Introduction
The Montes de María (MM), also known as Serranía de San Jacinto, is an independent, low-elevation mountain range located near the Caribbean, north of the Colombian Andes (Figures 1, 2 and 3). MM is the main avocado producer in the Colombian Caribbean, and one of the major producers of West Indian avocado (Persea americana var. americana) in the country. Agricultural production in MM is concentrated in agroforestry systems where the association of avocado, cocoa and yam predominates. The production units resemble secondary forests with a prevalence of high (>15 m) and old avocado trees that are randomly distributed. Producers intervene minimally in the crop, with a predominant role as collectors and not as farmers. Agroforestry systems in MM are non-technified subsistence economies that use avocado as shade for other crops, fruit provision and as a secure source of money (DANE, 2015; Yabrudy-Vega, 2012a).

Figure 1 Clusters of authors who conducted studies on the avocado production system in the Montes de María region.

Figure 2 Conceptual model of the avocado agroforestry production system in Montes de María: a) description of the three most important sub-production systems (sPS) (avocado [sPS1], cocoa [sPS2] and yam [sPS3]), environmental and socioeconomic factors, and performance indicators of the production system (production and income), and b) detail of the influence of socioeconomic factors on the production system through two components: I) actions, behavior and welfare of the farmers and II) selling price of agricultural products.

Figure 3 Geographical description of the Montes de María region and the avocado producing area: a) geological territory of the San Jacinto fold belt delimited by the Romeral Suture and the Sinú Suture (Caro & Spratt, 2003; Toto & Kellogg, 1992), b) relief and roads of the Montes de María subregion (ESRI, 2018) and c) distribution of avocado production areas in the Montes de María municipalities estimated with the maximum entropy algorithm (Osorio-Almanza et al., 2017).
The Colombian armed conflict has led to the displacement and abandonment of farms in MM. In the long term, this process has limited the renewal and maintenance of avocado crops, resulting in a dramatic reduction in the planting area and production in the last decade (Departamento Nacional de Planeación [DNP], 2012; Observatorio del Programa Presidencial de Derechos Humanos y Derecho Internacional Humanitario [OPPDH-DIH], 2003). As a result, multiple studies and interventions have been carried out in the region with the aim of increasing avocado planting areas and production (OPPDH-DIH, 2003; Yabrudy-Vega, 2012a), as well as explaining the causes of the loss of these areas (Osorio-Almanza et al., 2017; Yabrudy-Vega, 2012b). However, most studies have mainly focused on avocado cultivation without attempting to fully understand the agroforestry system as a whole (Méndez-Prada, 2016; Yabrudy-Vega, 2012a, 2012b).
In these agroforestry systems, avocado is frequently associated with cocoa, coffee, citrus and other tropical fruits. The establishment and maintenance of avocado trees by farmers is influenced by socioeconomic and institutional factors, which affect not only the avocado crop, but also the entire production system. A similar scenario has been reported in the management of the system, where practices carried out in one crop affect the productivity of other crops (Biazin et al., 2016; Jagoret, Kwesseu, Messie, Michel, & Malézieux, 2014; Schulz, Becker, & Gotsch, 1994; Simons & Leakey, 2004; Simons & Leakey, 2017; Smith, Fik, Alvim, Falesi, & Serrão, 1995; Tscharntke et al., 2011).
A practical approach to understanding the avocado agroforestry system in the Colombian Caribbean is the use of conceptual models. This approach allows structuring the information in order to identify components, relationships and subsystems, being useful to understand the different environmental and agricultural scenarios in which agroforestry systems occur. Consequently, the aim of this paper is to present a comprehensive overview of MM's avocado agroforestry production systems, without neglecting the environmental and socioeconomic limitations of the region. The development of this objective implies compiling information on the production system, most of which corresponds to institutional reports, and synthesizing this information in a framework that facilitates its understanding and analysis. The purpose of this exercise is to offer a general conceptual framework to guide future actions, where new conceptual models of the subsystems can be developed in such detail that they allow the implementation of mathematical equations and the development of probabilistic simulations.
Materials and methods
Two procedures were carried out to obtain the information: 1) a literature review by searching for information with keywords and 2) construction of a conceptual model of the avocado agroforestry production system. The documents found were organized independently in each procedure. The automatic literature search of the first procedure was complemented with a cluster analysis of authors to identify the most recurrent research topics, usually associated with specific institutions. In the case of the conceptual model, its construction led to specific searches that allowed describing relationships among system components.
Collection and analysis of documents associated with avocado production in Montes de María
The 354 documents obtained were automatically collected with the keywords “Montes de María” and “aguacate”, the latter being the Spanish word for avocado, as a search string in Google Scholar. These documents were manually reviewed to select them as part of the references to be consulted and uploaded to the F1000 Workspace reference management software package, this considering that a large majority are institutional reports without available metadata (gray literature). The attached documents were filtered again by the term “Montes de María”, and the resulting database was analyzed by the VOSviewer program to identify the author clusters on which this review focused (Figure 1).
Description of the study area
The MM region was described in geographical and political terms, including a description of its geological features. This description is necessary for explaining the lack of consensus between the geographic and geological definition of the MM region and the politic-administrative denomination that includes nearby municipalities with small or no territories in the region.
Conceptual model of avocado production systems in Montes de María
Model construction. The objective is to represent at production unit-scale the limitations and interchange that occur at the local level. The construction of the model was based on the protocol developed by Lamanda et al. (2012), of which the first two steps were executed: 1) structural analysis, definition of the limits of the model and elements, and 2) functional analysis of the processes among the identified elements. This first version of model is a general one does not contain spatial or temporal descriptions of the production units.
Model components. Components were divided into three categories: 1) environmental (climate and soil) and socioeconomic factors that affect the system, 2) production unit or farm that represents the biophysical system, and 3) system performance indicator variables, represented by production and income (Lamanda et al., 2012) (Figure 2a and 2b).
The avocado agroforestry system’s production unit is represented by the sum of its three subsystems (avocado, cocoa and yam) and three components that define each subsystem (production, pests and disease) (Figure 2a). The last of these components has played a critical role in limiting the production system and has been the focus of intervention efforts in the past decade. The number of subsystems may increase to reflect all possible variations, but has been limited to the three of greatest economic importance.
In addition, management practices and public and private actions implemented in the region have been included in the component called interventions in the production system. The description of each component is based on the literature review, but the broad definition presented can easily be expanded to include more details relevant to the subsystems or to particular interactions among components.
Finally, the system's output variables, or performance indicators, have been limited to productive aspects and farmers’ income. However, this does not mean that this model proposal cannot be extended to include ecosystem performance variables.
Functional analysis. The components and the relationships among them were estimated from the available literature using specific search strings to find detailed information on the relationships (Table 1). The functional analysis describes the general effects of climate, soil, socioeconomic factors and the specific relationships of the remaining components for each sub-production system (sPS) (Appendices).
Table 1 Description of the environmental factors affecting the avocado agroforestry production system in Montes de María in the Colombian Caribbean.
| Environmental factors | Description of the factor and interaction with the production system | Reference |
|---|---|---|
| Climate | Tropical savannah with dry winters1 (Aw) influenced by MM’s elevational variations. Bimodal distribution of rainfall and average temperature of 27 °C. Rainfall distribution defines the yam planting season and the establishment of new avocado and cocoa areas. In the higher elevation areas, yams are planted between November and December, while in the lower areas, yams, avocados and cocoa are established between April and May. | Aguilera-Díaz, Reina-Aranza, Orozco-Gallo, Yabrudy-Vega, and Barcos-Robles (2013); IDEAM (2018). |
| Soil | Soils in MM exhibit contrasting spatial differences in terms of characteristics associated with Ca, S, Na, clay and P - organic matter contents. The main variation factor is pH and Ca content. Locations in the municipality of Ovejas exhibit pH values higher than 8, while in Carmen de Bolívar pH soil values are around 5.5. Some soil characteristics exhibit a relationship with avocado wilt (Phytophthora cinnamomi): Ca-pH are positively associated with this disease while P-organic matter are negatively associated. | Burbano-Figueroa, Romero-Ferrer, and Moreno-Moran (2019) |
1Season with the shortest days and lowest sun on the horizon.
The relationship of socioeconomic factors to the production system was established from two classes of components representing the socioeconomic dimensions of human behavior and the consequences of human activities (Collins et al., 2011; Gardner et al., 2013 ).
Results and discussion
Description of the Montes de María subregion
MM is a low-elevation mountain range covering a 2,677 km2 area, located in the states of Bolívar and Sucre, Colombia, and is part of the San Jacinto fold belt, without any geological or geographical relationship with the Andes. The highest peaks in MM are the Cerro Maco (800 masl), El Cerro de la Cansona (420 masl) and the Loma de la Pita (620 masl) (Figure 3). The San Jacinto fold belt is often called the Serranía de San Jacinto, and includes the mountain systems to the west of the Romeral Suture (whose geological substrates are mainly of volcanic origin): the Serranía de San Jerónimo, the Serranía de Coraza and the MM.
MM soils are derived from Miocene sandy, clayey, and limestone basements and rock formations of marine origin (Bacca, Hernández-Pardo, & Vásquez-Ávila, 2010; Caro & Spratt, 2003; Dueñas-Jiménez & Gómez-González, 2013; Flinch, 2003; Mora-Bohórquez et al., 2017; Parra, 2016 ). MM has a tropical savanna climate with dry winters (Aw) and contains abundant remnants of tropical dry forest (Galván-Guevara, Sierra, Gómez, de la Ossa, & Fajardo-Patiño, 2009; Instituto Alexander von Humboldt [IAVH], 1998). It exhibits an average annual temperature of 27 °C and a bimodal rainfall pattern with annual precipitation of 1,000 to 1,200 mm and dry periods between June-July and December-February (Aguilera-Díaz et al., 2013; Kottek, Grieser, Beck, Rudolph, & Rubel, 2006; IDEAM, 2018). The MM watersheds belong to the Magdalena and San Jorge river systems (FUNCICAR, 2015).
In political-administrative terms, the Montes de María subregion is made up of 15 municipalities belonging to two states: El Carmen de Bolívar, San Jacinto, San Juan Nepomuceno, El Guamo, María la Baja, Zambrano, Córdoba (Bolívar), Ovejas, Los Palmitos, Morroa, Colosó, Chalán, Toluviejo, San Onofre and San Antonio de Palmito (Sucre), which together cover a 6,297 km2 area (Figure 3). Additionally, the MM administrative subregion is divided into three zones: 1) a plain on the banks of the Magdalena River where the municipalities of Guamo, Zambrano and Córdoba are located. Geologically speaking, this plain does not belong to the MM system, but to the formation to the east of the Romeral Suture. 2) The mountainous zone and 3) The coastal zone. The last two are part of the San Jacinto fold belt with the avocado crops located in the mountainous area. The MM rural development area and MM consolidation zone are designations equivalent to the MM subregion previously described, with the exception of the municipality of Corozal included in 2012 in the MM consolidation zone. The administrative declaration as a subregion facilitates the joint development of actions between the governments of Bolívar and Sucre (Aguilera-Díaz et al., 2013).
Agroforestry systems for avocado production in Montes de María
Origin and establishment
Avocado agroforestry systems in MM began in the 1940s with the planting of avocado landraces that serve as shade for the coffee orchards. Back then, coffee was considered the main crop and avocado fruits were considered a worthless byproduct used as pig feed. During the collapse of the country's coffee regions, the MM landscape was dominated by avocado trees, which soon became the main source of income for farmers. In the 1960s, MM's avocado reached the markets of Medellín, Barranquilla and Cartagena, and in a short time the region was consolidated as the largest avocado producing area in the country, without the implementation of technological innovations (Yabrudy-Vega, 2012a, 2012b).
Avocado as the main crop configures the current MM West Indian avocado agroforestry system, with yam and cocoa as the main associated crops. Cocoa is grown under the shade of avocado trees, while yams are planted in the clearings within or adjacent to the avocado orchards. Many other crops are grown but their occurrence is lower than the three mentioned above. These additional associated crops include perennial fruit trees (mango, mamon [Melicoccus bijugatus], soursop, yellow mombin, noni, guama, guayaba agria [Psidium friedrichsthalianum], guayaba dulce and guayaba manzana [landraces and hybrids of P. guajava], nispero costeño [Manilkara zapota], orange, cereza criolla [Malpighia glabra], ciruela criolla [Spondias purpurea], zapote [Pouteria sapota], pera de agua [Syzygium malaccense], tangerines and lemons) and short-cycle crops for family consumption (banana, plantains [specially the landrace mafufo], cassava, squash [landraces of Cucurbita maxima], sweet potato, maize, sweet perennial peppers, sesame and beans). In recent years, an incipient beekeeping industry has been developed as a way to supplement crop income (Acevedo-Navas, 2012; Castellanos et al. 2011; Menco-Rivera, 2010; Yabrudy-Vega, 2012a).
Today, many of the trees, especially in Carmen de Bolívar, are 60 years old with heights of 100 m, making harvesting difficult. Although tree distribution is random, these aggregate near to the runoff channels in the field, where avocado seeds are more likely to germinate and grow. However, this aggregation pattern has been proposed as an explanation for recurrent cases of wilting on some farms (Osorio-Almanza et al., 2017; Yabrudy-Vega, 2012b).
Description of avocado, cocoa and yam subsystems
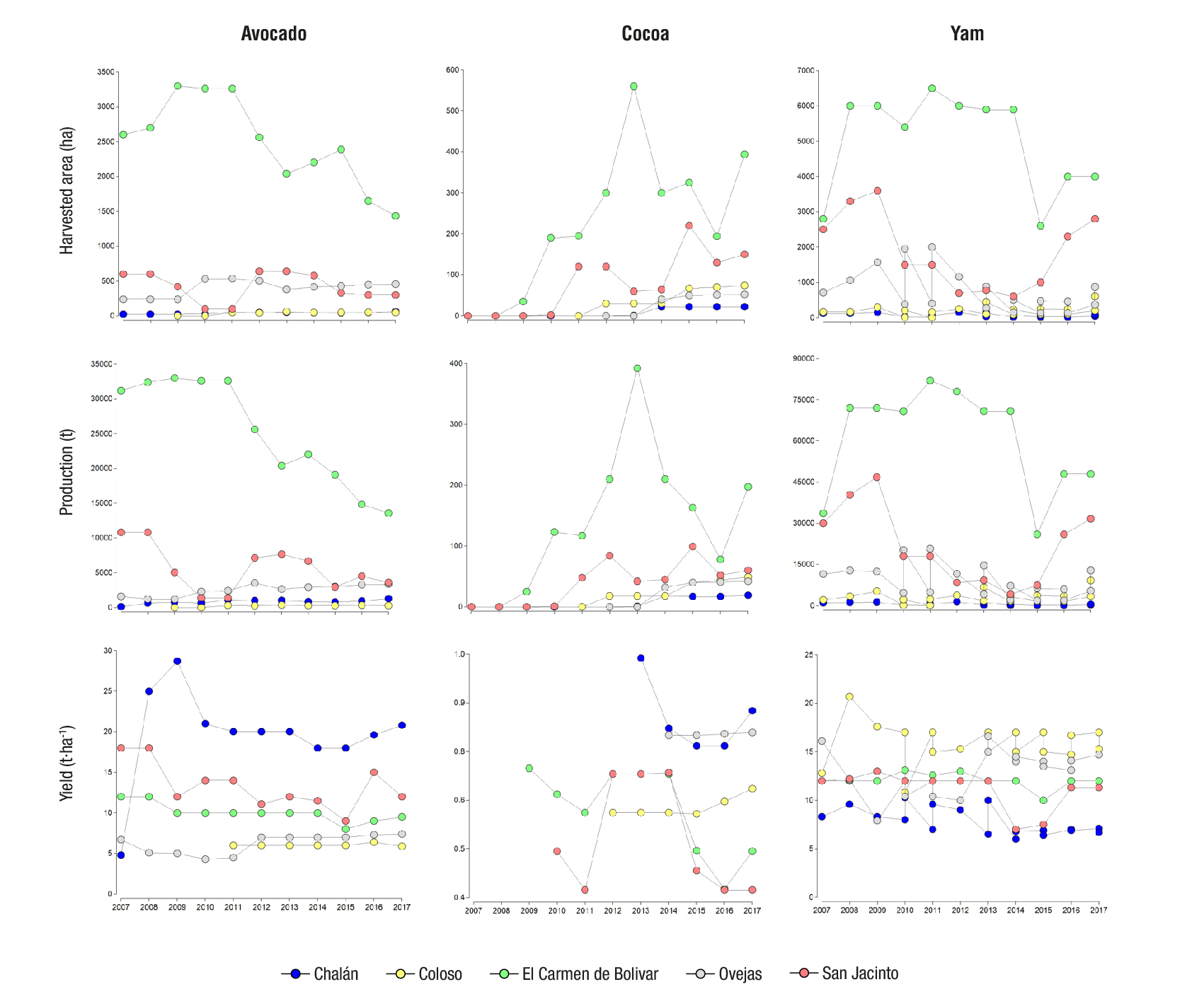
The largest area of avocado and cocoa production is found in Carmen de Bolívar and San Jacinto. However, the highest yields of these crops are recorded in Chalán, followed by San Jacinto, and the lowest yields in Carmen de Bolívar. This last municipality recorded the highest losses per hectare of avocado in the last decade, probably due to the advanced age of the avocado and cocoa orchards. More details of the subsystems analyzed can be found in Appendices 1, 2 and 3.
Avocado subsystem
The avocado landraces used by the farmers in MM are called "Montemarianos" and categorized into at least three main groups distinguishable by their fruit organoleptic properties: Cebo, Leche and Manteca. The pulp of the Cebo landraces is yellow and high in fiber content. The Leche (milk) landraces exhibit a creamy texture, while the Manteca (butter) landraces have a brown color and higher oil content. The colors vary from intense to dark green, and in some cases reddish colors (DANE, 2015; Yabrudy-Vega, 2012a). So far, the diversity of the MM avocado landraces is considered an obstacle for obtaining a homogeneous fruit that facilitates its commercialization. However, such diversity can be used to develop cultivars of avocado fruits with outstanding organoleptic properties similar to the Premium varieties of Hawaii. Cultivars with these traits can be marketed to specific niches, especially the ones related with organic products (Elevitch & Love, 2011).
The decline of avocado production areas in MM (Figure 4) is caused by a combination of factors that include: the advanced age of the orchards, avocado wilt presumably associated with P. cinnamomi (Osorio-Almanza et al., 2017), pest attacks and water stress (Burbano-Figueroa et al., 2017). Symptoms caused by P. cinnamomi are similar to those caused by water stress: wilting, pale or chlorotic leaves, necrotic margins on leaves, wilting in buds and reduced reproductive growth. These symptoms are classified as pathological or non-pathological, under the presumption of independent effects for water stress and root colonization by the pathogen. Holding the pathogen exclusively responsible has prevented the development of integrated management strategies of avocado wilt (Sterne, Kaufmann, & Zentmyer, 1978).

Figure 4 Avocado area and production in Montes de María since 1992. Data from 1992 to 2006were extracted from a previous publication (Yabrudy-Vega, 2012b) using WebPlotDigitizer, and data from 2007 to 2017 come from the municipal agricultural evaluations of the Ministry of Agriculture and Rural Development (AGRONET, 2017).
The hypothesis of the preponderance of root rot focuses all attention on P. cinnamom and the host's ability to replace roots, but ignores the plant's response to infection in a non-optimal environment where drought conditions prevail (Marks & Smith, 1980). This approach dominates most of the interventions implemented for avocado wilt management in MM.
The alternative interpretation is a water transport model that simultaneously explains the effects of water stress and pathogen colonization on avocado plants (Sterne et al., 1978). Infection with P. cinnamomi reduces the water absorption rate (due to root loss caused by the pathogen), but does not interfere with conduction within the tree (Marks & Smith, 1980). The water transport model is able to explain why Mediterranean climates are more prone to infections associated with P. cinnamomi (Marks & Smith, 1980). Avocado trees in MM are exposed to long periods of drought, typical of climates associated with dry tropical forests. These climatic conditions are probably the underlying factor explaining the reported loss of areas associated with avocado wilt in MM and branch dieback associated with Scolytidae beetles in the Serranía de Perijá mountain range (Burbano-Figueroa et al., 2017; Osorio-Almanza et al., 2017), both exacerbated by climate change in the last decade.
Cocoa subsystem
Cocoa production areas have experienced increases in the last decade, as a result of incentives for cocoa planting granted by various institutions (Castellanos et al., 2011; Fonseca-Rodríguez, Arraut-Camargo, Contreras-Pedraza, Correa-Cantillo, & Castellanos-Domínguez, 2011). However, the planted area is still emerging. In 2017, it did not exceed 1,000 ha (Figure 5). Cocoa crops in MM show symptoms of moniliasis (Moniliophthora roreri) and witches' broom (Moniliophthora perniciosa) (Fonseca-Rodríguez et al., 2011). Additionally, MM exhibits a latent risk of epidemic events associated with Ceratocystis cacaofunesta transmitted by ambrosia beetles. Events of this kind have been observed in avocado and cocoa plantations in Colombia and Venezuela (Burbano-Figueroa et al., 2017; Engelbrecht, Harrington, & Alfenas, 2007; Rondón & Guevara, 1984). These sanitary problems are common in other cocoa regions of the country (Fonseca-Rodríguez et al., 2011), suggesting that technology developed in other areas can be implemented in the region, especially the use of resistant cocoa varieties.

Figure 5 Harvested area, production and yield of avocado, cocoa and yam crops in municipalities of Montes de María.
There is no available evidence to explain the coincidences in the production curves (harvested area) between avocado and yam, but they are probably associated with the farmers’ return to their lands and the capital constraints imposed by the decrease in income associated with avocado. In the case of cocoa, it is a crop that in the last decade has been promoted by different institutions, so that the production dynamics observed in Figure 5 is difficult to explain without additional information.
Yam subsystem
Yam is an annual crop with dramatic changes in production area from year to year, ranging from 10,000 to 5,000 ha (Figure 5). This crop is planted in the months of April, May and June with the onset of rains and is harvested between November and January. The vegetative period lasts between 10 and 12 months. The dependency of the planting dates (and the crop-season) for the arrival of the rainy season limits the constant supply of yam in the market, resulting in months of excessive production and low prices, and months of scarce production (June to August). Changes in the production area are driven by the expectation of future prices for the product in the local market. The main yam-producing municipalities are Carmen de Bolívar and San Jacinto, together accounting for more than 80 % of total production (Reina-Aranza, 2012 ).
Yam includes several monocotyledonous species of the genus Dioscorea. The most cultivated varieties in Colombia belong to the species Dioscorea rotundata and Dioscorea alata. The D. rotundata cultivars are the most cultivated in MM and in the Caribbean, and are referred to as white yam or Espino (varieties and landraces). The D. alata landraces are locally known as Criollo (native) yams (Reina-Aranza, 2012; Rivera-Jiménez, Álvarez-Soto, Palacio-Mejía, Barrios-Leal, & López-Álvarez, 2011; Rivera-Jiménez, Álvarez, Palacio-Mejía, & Ochoa, 2012; Rodriguez, 2000).
Criollo yams have higher yields and storage capacity compared to the Espino yams, which are considered inferior in organoleptic characteristics (Giraldo-Marroquin, Bustamante-Rodríguez, Pinzón-Gutiérrez, & Buitrago-Hurtado, 2016; Méndez, Palencia, Hernández, Hernández, & Beltrán, 2013; Reina-Aranza, 2012), although D. rotundata varieties exhibit greater resistance to anthracnose compared to D. alata varieties (Giraldo-Marroquin et al., 2016; Méndez et al., 2013). There are differences in texture, starch grain size and organoleptic characteristics between the D. rotundata and D. alata varieties (Brunnschweiler, Mang, Farah, Escher, & Conde-Petit, 2006; Onayemi, Babalola, & Badanga, 1987; Nindjin et al., 2007) that explain the consumption preference of the local market for the Criollo varieties of D. alata.
The cultivar Diamante 6322 (Diamante 22 or simply Diamante), of the species D. alata, is the most planted in the region for the export market. This variety of Costa Rican origin exhibits greater resistance to anthracnose compared to other varieties of D. alata and D. rotundata (Sotomayor-Ramírez, González-Vélez, & Román-Paoli, 2003; Annex 3). However, 'Diamante' tubers have the lowest price in the local market and are considered to have inferior organoleptic characteristics compared to other Espino and Criollo yams (Méndez et al., 2013).
Socioeconomic factors affecting the avocado agroforestry production system
Multiple socioeconomic factors, mainly related to the Colombian armed conflict, have affected the region in the last half century. Forced displacement, the disintegration of the social fabric and the loss of institutionality caused by armed actors have resulted in conflicts over land ownership, inequality, poverty and low access to secondary education services (Daniels-Puello & Maza-Ávila, 2017; Maza-Ávila & Pérez-González, 2015; DNP 2012; Programa de las Naciones Unidas para el Desarrollo [PNUD], 2010). In this sense, Table 2 presents a detailed description of the socioeconomic factors influencing farmers' behavior and welfare, and price-fixing of the agricultural products. The relationships among the components described are shown in Figure 2b.
Table 2 Description of socioeconomic factors affecting the avocado agroforestry production system in Montes de María in the Colombian Caribbean.
| Socioeconomic factor | Description of the factor and interaction with the production system | Reference |
|---|---|---|
| Infrastructure and territory | The products generated in MM are sold in informal marketing channels without transformation, mainly allocated to the local market. The highest profit margins are obtained during intermediation (approximately 80 %). The product is marketed every year between April and June. The region’s rugged topography affects the transport and marketing of agricultural products, and limits the development of an adequate road infrastructure. The agricultural products must be transported from the farms to the main road in pack animals (donkeys), and from these points to Carmen de Bolívar in pickup trucks. When the price of agricultural products in the local market is high, the intermediaries buy them directly at the farm gate or at pick-up sites on the road. The main roads are the Troncal de Occidente and the Troncal del Magdalena Medio. Zero or negative population growth is expected for the region, as a consequence of the non-return of the displaced population and the migration of the younger population to urban areas. | Méndez-Prada (2016); DNP (2012); Méndez-Prada, Humanez-Márquez, Pérez-Ricardo, and Bertel-Ortega (2015) |
| Armed conflict and institutionality | The MM subregion has a population of approximately 600,000 inhabitants. They have witnessed extreme scenes of violence and corruption of the local government as part of the events associated with the Colombian Civil War of recent decades. This has resulted in extreme levels of poverty and inequality, forced displacement, conflict over land ownership and a deficient public service structure. The noble and aristocratic culture of the society and the peaceful nature of the inhabitants have led to corruption in local government, as opposed to the development of institutions based on the rule of law. | Acemoglu and Robinson (2012); Acevedo-Navas (2012); Center for Coordination of Integrated Action (CCAI, 2012); Chica-Gelis (2017); Daniels-Puello (2016); DNP (2012); FUNCICAR (2015); Garzón-Moreno et al. (2018); OPPDH-DIH (2003); PNUD (2010, 2012); Plataforma de Organizaciones de Desarrollo Europeas en Colombia (PODEC, 2011) |
| Land ownership | The Colombian armed conflict caused the displacement of significant segments of the population due to the loss of farmers' property rights at the hands of the government or actors outside the law. Currently, there is a process of land restitution, whose purpose is the reparation of the victims of the armed conflict. Specifically for MM, this process intends the restitution of land to its original owners. Land ownership and distribution is perhaps the most important element in social terms, linked to the reduction of poverty and inequality, and in the long term to the consolidation of peace in the region. | DNP (2012) |
| Economic development | The lack of financial resources and human capital restricts the region's economic development and its adequate insertion in the national and international economy. Associativity. Avocado, cocoa and yam producers are conglomerated in farmers' associations, which have been the object of interventions by public and private organizations working in the region. Technical assistance. Technical assistance to farmers in each of the subsystems is limited. | Aguilera-Díaz et al. (2013); Castellanos et al. (2011); Fonseca-Rodríguez et al. (2011); Méndez-Prada (2016); DNP (2012); Reina-Aranza (2012) |
| Education and health | Only half of the school-age population attends secondary school. Armed conflict, poverty, low coverage and poor performance of public education at the local level are the factors used to explain the region's low educational performance. The infrastructure of hospitals, basic sanitation services and public services is deficient in comparison with other rural areas of the country. | Daniels-Puello and Maza-Ávila (2017); DNP (2012); Maza-Ávila and Pérez-González (2015) |
| Sustainability and biodiversity conservation | In view of the preponderance of political and economic aspects associated with the armed conflict, this aspect has received the least attention. Efforts have concentrated on increasing agricultural areas in accordance with their suitability and watershed protection. However, MM represents one of the last enclaves of tropical dry forest in the country. Ecotourism proposals have been developed for the municipality of San Jacinto. | DNP (2012); Huertas-Cardozo and Santos-Gómez (2015); Segundo-Machado and Huertas-Cardozo (2018) |
The area’s rugged terrain makes it difficult for farmers to transport products and acquire goods and services, which increases the transport costs of agricultural products (Yabrudy-Vega, 2012a). During the last decade, new road construction projects have been developed, which will undoubtedly bring benefits to avocado producers in MM. However, the commercialization of the product is not organized, which implies higher shares for intermediaries and, therefore, the reduction of real income to the farmer (PODEC, 2011).
Short ripening periods and thin-skin of the West Indian avocado fruits prevent their long distance transport or their storage for extended periods. Additionally, the extreme variability in organoleptic characteristics makes it difficult to standardize a product that can be offered in formal marketing channels. Consequently, West Indian avocado fruits are not suitable for export. The international market prefers the organoleptic and durability characteristics of the Hass avocado (Mejía-Hernández, 2011) resulting in lower prices for the criollo avocados. MM's West Indian avocado is only distributed nationally, and the main marketing centers are the wholesale markets of Cundinamarca, Bogota, Antioquia, Medellin and Cali. A low percentage of MM's avocado is distributed in chain stores in Barranquilla, Bogota and Santa Marta, and with some intermediaries that sell the avocado mainly in wholesale markets in Cartagena, Barranquilla, Cali, Bogotá and Bucaramanga (Appendix 1).
Initiatives developed in the region
In recent years, several farmers' organizations have emerged, and public institutions have concentrated their efforts on supporting them. The main organizations are: Asociación de Productores de Aguacate del Carmen de Bolívar (APACARBOL), Asociación de Productores Agrícolas de Macayepo (ASOPRAM V”), Asociación de Víctimas de Chengue (ASOVICHENGUE), Asociación de Productores del Tesoro, and the Asociación de Cosechadores de Paz y Esperanza de Chengue.
Initiatives to support the production system have focused on promoting seedling production in nurseries, providing training in crop management (particularly root rot management through the control of Phytophthora), establishing new orchards and strengthening the socio-entrepreneurial skills of the organizations. Among the funders of these initiatives are the Ministry of Agriculture and Rural Development (MADR) and the International Organization for Migration (IOM-USAID), which have focused on supporting projects related to crop management aimed to increase crop yields while developing or identifying cultivars resistant to P. cinnamomi. Despite the efforts of the institutions to manage this disease, the general opinion is that these efforts have been unsuccessful, and that crop renewal is the definitive solution to the problems of loss of crop areas in MM (Restrepo-Salazar, 2011).
In addition, many other management strategies and public actions have been developed in the region related to land restitution. This will not be discussed in this document because the analysis of these actions requires an additional paper and expertise beyond the scope of this review. However, the most notable documents are: Acemoglu and Robinson (2012), CCAI (2012), and OPPDH-IHL (2003), and some more were cited in the document to incorporate regional context information.
Research perspectives and management strategies for the production system
It is necessary to concentrate efforts on understanding the environmental, biological and socioeconomic limitations of agroforestry production systems in MM, rather than individual crops (subsystems). This purpose can be reached through a combination of multivariate experimental approaches and models that must include the interactions between the perennial tree components and the annual crops, and the physical and socioeconomic constraints of the farmers.
DNP (2012) developed a model of scenario analysis with the aim of consolidating the intervention efforts of the production system in the region. However, it would be advisable to create stochastic models of the production system using the current state of knowledge. These models will facilitate the identification of the key variables in the production system. Stochastic approaches for participatory models describing agricultural production systems have previously been used for understanding and developing interdisciplinary solutions for problems of these systems (Luedeling, Kindt, Huth, & Koenig, 2014a; Luedeling et al., 2014b; Rosenstock et al., 2017; Shepherd, Luedeling, de Leeuw, & Rosenstock, 2014; Whitney et al., 2017a, 2017b).
These models will allow identifying the variables with the greatest impact on yield and productivity. In the case of avocado and cocoa yields, as perennial species, it is necessary to establish long-term field experiments that allow a precise quantification of the effect of the proposed management strategies or as an alternative to the field experiments, to identify recently established crops and farmers willing to participate in the field-evaluations. The estimated parameters can be incorporated into the stochastic models and facilitate the quantification of the expected benefits and implementation costs.
A key aspect to solve is the management of the information collected in MM. Multiple organizations work in the region (the state governments of Sucre and Bolivar, the Bank of the Republic, the University of Sucre, the Technological University of Bolivar, the National University of Colombia, the Colombian Agricultural Institute [ICA], the Colombian Agricultural Research Corporation [CORPOICA], the United Nations Development Program and multiple non-governmental organizations [NGOs]) but access to information between institutions is limited and there is no common data repository, leading to duplication of efforts. A common repository will allow access to the information obtained by the different stakeholders, protect the privacy of the farmers involved in field research and interventions and serve as the baseline for the development of better interventions in the production system. Additionally, it is necessary to assess the information collected at different scales and to evaluate the socioeconomic impact of these interventions in the production system.
Finally, the cluster analysis of authors (Figure 1) shows that interventions are isolated efforts of institutions working on specific aspects of the production subsystems or the community (Figure 2). A common agenda of the institutions working in the region will allow the optimization of the available resources.
Limitations
This review and the conceptual model here presented have several limitations. Although the search strategy was exhaustive, multiple reports and databases of government institutions and NGOs cannot be consulted because of the privacy restrictions for accessing this information. On the other hand, the model presented is a general qualitative one that requires feedback with the stakeholders involved in the production system with the aim of validating the proposed relationships. However, the inclusion of additional information provided by the aforementioned processes is only critical for the development of a quantitative approximation of the model, and does not change the general framework of the system described here.










texto en 


