Introducción
La dieta es un factor de riesgo modificable de gran importancia para el desarrollo de diferentes enfermedades (World Health Organization[WHO], 2014). Existe evidencia de que una ingesta dietaria densamente energética y pobre en micronutrientes incrementa el riesgo de obesidad y enfermedades no transmisibles (ENT), como la diabetes tipo 2 (DT2) y enfermedades cardiovasculares (ECV) (Denova-Gutiérrez et al., 2010; Joint WHO/Food and Agriculture Organization of the United Nations [FAO], 2003; WHO, 2014). Por lo tanto, el estudio de la dieta es fundamental en el ámbito de salud pública y epidemiología.
Uno de los métodos comúnmente utilizados para evaluar la dieta es el cuestionario de frecuencia de consumo de alimentos (CFCA), un método económico y fácil de aplicar en poblaciones grandes. Los CFCAs permiten evaluar la dieta a largo plazo, generar patrones de alimentación y son la herramienta dietaria más utilizada para el estudio de la relación dieta-enfermedad en estudios epidemiológicos. Una de las desventajas de los CFCAs, al igual que otros métodos, es que dependen de la memoria del entrevistado (Pérez-Rodrigo, Aranceta, Salvador & Varela-Moreiras, 2015; Sharma, 2011; Shim, Oh & Kim, 2014; Willet, 2013).
Existen diversos CFCAs diseñados para diferentes poblaciones y objetivos (Block et al., 1986; Quizán-Plata, Esparza-Romero, Bolaños-Villar, Corella Madueño & Careaga Rascón, 2016; Ramírez-Silva et al., 2016; Willet et al., 1985). Entre los de mayor referencia se encuentra el Cuestionario de Historia y Hábitos de Salud (Block et al., 1986) desarrollado para adultos estadounidenses y el CFCA de la Universidad de Harvard diseñado para estudios epidemiológicos (Willet et al., 1985). En México, se diseñó y validó un CFCA para adolescentes y adultos que participaron en la Encuesta Nacional de Salud y Nutrición-2012 (Ensanut) (Denova-Gutiérrez et al., 2016; Gutierrez et al., 2012; Ramírez-Silva et al., 2016). El CFCA para población mexicana mostró una validez moderada para energía, macronutrimentos y micronutrimentos, además, podrá ser utilizado en estudios epidemiológicos (Denova-Gutiérrez et al., 2016).
Por otro lado, la mayoría de las poblaciones indígenas a nivel mundial presentan altas prevalencias de obesidad y ENT (Esparza et al., 2015; Gracey & King, 2009; Herrera-Huerta, García-Montalvo, Méndez-Bolaina, López-López & Valenzuela, 2012) por lo tanto, la investigación sobre su alimentación es importante. El estudio de la dieta por medio de un CFCA podría ser de gran ayuda para determinar los patrones dietarios actuales que se relacionan con la obesidad y ENT en los grupos indígenas.
Antes de aplicarse, un CFCA debe adaptarse o diseñarse para la población objetivo; con relación a grupos indígenas se deben considerar sus hábitos de consumo, alimentos tradicionales, las nuevas opciones alimentarias y otras consideraciones metodológicas (Instituto de Nutrición de Centro América y Panamá [INCAP], 2006; Sharma, 2011; Teufel, 1997). Algunos CFCAs han sido diseñados para indígenas como Apaches y Navajos de Estados Unidos (Sharma, Cao, Gittelsohn, Anliker, Ethelbah, & Caballero, 2007; Sharma, Yacavone, Cao, Pardilla, & Gittelsohn, 2010).
Una vez que un CFCA ha sido diseñado se debe evaluar su validez para garantizar la obtención de resultados confiables que permitan la interpretación correcta en los estudios epidemiológicos (Denova-Gutiérrez et al., 2016; Verger et al., 2017; Willet, 2013), lo que a su vez coadyuvará al desarrollo de programas de intervención adecuados. En el caso de CFCA para indígenas existen pocos que han sido validados (Villena-Esponera, Moreno-Rojas, Romero-Saldaña & Molina-Recio, 2017).
La población indígena yaqui de México habita al sur del estado de Sonora distribuidos inicialmente en ocho pueblos: Cócorit, Bácum, Tórim, Vícam, Pótam, Belem, Huiribis y Ráhum, además, muchos yaquis se han desplazado de Cócorit y Bácum a Loma de Guamúchil y Loma de Bácum (Moctezuma, 2007). Históricamente los yaquis se alimentaban de raíces, hojas y frutos así como frijol, garbanzo y tortillas. Entre las prácticas relacionadas con la alimentación los yaquis tenían huertos familiares destinados al autoconsumo y practicaban el intercambio de alimentos. Sin embargo, la escasez de agua no permite que muchas plantas sobrevivan afectando la tradición de los huertos familiares (Carlón, 2017; Ruiz & Mejía, sf). Además, se ha informado sobre la incorporación de alimentos industrializados densamente energéticos a las comunidades yaquis (Merino-González, 2007).
Algunos autores han indicado que la población indígena yaqui presenta una alta prevalencia de obesidad (86.7%) y otros factores de riesgo para ECV y DT2 (Rodríguez, et al., 2008). Además, se ha discutido que los problemas de obesidad en este grupo indígena podría deberse a cambios en su alimentación (Merino-González, 2007; Rodríguez, et al., 2008), por lo tanto, el estudio de su dieta habitual es necesario. No se han desarrollado instrumentos específicos para evaluar la dieta de este grupo étnico. El objetivo de este trabajo fue diseñar y validar un CFCA para evaluar la dieta de indígenas yaquis.
Materiales y Métodos
El presente estudio constó de dos fases, la fase de diseño y de validación del CFCAY. Los participantes del estudio fueron 156 yaquis, hombres y mujeres no embarazadas de 20 años o más. Para la fase de diseño, en agosto de 2016 se invitó a participar a yaquis (n = 60) de dos comunidades urbanas (Vícam Estación y Pótam) y 7 rurales (Loma de Guamúchil, Loma de Bácum, Tórim, Vícam Pueblo, Casas Blancas, Ráhum y Belem). La selección fue proporcional a la población adulta de cada comunidad utilizando información del Instituto Nacional de Estadística y Geografía (INEGI, 2010). Durante la fase de validación, en julio y agosto de 2017, participaron 96 adultos yaquis de cinco de las comunidades antes mencionadas. El reclutamiento de los participantes y la aplicación de los cuestionarios se realizaron en su domicilio.
Diseño del CFCAY
Recordatorio de 24 horas
El CFCAY se diseñó a partir de dos recordatorios de 24 horas (R24Hrs) no consecutivos, aplicados en las comunidades yaquis por tres profesionales de salud previamente entrenados en la aplicación de esta herramienta. Durante el entrenamiento los entrevistadores se familiarizaron con los utensilios de cocinas yaquis, lo cual permitió una selección más apropiada de los modelos de alimentos que se utilizarían durante la aplicación de las herramientas dietarias.
A cada participante se le aplicó dos veces el R24Hrs con un margen de cuatro semanas entre una y otra entrevista (INCAP, 2006; Sanjur & Rodríguez, 1997). Durante la aplicación de los R24Hrs se registraron los alimentos y bebidas consumidos el día anterior (porción, fuente, marca y receta). Para ayudar al entrevistado a recordar la cantidad de alimentos consumidos se utilizaron réplicas de goma y cartón, envases de alimentos, utensilios de cocina y otros modelos de alimentos creados para este trabajo, según lo observado en la fase de entrenamiento.
Recetas y peso de las porciones de alimentos
Las recetas de alimentos se solicitaban durante la aplicación de los R24Hrs; en ocasiones fue necesario realizar entrevistas exclusivas sobre algunas recetas y la preparación de platillos particulares de la comunidad. El peso de las porciones de alimentos se obtuvo por medio del “Listado de Pesos de Alimentos” del Centro de Investigación en Alimentación y Desarrollo (CIAD). Aquellos alimentos que no se encontraban en el listado fueron pesados durante las entrevistas exclusivas para la obtención de las recetas. En el caso de platillos mixtos se pesó el platillo completo y cada uno de sus componentes para una mejor cuantificación del alimento consumido. Los pesos se obtuvieron utilizando una balanza electrónica (Tanita KD-407).
Ingesta dietaria y base de datos de composición de alimentos
Con la información obtenida mediante los R24Hrs y siguiendo la metodología de Ortega, Quizán, Morales & Preciado (1999) se estimó la ingesta dietara de energía y nutrientes de interés: carbohidratos, fibra, grasa total, proteína, potasio y sodio. Se utilizó la base de datos de composición de alimentos del CIAD, la cual fue previamente actualizada al incorporarle el valor nutrimental de platillos tradicionales yaquis y otros alimentos identificados durante la aplicación de los dos R24Hrs.
Listado de alimentos incluidos en el CFCAY
Para seleccionar el listado de los alimentos que formaron CFCAY se utilizaron los datos de la ingesta dietaria promedio de los dos R24Hrs, siguiendo la metodología de Block et al. (1986). Además, al igual que en el diseño de otros instrumentos dietarios (Sharma et al., 2007; 2010), el listado fue enriquecido con platillos tradicionales de la etnia yaqui que no fueron seleccionados con la técnica de Block et al. (1986). Del mismo modo, dado que se tiene el interés por utilizar el CFCAY para estudiar la asociación de la dieta con obesidad e hipertensión se incorporaron al listado alimentos relacionados con ambas enfermedades (Denova-Gutiérrez et al., 2016). Por último, se agregaron alimentos que los participantes de dos grupos focales consideraron relevantes (Sharma et al., 2007; 2010). El listado de alimentos fue organizado en grupos de alimentos con base en el Sistema Mexicano de Alimentos Equivalentes y un CFCA para población mexicana (Pérez, Palacios, Castro & Flores, 2014; Ramírez-Silva et al., 2016).
Tamaño de porciones de alimentos incluidos en el CFCAY
Para cada alimento incluido en el listado del CFCAY, se calculó la media de los gramos de alimento consumido según los dos R24Hrs. El valor obtenido en el cálculo de la media correspondió a la porción estándar indicada en el cuestionario. Los tamaños de porción pequeña y grande se definieron como 0.25 y 0.75 respecto a la estándar (Willet et al., 1985).
Validación del listado y porciones de alimentos por grupo focal
Considerando lo indicado sobre el desarrollo de CFCAs para poblaciones indígenas (Sharma et al., 2007; 2010; 2011) se realizaron dos grupos focales en las comunidades de Loma de Guamúchil y Belem con el fin de validar el listado preliminar de alimentos y el tamaño de las porciones. Los grupos fueron de seis personas, participando en total diez mujeres y dos hombres. Se discutió sobre la pertinencia de cada uno de los alimentos del listado y la necesidad de agregar otros que fuesen de consumo habitual por la comunidad. También se revisaron las porciones estándar de los alimentos incluidos en el listado. La información de los grupos focales (grabaciones de audio) fue analizada por los autores, cuidando de distinguir el consenso de los grupos de las opiniones individuales (Escobar & Bonilla-Jiménez, 2009).
Frecuencia de Consumo de Alimentos
El tiempo para considerar la ingesta habitual y las frecuencias de consumo se establecieron según lo indicado por Block et al. (1986).
Validación del CFCAY
Para la validación del CFCAY, dos nutriólogos previamente entrenados llevaron a cabo la aplicación de este instrumento dietario. Durante las entrevistas se utilizaron réplicas de alimentos y utensilios de cocina, seleccionados durante la fase de diseño del CFCAY, facilitando al entrevistado determinar la porción del alimento consumido. Después una semana se aplicó un R24Hrs a los mismos participantes. Para ambos cuestionarios se calculó el consumo de energía, carbohidratos, fibra, grasa total, proteínas, potasio y sodio (Ortega et al., 1999) utilizando la base de datos del CIAD actualizada para este estudio. Los resultados obtenidos por el R24Hrs se usaron como valor de referencia y se compararon, por medio de pruebas estadísticas, con los resultados obtenidos por el CFCAY.
Encuesta adicional
Para caracterizar la población de estudio, a cada participante se les aplicó un cuestionario de historia clínica y sociodemográfico, adaptado de Urquidez et al. (2014). También se realizaron mediciones de peso, utilizando una báscula digital con capacidad de 150 Kg ± 50 g (SECA 813); talla, por medio de un estadiómetro portátil (SECA, 213) y circunferencia de la cintura utilizando una cinta antropométrica con escala de 0 cm a 150 cm (Gülick) (Sociedad Internacional para el Avance de la Cineantropometría, 2001).
Consideraciones éticas
El protocolo fue aprobado por el Comité de Ética del CIAD. Además, el proyecto fue presentado y aceptado por las autoridades yaquis de cada localidad. Todos los participantes recibieron información completa sobre el proyecto y firmaron la forma de consentimiento informado.
Análisis estadístico
Se utilizó estadística descriptiva para describir las características antropométricas y sociodemográficas de los participantes en el estudio. Se calcularon los porcentajes para las variables categóricas y medias con desviaciones estándar para variables continuas.
Se determinó la media y mediana del consumo de energía (kcal/d) carbohidratos (g/d), fibra (g/d), grasa total (g/d), proteína (g/d), potasio (mg/d) y sodio (mg/d) obtenidos por el R24Hrs y el CFCAY aplicados en la fase de validación, las diferencias de ingesta de nutrientes entre ambos cuestionarios se obtuvieron mediante la prueba t-pareada.
La validación del CFCA se estimó a través del coeficiente correlación de Pearson (r), entre la ingesta de nutrientes estimada en la CFCAY y la ingesta estimada por el R24Hrs. También se utilizó el coeficiente de correlación intraclase (CI), para lo cual los datos se ajustaron para energía siguiendo el método residual (Willet, Howe & Kushi, 1997). El grado de relación fue definido como pobre (<0.2), aceptable (0.2 - 0.49) y buena (≥0.5) (Lombard, Steyn, Charlton & Senekal, 2015).
La concordancia entre ambos métodos de medición (CFCAY y R24Hrs) también se evaluó utilizando el gráfico de Bland-Altman para la ingesta de energía (kcal/d) y macronutrimentos (g/d). En la gráfica se muestran las medias de las diferencias entre ambos métodos (sesgo) y los límites de concordancia (LC). El porcentaje de errores fuera de los LC se estimó contando los valores individuales y calculando su expresión porcentual en relación con la población total analizada por grupo.
Adicionalmente se calcularon terciles del consumo de energía y nutrientes de ambos métodos dietarios (CFCAY y R24Hrs) para llevar a cabo el análisis de clasificación (Lombard et al., 2015), previo a esto los datos se ajustaron para energía siguiendo el método residual (Willet et al., 1997). Antes de realizar todos los análisis indicados se llevó a cabo una transformación logarítmica de los datos.
Se utilizó el software estadístico Stata versión 14 (StataCorp., 2015). La significancia estadística se consideró en un valor de p < 0.05.
Resultados
Un total de 156 sujetos de nueve localidades yaquis participaron en este estudio, 60 para la fase de diseño del CFCAY y 96 para la fase de su validación. En la Tabla 1 se indican las características de los participantes.
Tabla 1 Características antropométricas y sociodemográficas de los participantes en el diseño y validación del cuestionario de frecuencia de consumo yaqui
| Fase | ||
| Diseño (n=60) | Validación (n=96) | |
| Media ± DE | Media ± DE | |
| Edad (años)* | 45.4 ± 14.2 | 42.8 ± 13.7 |
| Peso (kg)* | 74.2 ± 13.7 | 75.2 ± 17.4 |
| Talla (m)* | 1.6 ± 0.08 | 1.6 ± 0.1 |
| IMC (kg/m2)* | 28.8 ± 5.4 | 28.2 ± 6.3 |
| Circunferencia de la cintura (cm)* | 97.2 ± 11.8 | 96.7 ± 14.4 |
| n (%) | n (%) | |
| Hombres* | 15 (25) | 43 (47.8) |
| Mujeres* | 45(75) | 53 (55.2) |
| Áreaⱡ | ||
| Urbana | 32 (53.3) | 85 (88.6) |
| Rural | 28 (46.7) | 11 (11.4) |
| Sabe leer y escribirⱡ (si) | 48 (80) | 84 (87.5) |
| Escolaridadⱡ | ||
| Primaria | 11(18.3) | 36 (37.5) |
| Secundaria | 14 (23.3) | 29 (30.2) |
| Preparatoria | 15 (25) | 18 (18.8) |
| Universidad | 0.0 | 7 (7.3) |
| Condición de saludⱡ | ||
| Sobrepeso | 17 (28.8) | 30 (32.3) |
| Obesidad | 25(42.3) | 33 (35.4) |
| Obesidad central | 50 (83.3) | 77 (80.2) |
| Diabetes previa | 9 (15) | 10 (10.4) |
| Hipertensión previa | 10 (10.7) | 13 (13.5) |
| Fuma (si) ⱡ | 5 (8.5) | 23 (23.9) |
IMC: índice de masa corporal *Reportado como media y desviación estándar. ⱡ Reportado como n (%).
Fuente: Elaboración propia
Diseño del CFCAY
Recetas y pesos de porciones
Durante la aplicación de los dos R24Hrs utilizados en la fase de diseño, se obtuvieron las recetas de nueve platillos así como su composición nutrimental (frijol con hueso, empanada de calabaza, repollo guisado y otros). Se determinó el peso de 16 alimentos que no se tenían registrados (tortillas de harina yaqui, gordita con asiento, caldillo de machaca, etc.).
Listado de alimentos incluidos en el CFCAY
De 228 alimentos indicados en los R24Hrs, aplicados en la fase de diseño, se seleccionaron 68 que aportaron el 90% del consumo de energía y nutrientes de interés (la Tabla 2 indica los diez principales alimentos de mayor contribución relativa de energía y macronutrientes). Además, al listado se le anexaron siete alimentos tradicionales de las comunidades yaquis y 21 alimentos relacionados con obesidad o hipertensión. Como resultado de los grupos focales, al listado anterior se le sumaron 27 alimentos y se eliminaron seis de la lista previa.
Tabla 2 Diez principales alimentos de mayor contribución relativa de energía y macronutrientes de población indígena yaqui participantes en el diseño del cuestionario de frecuencia de consumo
| Energía | Carbohidratos | Grasa total | Proteína | ||||
| Alimento | %C* | Alimento | %C** | Alimento | %C ** | Alimento | %C ** |
| Tortilla de trigo | 17.1 | Tortilla de trigo | 18.0 | Tortilla de trigo | 20.2 | Tortilla de harina | 12.2 |
| Tostada | 16.1 | Tostada | 15.6 | Tostada | 19.7 | Tortilla de maíz | 8.6 |
| Tortilla de maíz | 10.4 | Tortilla de maíz | 15.5 | Papas fritas | 7.4 | Frijoles de la olla | 8.0 |
| Frijoles fritos | 5.3 | Bebida carbonatada | 6.6 | Frijoles guisados | 5.9 | Tostada | 7.2 |
| Bebidas carbonatadas | 3.8 | Frijoles fritos | 4.5 | Huevos fritos | 4.5 | Pollo | 6.9 |
| Frijoles guisados | 3.5 | Agua de horchata y cebada | 2.2 | Chorizo de cerdo | 4.0 | Huevos fritos | 5.9 |
| Huevos fritos | 2.2 | Sopa de pasta | 2.2 | Frijoles fritos | 2.4 | Frijoles guisados | 5.0 |
| Frijoles de la olla | 2.0 | Mango | 2.0 | Salchicha de pavo | 2.4 | Chorizo de puerco | 3.4 |
| Sopa de pasta | 1.8 | Azúcar | 1.9 | Mayonesa | 1.7 | Salchicha de pavo | 2.4 |
| Chorizo de cerdo | 1.7 | Frijoles de la olla | 1.9 | Tostadas | 1.7 | Queso fresco | 2.0 |
*Porcentaje de contribución = 100 X (kcal/d de energía total aportadas por el alimento/ kcal/d de energía total aportadas por todos los alimentos)
** Porcentaje de contribución = 100 X (g/d de nutriente aportados por el alimento/ g/d de nutriente aportados por todos los alimentos)
Fuente: Elaboración propia
Para evitar un CFCAY demasiado extenso se incluyeron 19 preguntas sobre las características de algunos alimentos en lugar de colocar otro ítem del mismo alimento con alguna variante (por ejemplo, leche entera, leche baja en grasa). Esto permitió prescindir de 19 ítems y minimizar el cansancio del entrevistado. Finalmente, el número de alimentos que conformaron el CFCAY fue de 123, distribuidos en 13 grupos de alimentos (Tabla 3).
Tabla 3 Listado de grupos de alimentos y bebidas de acuerdo con el cuestionario de frecuencia de consumo de alimentos yaqui
| Grupo | Alimentos y Bebidas |
| 1.Frutas | Guayaba, mango, plátano, naranja, pitahaya*, melón, tuna**, yomomoⱡ, sandía, papaya, manzana, mandarina, toronja, uva, pera, igualamaᴪ |
| 2.Verduras | Zanahoria, quelite§, acelga, calabaza, apio, nopal, ejotes, pepino, elote, cebolla cambray, chile jalapeño enlatado, elote enlatado, verdura en lata, salsa casera (chile, tomate, cebolla) |
| 3.Cereales y papas | Sopa de arroz, arroz a vapor, sopa de fideo, sopa instantánea, papa cocida, papa frita, pan torcido€, pan blanco, galletas saladas, cereal para desayuno, avena |
| 4.Leguminosas | Frijoles de la olla, frijoles guisados, frijoles refritos, frijol en lata, lentejas en caldo, caldo de garbanzo, soya |
| 5.Tortillas | Tortilla de maíz, tortilla de trigo, tostada |
| 6.Carne,
productos cárnicos y huevos |
Pollo, chorizo, salchicha, bolonia, jamón, huevos guisados, huevo con chorizo, huevo con salchicha, huevo con bolonia, huevo con jamón |
| 7.Lácteos | Leche, queso fresco, queso seco |
| 8.Pescados y mariscos | Pescado frito, caldo de pescado, ceviche de pescado, camarón, sardina, atún |
| 9.Platillos | Caldo de queso, frijol con hueso, wakabaki∞, cabeza, gallina pintaμ, pozole, caldo de pollo, caldo de albóndigas, caldillo de machacaμ, birria¥, barbacoa~, carne con chile, chicharrones¢, chorizo con papas, machaca con papas, repollo guisado, tamal de elote, tamal de carne, tamal de frijol, gorditas con asientos¶. |
| 10.Comida rápida | Hot dog, piza, hamburguesa |
| 11.Botanas dulces
y saladas |
Frituras, palomitas de microondas, nachos¤, verduro-chalupa|, coricosŦ, empanada ƚ con cajeta, empanada de calabaza, pan dulce, galletas industrializadas, pastelillos industrializados, hielitosƢ |
| 12.Bebidas | Café, refresco normal, bebida endulzada industrializada, néctar de fruta, limonada, agua de cebada-horchata, atole de maíz, atole de bledo, cerveza, tequila |
| 13.Misceláneos | Mayonesa, aderezo, salsa de soya, salsa embotellada, cátsup, mantequilla, jugo de mariscos |
* Fruto de la pitahaya, planta cactácea
** Fruta del Nopal ⱡ Tipo de ciruela
ᴪFruto del árbol igualama.
§ Especies herbáceas comestibles
€ Pan de harina de trigo, de forma ovalada, no dulce.
∞Plato típico yaqui: caldo de res con repollo, calabaza, ejotes, zanahoria y elote
μ Caldo de frijol y maíz, se le agregan quelites
£ Caldo con carne de res seca y papas.
¥ Platillo a base de carne de chivo, res o cerdo
~ Platillo basado en carne de res o cerdo con papas y zanahorias
¢ Carne de cerdo grasosa freída
¶ Tortilla de maíz gruesa con el sedimento de manteca que se utiliza en la preparación de chicharrones
¤ Tostadas de maíz pequeñas con queso amarillo
| Fritura de harina de trigo con crema, repollo y tomate
Ŧ Galletas dulces de maíz
ƚ Masa horneada de harina o maíz, en forma de media luna rellena (con calabaza o cajeta)
Ƣ Postre congelado hecho de frutas naturales o sabores artificiales, con leche o agua, se agrega azúcar. Se vierte en una bolsa de plástico y se congela.
Fuente: Elaboración propia
Al final del cuestionario se incluyeron tres casillas para contemplar algún alimento no identificado en el listado del CFCAY y que el entrevistado considerara como parte importante de sus hábitos alimentarios. También se incluyeron preguntas abiertas sobre el consumo de sal y de suplementos.
Tamaño de porciones de alimentos incluidos en el CFCAY.
Para cada uno de los alimentos incluidos en el CFCAY se consideraron tres tamaños de porción, las cuales fueron chica, mediana y grande, según lo considerado por Willet et al. (1985).
Frecuencia de consumo de alimentos
El CFCAY fue diseñado para estimar la dieta en un período de 12 meses previos a su aplicación. La frecuencia de consumo de los alimentos se definió en cinco categorías: diario, semanal, mensual, anual y rara vez; donde el entrevistado indica el número de veces que consume el alimento.
Validación del CFCAY
Con relación a la fase de validación, en la Tabla 4 se indican los valores para la media y mediana de la ingesta de energía y nutrientes de interés obtenidos a través del CFCAY y el R24Hrs. Las medias obtenidas por el CFCAY para el consumo de energía y todos los nutrientes evaluados fueron significativamente mayores (prueba realizada con valores transformados logarítmicamente) en comparación con el R24Hrs. La determinación del consumo de energía por el CFCAY fue mayor en 730 kcal/d en comparación con el obtenido con R24Hrs (p = 0.001) y entre los nutrientes la mayor diferencia entre el CFCAY y el R24Hrs se observó en los carbohidratos (p = 0.001). Cuando el análisis se realizó sin transformar logarítmicamente los valores de la ingesta (gráfico de Bland-Altman) se observó el mismo comportamiento.
Tabla 4 Ingesta diaria de energía y nutrientes estimada por el recordatorio de 24 horas y el cuestionario de frecuencia de consumo de alimentos yaqui
| Variables Dietarias | R24hrs | CFCAY | ||
| Mediaⱡ | Mediana* | Media | Mediana | |
| Energía (kcal/d) | 2178a ± 1231 | 1985 (1329-2750) | 2909b ± 1383 | 2721 (1866-3843) |
| Carbohidratos (g/d) | 316.7a ± 169.3 | 289.2 (207.0-393.8) | 430.8b ± 201.1 | 394.5 (292.3-579.3) |
| Fibra(g/d) | 34.6a ± 23.4 | 29.4 8 (17.5-45.7) | 47.3b ± 20.3 | 45.5 (32.1- 61.6) |
| Grasa total (g/d) | 80.3a ± 55.7 | 70.0 (42.5-99.4) | 101.8b ± 57.9 | 87.5 (56.8-143.0) |
| Proteína (g/d) | 64.5a ± 43.5 | 54.2 (38.6-79.4) | 87.8b ± 40.1 | 80.3 (58.7-113.9) |
| Potasio (mg/d) | 2070a ± 1402 | 1736 (1203-2417) | 3534b ± 1919 | 3162 (2109-4660) |
| Sodio (mg/d) | 2931a ± 2027 | 2493(1825-3766) | 3255b ± 1464 | 2998 (2282-4007) |
ⱡMedia y desviación estándar, diferente subíndice por renglón indica diferencia significativa por prueba t-pareada (análisis con valores transformados logarítmicamente).
*Mediana e intervalo intercuartil.
Fuente: Elaboración propia.
En la Tabla 5 se muestran los datos de validación del CFCAY con respecto al R24Hrs. El coeficiente de r para la ingesta de energía fue de 0.56 y para el consumo de los nutrientes este coeficiente varió de 0.23 (potasio) a 0.50 (proteínas y grasa total). El coeficiente de CI para energía fue de 0.65 y para nutrientes el rango estuvo entre 0.27 (sodio) a 0.63 (grasa total). Cuando los datos fueron ajustados por energía los valores para el coeficiente de CI disminuyeron para todos los nutrientes.
Tabla 5 Coeficientes de correlación de Pearson e intraclase para energía y nutrientes estimados por recordatorio de 24 horas y el cuestionario de frecuencia de consumo de alimentos yaqui
| Variables Dietariasⱡ | r | CI no ajustada | CI ajustada § |
| Energía (kcal/d) | 0.56* | 0.65* | |
| Carbohidratos (g/d) | 0.44* | 0.54* | -0.07 |
| Fibra(g/d) | 0.22** | 0.28** | 0.21 |
| Grasa total (g/d) | 0.50* | 0.63* | -0.24 |
| Proteína (g/d) | 0.50* | 0.58* | 0.31** |
| Potasio (mg/d) | 0.23** | 0.36** | -0.21 |
| Sodio (mg/d) | 0.25** | 0.27** | -0.23 |
r: Correlación de Pearson. CI: Correlación intraclase. * P-valor < 0.00001. ** P-valor < 0.05. ⱡTodas las variables fueron transformadas logarítmicamente. § La correlación ajustada a la energía entre los métodos dietarios utiliza los residuos de la regresión de cada nutriente y las calorías totales (Willet et al., 1997).
Fuente: Elaboración propia.
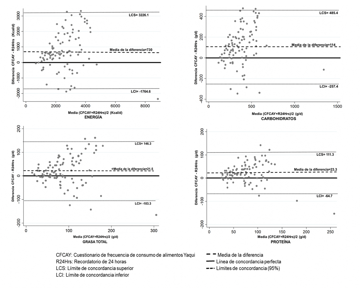
El gráfico de Bland-Altman (Figura 1) muestra la media de las diferencias entre los dos métodos y los LC para energía, carbohidratos, grasa total y proteína. Como se explicó en la Tabla 4 la media de la diferencia fue positiva, lo que indica que en promedio el CFCAY estimó valores más altos para energía y los nutrientes comparado con lo estimado por el R24Hrs (media de la diferencia o sesgo: energía [kcal/d] = 730, carbohidratos [gr/d] =114, grasa total [gr/d] = 21.5 y proteína [gr/d] = 23.3). Los LC para energía se encontraron entre 3326 kcal/d y -1765 kcal/d y para los macronutrientes el rango más amplio se observó en carbohidratos. El porcentaje de error fue 5% para energía, carbohidratos y proteína y de 3% para grasa total.

Fuente: Elaboración propia.
Figura 1 Gráfico de Bland y Altman. Concordancia entre la ingesta de energía (kcal/d) y macronutrientes (g/d) evaluados con el recordatorio de 24 horas y el cuestionario de frecuencia de consumo de alimentos yaqui.
De acuerdo con el análisis de clasificación cruzada (Tabla 6), la proporción de participantes clasificados en el mismo tercil de nutrientes varió de 27.1% (carbohidratos) a 37.5% (proteínas), mientras que para energía total el valor fue 50%. El porcentaje de participantes clasificados en el tercil opuesto presentó un rango de 18.7% (proteína) a 31% (carbohidratos), el valor para energía fue 8.3%.
Tabla 6 Análisis de clasificación en terciles de la ingesta de energía y nutrientes ajustados por energía estimados por recordatorio de 24 horas y el cuestionario de frecuencia de consumo de alimentos yaqui
| Variables Dietariasⱡ | Clasificados en el mismo tercil (%) |
Clasificados en el tercil opuesto (%) |
| Energía (kcal/d) | 50.0 | 8.3 |
| Carbohidratos (g/d) | 20.8 | 29.1 |
| Fibra(g/d) | 33.3 | 25 |
| Grasa total (g/d) | 30.2 | 23.9 |
| Proteína (g/d) | 37.5 | 18.7 |
| Potasio (mg/d) | 31.25 | 22.9 |
| Sodio (mg/d) | 29.17 | 27.1 |
Fuente: Elaboración propia.
Discusión
En el presente estudio se diseñó y validó un instrumento para adultos yaquis, el cual permitirá evaluar la ingesta dietaria habitual de esta población. El CFCAY representa un aporte para futuros estudios en esta población indígena. Las encuestas nacionales de salud realizadas en México evalúan la dieta de la población, pero no la de grupos indígenas (Gutierrez et al., 2012; Shamah-Levy, Cuevas-Nasu, Rivera-Dommarco & Hernández Ávila, 2016) quienes podrían presentar un patrón de consumo diferente (Sharma, 2011)
La metodología aplicada para el diseño del CFCAY se basa en el diseño del cuestionario de Block et al. (1986), que ha sido uno de los modelos a seguir en el diseño de instrumentos de evaluación dietaria. Además, dicha metodología se combinó con la descrita en el diseño de otros cuestionarios incluyendo CFCAs para población indígena (Willet et al., 1985; Kolahdooz, Simeon, Ferguson & Sharma, 2014; Ramírez-Silva et al., 2016; Sharma et al., 2007). La armonización de estas metodologías resultó complementaria para el diseño del CFCAY.
A diferencia de otros estudios (Sharma et al., 2007; Sheehy, Kolahdooz, Mtshali, Khamis & Sharma, 2013) la aplicación de dos R24Hrs no consecutivos para el diseño del cuestionario permite considerar la variación intra-individual en la ingesta diaria de nutrientes. Lo anterior también permite considerar la variación por el día de la semana (Sanjur & Rodríguez, 1997) ya que los R24Hrs se aplicaron tanto en días laborables como no laborables.
Aunque es poco probable que la aplicación de dos R24Hrs sea suficiente para identificar todos los alimentos consumidos por la población yaqui, considerando además la variación estacional, esto fue compensado por los alimentos derivados de los grupos focales. Durante estas reuniones los indígenas indicaron la necesidad de incorporar otros alimentos al CFCAY incluyendo frutas de temporada. Por otro lado, el CFCAY contempla un espacio para incluir alimentos no especificados en el listado.
Los alimentos incluidos en el CFCAY fueron 123, valor menor al indicado en otros estudios (Kolahdooz et al., 2014; Ramírez et al., 2012; Sharma et al., 2007; 2010) y mayor a otros (Sheehy et al., 2013), esto se debe a la metodología empleada para la elección de los alimentos. En el caso de CFCAs para apaches y navajos el listado de alimentos es mayor al del presente estudio y se explica debido a que los investigadores incluyeron todos los alimentos que fueron mencionados dos veces o más en los R24Hrs (Sharma et al., 2007; 2010). Asimismo, se debe considerar que el número de alimentos incluidos en un CFCA es propio para cada comunidad y depende de la diversidad de la dieta (Pérez-Rodrigo et al., 2015; Sharma, 2011; Shim et al., 2014).
Debido a que un CFCA muy extenso tiende a sobreestimar el consumo (INCAP, 2006) y a causar un sobreesfuerzo en el entrevistado, se ha recomendado un máximo de 130 alimentos (Willet, 2013). Para evitar que el CFCAY fuera demasiado largo se incluyeron 19 preguntas para especificar el tipo de alimento consumido en lugar de incluir otro ítem del alimento con alguna variación, dicha estrategia también se empleó en el CFCA para población mexicana (Ramírez-Silva et al., 2016).
En el CFCAY se incluyeron platillos mixtos debido a que podría ser más sencillo para el entrevistado recordar la porción consumida del platillo completo que la cantidad consumida de cada ingrediente de dicho platillo. Para evitar que la inclusión platillos mixtos sobrestimara el consumo de cada ingrediente o alimento individual se incluyó una nota enseguida del alimento individual que indicaba “no consumido en______” mostrando el nombre del platillo mixto. Lo anterior, también se ha realizado en el diseño de otro cuestionario (Stram et al., 2000).
La determinación de la porción estándar de los alimentos en un CFCA es de gran relevancia ya que esta podría variar entre grupos poblacionales como las comunidades indígenas (Sharma, 2011). En el CFCAY se utilizó una técnica estadística para la obtención de la porción estándar, lo cual posibilitará una mejor cuantificación del consumo de alimentos y nutrientes. Aunado a lo anterior, durante la aplicación de los R24Hrs de la fase de diseño, se identificaron utensilios de cocina de la población yaqui, lo cual ayudó a seleccionar con mayor veracidad las réplicas de alimentos que representarían a la porción estándar en la aplicación de los CFCAY.
El período de referencia del CFCAY es de 12 meses a diferencia de otros CFCAs, cuyo período es menor (Kolahdooz et al., 2014; Ramírez Silva et al., 2016; Sheehy et al., 2013). Lo anterior permitirá evaluar la dieta de la población yaqui a lo largo de un año con una sola aplicación del CFCAY, siendo una ventaja sobre instrumentos como el R24Hrs. Por otro lado, la facilidad de que el entrevistado elija una de cinco categorías de frecuencia para indicar el consumo del alimento reflejará mejor sus hábitos alimenticios que con menos categorías.
El presente estudio evaluó la validez del CFCAY respecto a la técnica de R24Hhrs comparando el consumo diario de energía y nutrientes obtenido por cada metodología. La ingesta de energía, macronutrientes y micronutrientes derivada del CFCAY fue más alta que la obtenida por el método de referencia (R24Hrs), situación que se reporta en la mayoría de los estudios de validación (Denova-Gutiérrez et al., 2016; Verger et al., 2017; Villena-Esponera et al., 2017).
El valor promedio del coeficiente de r para la ingesta de energía y nutrientes entre CFCAY y el R24Hrs fue de 0.38, valor similar al reportado por Denova-Gutiérrez et al. (2016) en la validación del CFCA para población mexicana. Las correlaciones obtenidas para energía, carbohidratos, fibra, grasa total, proteína, potasio y sodio se consideran de aceptables a buenas (Lombard et al., 2015). Comparando con el CFCA aplicado en la ENSANUT 2012 (Denova-Gutiérrez et al., 2016), los coeficientes de r para energía, carbohidratos, grasa total y proteína fueron mayores en el presente estudio; mientras que el coeficiente de r para fibra fue menor.
Los coeficientes de CI obtenidos para todos los nutrientes fueron superiores a los de r pero mantuvieron el mismo comportamiento (correlaciones de aceptables a buenas) (Lombard et al., 2015). Los valores derivados en el presente trabajo para CI fueron mayores a los indicados por Hernández-Avila et al. (1998) en la validación de un CFCA en mujeres mexicanas. Los coeficientes de CI también fueron calculados con datos ajustados por la energía, al igual que en otros estudios (Verter et al., 2017; Villena-Esponera et al., 2017), los valores obtenidos fueron menores a los no ajustados.
Los gráficos de Bland-Altman indicaron que el CFCAY determina valores más altos en el consumo de energía y macronutrientes que el R24Hrs. En cuanto a los errores fuera de los LC, los resultados obtenidos son similares a otros estudios donde un bajo porcentaje de valores se observa fuera de los LC (Denova-Gutiérrez et al., 2016; Villena-Esponera et al., 2017).
Respecto al análisis de clasificación cruzada aproximadamente el 30% y 50% de los participantes con relación a los nutrientes y energía, respectivamente, se clasificaron en la misma categoría de tercil tanto con el CFCAY y el R24Hrs. Comparando con lo reportado por Denova-Gutiérrez et al. (2016), el resultado obtenido en este trabajo para energía fue mayor, similar para proteína y menor para carbohidratos, fibra y grasa total. Con relación al porcentaje de clasificación errónea (tercil opuesto), a excepción de energía, todos fueron mayores al 10%, valor mayor al recomendado (Lombard et al., 2015).
En el presente estudio hay algunas limitaciones como que el CFCAY no se diseñara para un mayor número de nutrientes. Respecto a la validación, no se utilizaron biomarcadores, que son aceptados como el estándar de oro para la validación del CFCA; sin embargo, la mayoría de los estudios, como el presente, han utilizado el R24Hrs como método de referencia. Por último, en este estudio no se incluye la evaluación de la reproducibilidad del CFCAY.
Conclusiones
Se diseñó y validó un CFCA para población adulta yaqui, este instrumento podrá ser utilizado en estudios que tengan como objetivo evaluar la dieta de los indígenas yaquis, identificar patrones dietarios, monitorear la transición de su alimentación y el estudio de la asociación dieta-enfermedad. Es importante mencionar que se deben hacer esfuerzos para incluir la validación del consumo de otros nutrientes y evaluar su reproducibilidad.










nueva página del texto (beta)


