen con esta función activadora). Por ejemplo, si un individuo se percata de que es uno de los pocos morosos en un grupo, intentará alinearse con los demás pagando sus deudas. Además, hay factores que vuelven más consistente el uso de normas sociales, como la incertidumbre, la unidad del grupo y la percepción de relevancia de la norma que tenga el colectivo. Las condiciones de incertidumbre exponen al individuo al riesgo y sugieren un comportamiento de manada para mitigar el riesgo y simplificar las decisiones en escenarios más complejos (Erkut et al., 2014).
METODOLOGÍA
Se eligió Brasil como caso de estudio por su diversidad cultural y su extensión territorial. Creemos que, si la idea se valida en Brasil, servirá de ejemplo para los países que se consideren homogéneos.
En 2014, la Secretaria da Micro e Pequena Empresa (Sempe), en conjunto con el Ministério da Previdência Social (MPS), la Receita Federal do Brasil (RFB) y el Serviço Brasileiro de Apoio às Micro e Pequenas Empresas (Sebrae), promovieron el envío por correo de tarjetas de pago a los participantes del programa de microempresarios individuales que tuvieran pagos pendientes en 2014. Más tarde, la Sempe llevó a cabo un estudio para verificar el impacto en la morosidad de ese método de cobranza. La morosidad disminuyó de forma sustancial en los meses posteriores al envío. Sin embargo, se consideró que el costo de enviar las tarjetas de pago fue alto (Sempe, 2017).
Para resolver el problema, el gobierno brasileño definió un proyecto piloto para enviar mensajes de voz que reforzaran la necesidad de cumplir con las obligaciones fiscales. En ese proyecto piloto, se enviaron doce mensajes diferentes a aproximadamente 250 000 microempresarios individuales (en julio de 2015). En 2017, obtuvimos los datos para la investigación el 20 de febrero, el 17 de abril y el 6 de junio en el e-Sic Sistema Eletrônico do Serviço de Informação ao Cidadão.1
El gobierno brasileño siempre ha considerado que la evasión fiscal es un problema serio. Se han utilizado varias estrategias para hacer el cobro a los empresarios morosos, todas a un alto costo. El cobro de deudas por correo, que no tuvo el efecto esperado, fue particularmente caro. Después, se adoptó la estrategia de este estudio: enviar mensajes a los teléfonos celulares de alrededor de 250 000 micro-empresarios que estaban retrasados en sus contribuciones.
Cuando había duda sobre cuál era el mejor mensaje para enviar, se enviaban varios mensajes diferentes. Se desconoce el efecto que haya tenido este envío múltiple; es probable que enviar un solo mensaje habría tenido un mayor efecto en la recaudación.
Este estudio se propuso evaluar el éxito de enviar doce tipos de mensaje de texto diferentes en cuatro estados en Brasil, que comprenden 1 836 municipios. A continuación, se describen los detalles de la recolección de datos, los procedimientos específicos y las técnicas de análisis de datos.
El envío de los mensajes de texto se consideraba un éxito si los empresarios morosos se ponían al día con sus impuestos.
PARTICIPANTES
Para este estudio, se eligieron únicamente los participantes al azar en los cuatro estados con la mayor cantidad de microempresarios individuales en mora (Paraná, Rio Grande do Sul, Santa Catarina y São Paulo). En algunos estados brasileños hay una mayor incidencia de microempresarios morosos que en otros. Los participantes fueron registrados en la base de datos de Registro Especial de la Secretaria da Micro e Pequena Empresa (Sempe). Al tratarse de un sondeo federal que involucró al gobierno y a la universidad, los datos se hicieron públicos y disponibles para los investigadores. Se han omitido los nombres de las compañías y los empresarios por razones éticas. Los mensajes enviados a los empresarios fueron grabados por profesionales contratados por los investigadores. Los fondos gastados en el proyecto fueron pagados por el gobierno federal.
En cuanto a la población y la muestra, se incluyeron microempresarios individuales de todos los estados brasileños. En total, la lista tenía 6 249 municipios. Para el análisis, se seleccionaron los cuatro estados con la mayor morosidad per cápita.
El cuadro 1 presenta el tamaño de la muestra por municipio y el índice de éxito de los dos envíos. La tasa de efectividad de los envíos fue de alrededor de 40 por ciento, y la segunda oleada de envíos tuvo una mejora marcada en los cuatro estados evaluados.
CUADRO 1 Municipios e índice de éxito de los envíos
| Estados | Municipios | Primer envío (%) | Segundo envío (%) |
| Paraná | 399 | 36.96 | 31 |
| Rio Grande do Sul | 497 | 34.11 | 46 |
| Santa Catarina | 295 | 35.68 | 61 |
| São Paulo | 645 | 43.54 | 67 |
Fuente: Elaboración propia. Nota: Los cuatro estados con la mayor incidencia de empresarios morosos en la base de datos de la Sempe fueron el objetivo del envío de alrededor de 250 000 mensajes de texto. La columna “primer envío” muestra el valor de la efectividad de la acción (el pago de impuestos retrasados). Tras un primer envío, se hizo un segundo, representado en la columna “segundo envío”.
PROCEDIMIENTOS ESPECÍFICOS
Se enviaron los mensajes a microempresarios morosos siguiendo criterios específicos: 1) hacer hasta 6 (seis) intentos de contacto. Este parámetro se configuró dependiendo del tipo de no participación que ocurriera (ocupado, sin respuesta, número inválido, etc.); 2) si el contribuyente escuchaba al menos 20 por ciento del mensaje, se consideraba una llamada “válida”, y 3) el horario de la campaña era de 9 a.m. a 8 p.m., de lunes a sábado.
Los mensajes se crearon a partir de criterios encontrados en la bibliografía seminal de la teoría de los nudges (Sugden, 2009; Chetty, 2015; Thaler y Sunstein, 2009):
Reglas por defecto (por ejemplo, programas de autoinscripción, incluyendo educación, salud y ahorros). Es muy probable que las reglas por defecto sean los nudges más efectivos.
Simplificación (por ejemplo, desembrollar los formatos de registro, hacer ajustes a programas existentes).
Normas sociales (subrayar lo que la mayoría de la gente hace, como “nueve de cada diez personas pagan sus impuestos a tiempo”, “la mayoría de las personas quiere votar”, “la mayoría de la gente paga sus impuestos a tiempo” o “nueve de cada diez huéspedes en este hotel reúsan sus toallas”).
Facilidad y comodidad (por ejemplo, hacer que la comida saludable esté en sitios más visibles y accesibles o darles visibilidad a las opciones de menor costo).
Divulgación (informar al público cuando los datos sean relativamente sencillos, por ejemplo, revelar el costo total de una tarjeta de crédito o los costos ambientales asociados con el gasto energético).
Alertas (dramáticas o no dramáticas) (por ejemplo, texto e imágenes elocuentes en las cajetillas de cigarros). Cuando hay riesgos serios involucrados, el mejor de los nudges puede ser una advertencia pública o privada.
Compromiso previo (compromiso con ciertas acciones futuras, como un programa para dejar de fumar).
Recordatorios (por ejemplo, correos electrónicos o mensajes de texto que recuerden las deudas pasadas y los próximos compromisos u obligaciones).
Implementación de intención (sacar a luz preguntas sobre la conducta futura: “¿Quiere vacunar a su hijo?”).
Decisiones pasadas (si los individuos carecen de información, darles a conocer la naturaleza y consecuencias de sus conductas pasadas, como su consumo energético en sus recibos de luz).
En total se previeron doce mensajes, como se muestra en el cuadro 2.
CUADRO 2 Mensajes (1-12) contenido / unidades federativas (cantidad de municipios)
| Mensaje | Contenido del mensaje |
| Mensaje 1 Recordatorio | Microempresario individual, usted recibió su libreta de ciudadanía por correo, a pagar el día 20 de cada mes. Si no ha recibido su libreta, acceda al portal empreendedor.gov.br para emitir una nueva copia. Una iniciativa de la Secretaria da Micro e Pequena Empresa (Sempe), con el apoyo del Sebrae. |
| Mensaje 2 Compromiso previo | Microempresario individual, usted recibió su libreta de ciudadanía por correo, a pagar el día 20 de cada mes. Al hacer su pago a tiempo, usted mantiene su derecho a recibir una pensión de vejez. ¡Se trata de una pequeña inversión hoy para tener un ingreso adicional seguro en el futuro! Si usted no ha recibido su libreta, acceda al portal empreendedor.gov.br para emitir una nueva copia. Una iniciativa de la Secretaria da Micro e Pequena Empresa (Sempe), con el apoyo del Sebrae. |
| Mensaje 3 Divulgación | Microempresario individual, usted recibió su libreta de ciudadanía por correo, a pagar el día 20 de cada mes. Al hacer su pago a tiempo, usted mantendrá su CNPJ y podrá emitir facturas y contratar un empleado con un contrato formal. Si no ha recibido su libreta, acceda al portal empreendedor.gov.br para emitir una nueva copia. Una iniciativa de la Secretaria da Micro e Pequena Empresa (Sempe), con el apoyo del Sebrae. |
| Mensaje 4 Recordatorios | Microempresario individual, usted recibió su libreta de ciudadanía por correo, a pagar el día 20 de cada mes. Si usted no hace su pago a tiempo, podría perder la formalización de su negocio, el CNPJ y sus beneficios, tales como emitir facturas y contratar un empleado con un contrato formal. Si no ha recibido su libreta, acceda al portal empreendedor.gov.br para emitir una nueva copia. Una iniciativa de la Secretaria da Micro e Pequena Empresa (Sempe), con el apoyo del Sebrae. |
| Mensaje 5 Decisiones pasadas | Microempresario individual, usted recibió su libreta de ciudadanía por correo, a pagar el día 20 de cada mes. ¡Usted ha construido su negocio y ha logrado formalizarlo! ¡Enorgullézcase y mantenga ese logro pagando sus impuestos a tiempo! Si no ha recibido su libreta, acceda al portal empreendedor.gov.br para emitir una nueva copia. Una iniciativa de la Secretaria da Micro e Pequena Empresa (Sempe), con el apoyo del Sebrae. |
| Mensaje 6 Normas sociales | Microempresario individual, usted recibió su libreta de ciudadanía por correo, a pagar el día 20 de cada mes. ¡La mayoría de los cinco millones de microempresarios paga sus impuestos a tiempo! Si no ha recibido su libreta, acceda al portal empreendedor.gov.br para emitir una nueva copia. Una iniciativa de la Secretaria da Micro e Pequena Empresa (Sempe), con el apoyo del Sebrae. |
| Mensaje 7 Normas sociales Decisiones pasadas | Microempresario individual, usted recibió su libreta de ciudadanía por correo, a pagar el día 20 de cada mes. Al hacer su pago a tiempo, usted mantiene su derecho a recibir una pensión de vejez. ¡Se trata de una pequeña inversión hoy para tener un ingreso adicional seguro en el futuro!¡La mayoría de los cinco millones de microempresarios paga sus impuestos a tiempo! Si no ha recibido su libreta, acceda al portal empreendedor.gov.br para emitir una nueva copia. Una iniciativa de la Secretaria da Micro e Pequena Empresa (Sempe), con el apoyo del Sebrae. |
| Mensaje 8 Normas sociales Recordatorios | Microempresario individual, usted recibió su libreta de ciudadanía por correo, a pagar el día 20 de cada mes. Si usted no hace su pago a tiempo, podría perder la formalización de su negocio, el CNPJ y sus beneficios, tales como emitir facturas y contratar un empleado con un contrato formal. ¡La mayoría de los cinco millones de microempresarios paga sus impuestos a tiempo! Si no ha recibido su libreta, acceda al portal empreendedor.gov.br para emitir una nueva copia. Una iniciativa de la Secretaria da Micro e Pequena Empresa (Sempe), con el apoyo del Sebrae. |
| Mensaje 9 Normas sociales | Microempresario individual, usted recibió su libreta de ciudadanía por correo, a pagar el día 20 de cada mes. Los microempresarios reconocen la importancia del pago. ¡La mayoría de los cinco millones de microempresarios paga sus impuestos a tiempo! Si no ha recibido su libreta, acceda al portal empreendedor.gov.br para emitir una nueva copia. Una iniciativa de la Secretaria da Micro e Pequena Empresa (Sempe), con el apoyo del Sebrae. |
| Mensaje 10 Normas sociales Decisiones pasadas | Microempresario individual, usted recibió su libreta de ciudadanía por correo, a pagar el día 20 de cada mes. ¡Usted ha construido su negocio y logrado formalizarlo! ¡Enorgullézcase y mantenga ese logro pagando sus impuestos a tiempo! ¡La mayoría de los cinco millones de microempresarios paga sus impuestos a tiempo! Si no ha recibido su libreta, acceda al portal empreendedor.gov.br para emitir una nueva copia. Una iniciativa de la Secretaria da Micro e Pequena Empresa (Sempe), con el apoyo del Sebrae. |
| Mensaje 11 Simplificación | Microempresario individual, usted recibió su libreta de ciudadanía por correo, a pagar el día 20 de cada mes. Para pagar, ¡sólo hace falta ir al kiosco de lotería o banco más cercanos! ¡Aproveche la facilidad! Si no ha recibido su libreta, acceda al portal empreendedor.gov.br para emitir una nueva copia. Una iniciativa de la Secretaria da Micro e Pequena Empresa (Sempe), con el apoyo del Sebrae. |
| Mensaje 12 Normas sociales Simplificación | Microempresario individual, usted recibió su libreta de ciudadanía por correo, a pagar el día 20 de cada mes. Para pagar, ¡sólo hace falta ir al kiosco de lotería o banco más cercanos! ¡Aproveche la facilidad! ¡La mayoría de los cinco millones de microempresarios paga sus impuestos a tiempo! Si no ha recibido su libreta, acceda al portal empreendedor.gov.br para emitir una nueva copia. Una iniciativa de la Secretaria da Micro e Pequena Empresa (Sempe), con el apoyo del Sebrae. |
Fuente: Elaboración propia. Nota: En total se redactaron doce variaciones de mensajes de texto; en algunos casos, se trata de mezclas de más de un tipo de mensaje. El formato de “normas sociales” está presente en los mensajes 6, 7, 8, 9, 10 y 12.
Al analizar los doce mensajes, se verá que algunos tienen más de una clasificación. El mensaje 12, por ejemplo, incluye normas sociales y simplificación, pues indica que cinco millones de microempresarios pagan sus impuestos a tiempo y sugiere que es más sencillo hacer el pago en kioscos de lotería. Las normas sociales se usaron en más mensajes debido a que se sabía que ese tipo de mensaje es efectivo para muchas conductas de los contribuyentes, mientras que las demás opciones dependen de las circunstancias (Cialdini y Goldstein, 2004). En un estudio similar realizado con morosos en Perú, se puso a prueba ese hallazgo y se demostró que las normas sociales sí eran más efectivas (Del Carpio, 2013).
Existen casos de uso de mensajes relacionados con normas sociales que se han puesto a prueba de forma extendida y restringida. Los mensajes como “la mayoría de los huéspedes reúsan su toalla” y “la mayoría de los huéspedes en esta habitación reúsan su toalla” se han puesto a prueba en hoteles para demostrar su efecto social (Del Carpio, 2013).
También es posible indicar problemas de investigación focalizados en normas sociales que, por medio de mensajes, cancelen el efecto adverso conocido como “búmerang” (una variante de la externalidad negativa) (Schultz et al., 2007).
TÉCNICA DE ANÁLISIS DE DATOS
El principal recurso usado en este estudio fue la prueba del análisis de la diferencia entre medias. La evidencia se contrastó con la hipótesis nula (sin diferencias). La prueba de diferencia entre medias pretende identificar la efectividad de cada tipo de mensaje enviado. También se utilizó el análisis de errores de tipo 1 y 2.
El éxito del envío de mensajes quedó indicado por el pago de cada empresario moroso que había recibido un mensaje de voz. El emprendedor que recibiera uno de los doce mensajes e hiciera su pago dentro de los siete días siguientes quedaba enumerado como miembro no moroso, presente a partir de ese momento en la base de datos de la investigación.
La prueba de diferencia entre medias demuestra el éxito de cada mensaje. Los detalles de esa cuestión fueron identificados por robustos algoritmos de machine learning. Así se identificó si los mensajes cumplieron su función de promover el pago de impuestos atrasados.
La segunda fase de análisis consistió en el uso de machine learning, con los algoritmos Random Forest, regresión logística y Naïve Bayes. El objetivo de esos tres algoritmos era identificar la robustez del modelo y crear un modelo predictivo del éxito del envío de mensajes. Se eligieron esos tres algoritmos debido a su aplicación fiable y amigable. Se usó la herramienta Orange 3.26.0 para calcular la precisión del modelo.
Random Forest: En este estudio, este algoritmo tuvo una gran contribución, con una precisión de 99 por ciento. Para casos similares, los árboles de decisión son uno de los modelos más prácticos y populares en la inferencia inductiva. Ese método representa funciones de entrenamiento y clasificación que pueden comprenderse mejor a partir de la propia base de datos. El propósito de usar esa técnica fue identificar el éxito del envío de un mensaje. En el análisis se toman en cuenta aspectos como la ciudad, el estado, el mes del envío, la tasa de rendimiento promedio y el rendimiento esperado (40%). A partir de ese momento, el algoritmo trabaja con árboles de decisión y nodos que se profundizan, para buscar todas las relaciones posibles y determinar la precisión del modelo. Después de generar el modelo, se hacen predicciones a partir de probabilidades. Cada miniárbol representa una decisión tomada a partir de los datos relacionados. La manera en la que funciona Random Forest está basada en la Bootstrap Aggregation (Bagging).
Regresión Logística: En este estudio, este algoritmo fue muy importante, pues confirmó una precisión de 95 por ciento. Este algoritmo se usa en machine learning porque logra muy buenas clasificaciones. En este caso, se usó para estimar valores discretos (valores binarios como 0/1, sí/no o buena tasa de rendimiento/mala tasa de rendimiento) con base en un grupo de variables independientes. De forma simplificada, predice la probabilidad de ocurrencia de un suceso al ajustar los datos a una función logística. Tal como predicen las probabilidades, se esperan valores de salida entre 0 y 1.
Naïve Bayes: En este estudio, este algoritmo reveló una precisión de 99 por ciento para el modelo. Este algoritmo contribuye a la investigación al clasificar el éxito o fracaso del envío de mensajes de cobro. Un clasificador Naïve Bayes está representado por probabilidades; es decir, cuando el modelo termina, tendremos una lista de probabilidades que se usarán para hacer las predicciones de los nuevos datos. Estas probabilidades son: 1) probabilidad de clase: la probabilidad de cada clase en la base de datos de entrenamiento; 2) probabilidad condicional: la probabilidad condicional de cada atributo dado a cada clase. La pregunta “inocente” aludida en el nombre del algoritmo se explica cuando se construye la correlación entre las variables. Por ejemplo, si un mensaje logró su objetivo, se debe a que es del tipo “normas sociales” y fue enviado al estado de Paraná en el mes de enero. En vez de calcular el valor de las probabilidades que relacionan cada atributo, el algoritmo supone que las probabilidades son condicionalmente independientes dada la variable de respuesta. Esta es una premisa muy potente del algoritmo, ya que básicamente dice que los atributos no interactúan entre sí.
Para ejemplos recientes del uso de machine learning y de estos tres algoritmos en situaciones de pago de impuestos y oferta de crédito (Boto Ferreira et al., 2020; León et al., 2020).
ANÁLISIS DE LOS DATOS
Considerando una muestra distribuida en los cuatro estados (seleccionados por concentrar la mayoría de los empresarios morosos), se enviaron 247 697 mensajes, de los cuales se entregaron 203 580 y quedaron 44 117 sin entregar. Fijar H 1 como distinta significa que se encontró una relación entre los doce grupos de mensajes, como se muestra en el cuadro 3.
CUADRO 3 Análisis probabilístico
| Probabilidades por estado | General | |||||||
| Mensaje | SC | SP | RS | PR | Éxito | σ 2 | σ | SE |
| 1 | 0.00901 | 0.08903 | 0.00101 | 0.03202 | 0.415 | 0.007 | 0.083 | 0.037 |
| 2 | 0.09703 | 0.00001 | 0.02402 | 0.00001 | 0.407 | 0.006 | 0.074 | 0.021 |
| 3 | 0.01101 | 0.00801 | 0.43804 | 0.06103 | 0.423 | 0.013 | 0.112 | 0.056 |
| 4 | 0.12704 | 0.01301 | 0.02902 | 0.01401 | 0.382 | 0.011 | 0.105 | 0.043 |
| 5 | 0.03702 | 0.00001 | 0.44704 | 0.01101 | 0.342 | 0.006 | 0.075 | 0.024 |
| 6 | 0.04702 | 0.00401 | 0.00201 | 0.08803 | 0.406 | 0.005 | 0.070 | 0.027 |
| 7 | 0.09103 | 0.15904 | 0.01201 | 0.00001 | 0.404 | 0.009 | 0.094 | 0.028 |
| 8 | 0.00701 | 0.02102 | 0.03102 | 0.00201 | 0.411 | 0.004 | 0.065 | 0.022 |
| 9 | 0.29604 | 0.01301 | 0.04802 | 0.00011 | 0.418 | 0.005 | 0.067 | 0.024 |
| 10 | 0.04902 | 0.53004 | 0.00301 | 0.00001 | 0.409 | 0.006 | 0.079 | 0.022 |
| 11 | 0.12204 | 0.00001 | 0.10904 | 0.04782 | 0.401 | 0.014 | 0.118 | 0.053 |
| 12 | 0.13004 | 0.03902 | 0.00601 | 0.00011 | 0.458 | 0.011 | 0.105 | 0.032 |
Fuente: Elaboración propia. Notas: Se presentan las probabilidades que indican la efectividad de los mensajes. Se subrayaron cuatro indicadores para cada una de las probabilidades involucradas, en un rango de 0.01 a 0.10. Se utilizaron Paired T-Student, (P (T <= t) bidireccional, para la diferencia entre medias (variable continua), “rendimiento del mensaje”. 1 p<0.01 evidencia muy fuerte en contra de H 0. 20.01≤p<0.05 evidencia moderada en contra de H 0. 30.05≤p<0.10 evidencia sugerente en contra de H 0. 40.10≤p poca o nula evidencia en contra de H 0.
Los mensajes 6, 7, 8, 9, 10 y 12 concentraban su contenido en las normas sociales. Los mensajes 6 y 9 eran de normas sociales sin estar asociadas con otras opciones (por ejemplo, normas sociales y simplificación; normas sociales y decisiones pasadas). Es necesario analizar si la presencia de las normas sociales tuvo efecto cuando se usaron por sí mismas o cuando se relacionaron con otro tipo de mensaje.
Tomando en cuenta las probabilidades que indican la presencia de diferencias entre los grupos, si la hipótesis nula es verdad, 22 probabilidades sugerían una evidencia fuerte en contra de H 0, es decir, que los mensajes habían sido efectivos para la realización del cobro. Otras doce probabilidades mostraban una evidencia moderada en contra de H 0.
Los análisis sugieren que algunos mensajes fueron más efectivos que otros, como el mensaje 12 (normas sociales y simplificación) y el mensaje 10 (normas sociales y decisiones pasadas). Los mensajes como el 11 (simplificación) tuvieron un índice de éxito bajo, con poca o nula evidencia contra H 0. La gráfica 1, además de mostrar la efectividad de los mensajes, también indica el error en la muestra. Los mayores errores en la muestra están concentrados en los mensajes 11 (simplificación) y 3 (divulgación), mientras que los menores están relacionados con los mensajes 2 (compromiso previo), 8 (normas sociales y recordatorios) y 10 (normas sociales y decisiones pasadas).

Fuente: Elaboración propia. Nota: La línea de los doce mensajes indica una concentración de fracasos en los mensajes 4 y 11. Los mensajes 3 y 12 tienen los menores índices de fracaso en el envío.
GRÁFICA 1 Índice de éxito promedio
A partir de la gráfica 1, es posible sugerir que hay un intervalo balanceado en el éxito de los mensajes. Enviar los mensajes 6, 7, 8, 9, 10, 11 y 12 tuvo un mayor índice de éxito y un menor margen de fracaso (con la excepción prevista del mensaje 11, con un mayor fracaso).
A partir de los hallazgos de la investigación, es posible inferir que los mensajes centrados en “normas sociales” son más efectivos que los otros. Los fracasos relacionados y el análisis de varianza también sugieren el mismo efecto. También es posible indicar que la conducta de los mensajes varió según el estado. Los estados de Paraná y São Paulo reaccionaron de forma más efectiva a los mensajes, en contraste con los de Santa Catarina y Rio Grande do Sul. Los mensajes de “simplificación” fueron prácticamente inofensivos en términos de recaudación, pues sólo tuvieron efecto en el estado de São Paulo. Durante la primera fase del análisis, fue posible identificar que los mensajes que apelaban a normas sociales eran más efectivos para conseguir el pago de los empresarios morosos. El modelo no brindó más respuestas. En los cuatro estados hubo diferencia entre los índices de éxito de los mensajes. São Paulo, por ejemplo, tuvo un mayor índice de éxito que los otros estados de la federación. La base de datos empleada incluía cuatro estados de la federación, 247 697 mensajes enviados, doce meses de operación, doce tipos de mensajes y dos oleadas de envíos.
Mediante el uso de robustos algoritmos de machine learning se pudieron contestar preguntas como la validez del modelo y si es posible replicar estos escenarios en otras ocasiones. Los análisis llevados a cabo a continuación muestran la verdadera diferencia entre el tipo de mensaje usado, y que las conductas de los mensajes en cada estado fueron muy diferentes. Por cada 10 veces que se use el modelo, en nueve ocasiones los datos serán completamente idénticos.
Usando algoritmos como Random Forest, regresión logística y Naïve Bayes, se obtuvo un modelo confiable para identificar la probabilidad de éxito de los mensajes, tomando en cuenta variables como estado (UF), mensaje, índice de éxito promedio en el primer semestre, índice de éxito promedio en el segundo semestre y éxito de la estrategia (por encima de 40 por ciento). Los tres algoritmos utilizados demuestran la validez del modelo probabilístico.
En total, se usaron tres algoritmos para identificar la robustez de los modelos en validación cruzada, con diez repeticiones y un tamaño del conjunto de entrenamiento de 66 por ciento. Random Forest (1.000), regresión logística (0.951) y Naïve Bayes (0.992).
El análisis 1, de Random Forest, revela una precisión promedio del modelo (CA) de 92 por ciento. Eso significa que, en diez predicciones, el modelo atina aproximadamente nueve.
El modelo presentado es robusto y capaz de brindar un reporte confiable. El diagrama 1 ilustra el flujo de operación de machine learning.

Fuente: Elaboración propia. Nota: De izquierda a derecha del diagrama de flujo de machine learning, se empieza por la apertura de la base de datos (tabla de archivos y datos); el siguiente paso es el uso de técnicas de análisis predictivo (widgets: Random Forest, Naïve Bayes y regresión logística). Su flujo operativo, de izquierda a derecha, señala la evaluación predictiva del modelo (evaluación y calificación). Se evaluaron las tres herramientas empleadas, lo que señaló el modelo predictivo más exitoso: Random Forest (1.000). El widget Nomograma sólo se usó para visualizar los coeficientes de regresión logística.
DIAGRAMA 1 Machine learning
El análisis de regresión logística se ejecutó con una variable dependiente (éxito > 0.40) y cinco independientes: estado (UF), mensaje, índice de éxito promedio en el primer semestre, índice de éxito promedio en el segundo semestre y éxito de la estrategia. El reporte de salida señala el poder explicativo de cada estado y la influencia significativa que tuvo el tipo de mensaje usado.
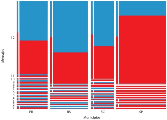
La gráfica 2 muestra que el mensaje más efectivo fue el 12, en los estados de RS y SC. La región azul indica el mensaje en contraste con su índice de éxito (por encima de 40 por ciento) y la roja señala el fracaso de la operación (por debajo de 40 por ciento). El estado de SP tuvo el menor índice de éxito para el mensaje 12.

Fuente: Elaboración propia. Notas: Los cuatro estados que participaron en la muestra no presentaron el mismo desempeño en los índices de éxito para el pago de impuestos retrasados. Los mensajes 11 y 12 fueron más efectivos en RS. El peor desempeño de mensajes fue el del mensaje 11 en SP. El mensaje 12 fue el más efectivo del grupo; su índice de éxito en los estados de RS, PR y SC destacó. Rojo: fracaso de la estrategia (<40%). Azul: éxito de la estrategia (> 40%).
GRÁFICA 2 Éxito de los mensajes
El análisis realizado demostró que los mensajes que apelaban a normas sociales eran los más eficientes para recaudar impuestos retrasados. Vale la pena mencionar que, en el modelo probabilístico, la región del país tiene poca influencia en la evaluación general del esquema predictivo.
CONCLUSIÓN Y COMENTARIOS FINALES
Las normas sociales son el eje de análisis de este estudio y están insertas en el contexto del consumo y la conducta humana. Ese tipo de mensajes estuvo presente en seis modelos de mensaje y demostró ser eficiente para reducir la morosidad y aumentar la recaudación.
No representa coerción ni una norma legal, sino un formato de aprendizaje colectivo. Por normas sociales se entiende aquí reglas construidas y autoimpuestas por las personas, apoyadas por la aprobación y desaprobación de los demás miembros de un grupo. Las normas sociales se han usado como estrategia para modificar la conducta y las políticas públicas en las áreas más diversas; sin embargo, son más comunes para influir en la responsabilidad social y en la sustentabilidad. Tal es el caso del intento de reducción de consumo energético (Curtius et al., 2018; Horne y Kennedy, 2017), la mejora en la separación de desechos reciclables (Sorkun, 2018), las acciones voluntarias a favor del medio ambiente (Huber et al., 2018), la mejora en selección de alimentos y sobrepesca (Alló y Loureiro, 2017). Esos son ejemplos apropiados que pueden trabajarse para la publicidad social y el desarrollo de productos.
Este estudio demostró la efectividad del uso de normas sociales en contraste con otras estrategias, como recordatorios, decisiones pasadas, alertas y compromiso previo. Vale la pena señalar que este estudio tiene contribuciones teóricas y prácticas.
La teoría puede mejorarse cuando se comprende que las normas sociales son efectivas al usarse en conjunto con otras variantes de mensajes, en especial a la hora de fomentar decisiones apropiadas para políticas públicas. La práctica puede mejorarse cuando se comprende que el bien común (tanto en las compañías como en las instituciones públicas) puede lograrse cuando se envían mensajes basados en normas sociales. Las compañías, por ejemplo, pueden crear una estrategia de diseminación de sus productos con atractivo ecológico o que promuevan el bien común, como sucede con los productos orgánicos y eco-friendly, los que tienen un menor contenido de conservadores y azúcares, etcétera.
La estrategia de usar normas sociales en esos casos sugiere mejores resultados. No obstante, vale la pena cuestionar qué efectos habría si el problema se traspusiera a otras culturas. Las culturas individualistas presentarían resultados muy distintos a los de las colectivistas (Steentjes et al., 2017).
En el presente estudio, las normas sociales fueron más efectivas para realizar el cobro que las demás estrategias (simplificación, divulgación, compromiso previo, recordatorios y decisiones pasadas). Cuando las normas sociales se usaban en conjunto con la simplificación, se obtuvo un mayor índice de éxito que en otros casos, como al combinar normas sociales con decisiones pasadas o normas sociales con recordatorios. Es importante señalar que las normas sociales también tuvieron un mejor desempeño al usarse de forma aislada, como en los mensajes 6 y 9. El peor desempeño apareció en el mensaje 5, decisiones pasadas, un modelo de mensaje que apela a la tradición y la cultura. En ese sentido, es posible hacer algunos comentarios y sugerencias para futuros estudios.
Este estudio registra limitaciones relacionadas con el éxito de los mensajes, que fue medido con el pago de impuestos retrasados. En algún punto tras el envío de los mensajes, el empresario podría haber pagado sus adeudos por alguna otra razón (no generada por los mensajes de texto enviados a su celular). Quizá en ese caso el mensaje no haya tenido el efecto deseado y otro factor actuara como variable oculta.
Los mensajes usados en este estudio fueron creados para tener éxito en la recaudación fiscal y desarrollados específicamente para la cultura brasileña (considerada individualista). Hay estudios similares relacionados con ejemplos internacionales que han tenido éxito, pero que no utilizaron normas sociales en términos estrictos (Balestrino, 2010; Cullis et al., 2012; Jiménez y Iyer, 2016; Onu y Oats, 2016). Es posible explorar los efectos del uso de normas sociales en otras culturas con un mayor o menor nivel de individualismo, pues se puede considerar que los impuestos tienen un efecto de sustentabilidad para un país. Esta operación también se puede considerar extremadamente confiable, pues el grado de precisión del modelo estaba alrededor de 90 por ciento. Hemos registrado una agenda de investigación futura con estudios que analicen las normas sociales en eventos de recaudación y el combate a la morosidad en otras situaciones.
¿Será posible que el pago de impuestos se haya debido a otra razón? Sí, y esa es una limitante del estudio. Sería interesante investigar, en una nueva oleada de mensajes, la verdadera razón del pago. Sin duda, esta es una limitante muy fuerte del estudio.









nueva página del texto (beta)



