Servicios Personalizados
Revista
Articulo
Indicadores
-
Citado por SciELO -
Accesos
Links relacionados
-
Similares en
SciELO
Compartir
Revista internacional de contaminación ambiental
versión impresa ISSN 0188-4999
Rev. Int. Contam. Ambient vol.23 no.1 Ciudad de México ene./mar. 2007
ATENUACIÓN NATURAL EN EL ACUÍFERO YUCATECO
Natural attenuation in the aquifer of Yucatán
Roger GONZÁLEZ HERRERA1, Ramiro RODRÍGUEZ CASTILLO2 y Víctor CORONADO PERAZA1
1Universidad Autónoma de Yucatán. Facultad de Ingeniería. Av. Industrias Nocontaminantes x Periférico Norte.
Tablaje Catastral 12685, Mérida, 97111, Yucatán, México. Correo electrónico: gherrera@uady.mx
2Universidad Nacional Autónoma de México. Instituto de Geofísica. Departamento de Recursos Naturales.
Ciudad Universitaria. Circuito Investigación. Coyoacán 04510, D.F., México.
(Recibido agosto 2006, aceptado noviembre 2006)
RESUMEN
La atenuación natural significa dilución, dispersión, (bio)degradación, adsorción irreversible y/o decaimiento radiactivo de contaminantes en suelos y aguas subterráneas. La atenuación natural provoca reducción en la toxicidad de los contaminantes y en el riesgo humano y ecológico, pero rara vez se toma ventaja de ella cuando se trata de remediación de acuíferos. Se han llevado a cabo estudios en el basurero municipal de la ciudad de Mérida, Yucatán, México, para conocer el comportamiento de la contaminación del agua subterránea afectada por los lixiviados de los desechos domiciliaros que se depositaban en el lugar, el cual no cuenta con recubrimiento impermeable en la base. Al cerrarse el sitio, en abril de 1998, se implemento un programa con la finalidad de identificar mecanismos de atenuación de contaminantes en el acuífero kárstico local cuyo nivel freático se encuentra a escasos cinco metros debajo del nivel del terreno. Este programa da como resultado una metodología para identificar si el monitoreo de la atenuación natural es efectivo o no en este ambiente. Se identificó una pluma de contaminantes en el sentido del flujo del agua subterránea la cual se extiende menos de un kilómetro. Con base a un análisis estadístico se confirma que se está dando un proceso de atenuación de la contaminación.
Palabras clave: aguas subterráneas, contaminación, atenuación natural, karst, Yucatán
ABSTRACT
Natural attenuation means dilution, dispersion, (bio)degradation, irreversible adsorption and/or radioactive decay of contaminants in soils and groundwater. It causes a reduction in contaminant toxicity and decreases human and ecological risk. Nevertheless these mechanisms are rarely used for the remediation of contaminated aquifers. Natural attenuation was characterized in situ at the municipal waste disposal site in Mérida, Yucatán, México. The closed dumpsite does not count with a bottom liner system causing migration of leachate to the local karstic aquifer. When it was closed, in April 1998, a program was implemented to identify attenuation mechanisms of contaminants infiltrated in the shallow groundwater table located five meters below ground level. This program results in a methodology helping to identify whether or not natural attenuation is effective in this karstic system. A contaminant plume was identified in the direction of groundwater flow whose extension was less than one kilometer. Based on a statistical analysis it was confirmed that a contaminant attenuation process was under way.
Key words: groundwaters, contamination, natural attenuation, karst, Yucatán
INTRODUCCIÓN
La atenuación de contaminantes conforme viajan a través de la zona de suelo (cuando ésta existe), la zona no saturada y la zona saturada son afectadas por una variedad de reacciones químicas y procesos biológicos y físicos que ocurren en la naturaleza que con frecuencia hacen que el contaminante cambie su estado físico o forma química (Baun et al. 2003, Brady et al. 2003). Las reacciones y los procesos principales incluyen a procesos geoquímicos (tales como absorción/desabsorción, solución/precipitación y oxidación/reducción); procesos físicos (advección, dispersión y difusión); procesos bioquímicos (descomposición orgánica y síntesis celular) y procesos biofísicos (filtración y transporte de patógenos).
La ocurrencia e intensidad de estos procesos varían en el subsuelo (Julian et al. 2001). La zona de suelo, cuando está presente, tiene la mayor variedad y magnitud de procesos naturales, principalmente en la zona de raíz donde se desintegran una gran cantidad de compuestos químicos por la actividad de los microorganismos, por procesos químicos y físicos y por la actividad de las plantas. La zona no saturada juega por lo general un papel muy importante al retardar la llegada de los contaminantes al nivel freático.
Según Ford y Williams (1989), los acuíferos kársticos no son muy efectivos para atenuar los contaminantes presentes en el subsuelo porque no tienen la capacidad de autotratamiento encontrada en otro tipo de acuíferos. Las cinco limitantes de la atenuación que se supone afectan mucho al transporte y a la descarga de contaminantes son: (1) Área superficial significativamente restringida para la adsorción, para el intercambio iónico o para la colonización por microorganismos. (2) Infiltración rápida del agua y de los contaminantes. (3) Transporte rápido de los contaminantes a través de la cubierta de suelo, típicamente delgada, y las oquedades. (4) Regímenes de flujo turbulento, asociados con el flujo muy rápido, promueven el transporte de contaminantes. (5) Tiempo insuficiente, debido a la velocidad del flujo, para que los mecanismos de eliminación, que son dependientes del tiempo, actúen en los contaminantes.
Sin embargo, Gibert (1990) sugiere que las cargas de contaminantes pueden sufrir transformaciones al cruzar las zonas no saturada y saturada, desaparecer completamente, moverse con lentitud, detenerse o esparcirse ampliamente de tal manera que no se detecten con facilidad.
Las mejores condiciones para la autopurificación no existen en sistemas kársticos. No hay suficiente tiempo para que el agua subterránea kárstica se oxigene completamente antes que alcance la zona saturada (en pocas horas o pocos días) donde la autopurificación solamente se lleva a cabo anaeróbicamente. La baja densidad de microorganismos reduce la rapidez de mineralización de substancias orgánicas y la ausencia casi total de algas previene la movilización de parte de estos contaminantes (por ejemplo, los nitratos) cuando son muy abundantes. Así, la población que habita en las cavernas puede ya sea incrementar (Holsinger 1966, Turquin 1980 y Sinton 1984) o disminuir (Brantsetter 1975 y Adamek y Rauser 1977) cuando estos contaminantes les lleguen. La biotransformación y la biodegradación por acciones microbianas o de microfauna, dentro del karst, no se conocen bien y necesitan más atención (Turquin 1980 y Moreau 1982).
La caliza tiene cierta capacidad para eliminar algunos contaminantes o reducir su concentración. Esta "capacidad de purificación" del ambiente, también denominada "capacidad de atenuación", expresa la habilidad intrínseca del material rocoso que se encuentra por encima y en el sistema de agua subterránea de absorber, dispersar o retardar contaminantes por un número de procesos físicos, químicos y biológicos que actúan en el sistema suelorocaagua subterránea.
Pocos procesos suceden en la zona saturada siendo los más efectivos para la disminución de los gradientes de concentración de solutos la dilución por dispersión y advección, así como fenómenos de retardo lineal por la interacción de solutos con el medio físico.
La atenuación natural puede aprovecharse como un método de remediación que depende de los procesos que ocurren de manera natural para controlar la migración de los contaminantes disueltos en el agua subterránea, tales como dispersión, absorción y biodegradación.
Existen dos factores que han impulsado el creciente uso de la atenuación natural como una técnica de manejo de plumas de contaminación. Primero, en los últimos años se ha incrementado tremendamente el entendimiento de las propiedades subsuperficiales y ahora se reconoce que muchas técnicas de remediación activas no son tan efectivas como se suponían. La segunda razón es que el entendimiento de cómo los procesos naturales impactan a la migración de las plumas de contaminación se ha incrementado significativamente con el paso del tiempo.
La atenuación natural controla a los contaminantes liberados en fuentes zonificadas por medio de dispersión, difusión, absorción, degradación, volatilización y dilución. La volatilización y la difusión no son importantes en la mayoría de los sistemas de agua subterránea que no contienen arcillas (Wiedemeier et al. 1999); por lo tanto, los principales procesos de atenuación son dispersión, absorción, degradación y dilución.
Zona de estudio
La ciudad de Mérida, Yucatán, cuenta con más de 700,000 habitantes (INEGI 2000). Desde 1979 hasta 1998 se acumularon residuos sólidos en un sitio localizado al noroeste de la ciudad (Fig.1), aunque durante el período 19791992 la basura se quemaba para su eliminación. El sitio se cerró en abril de 1998. Los residuos tienen principalmente origen urbano, aunque la gestión incontrolada y la existencia de otras industrias, favorecían la acumulación de residuos industriales y sanitarios. El basurero no se impermeabilizó en su base por lo que la precipitación pluvial en el lugar provoca que el lixiviado generado se infiltre hacia la roca subyacente (González et al. 2004).

La zona de estudio está formada por calizas de edad Eoceno SuperiorOligoceno (Bonet y Buttelin 1962), con orografía plana y ausencia de capa edáfica. La columna litológica está constituida por caliza alterada muy fracturada, superpuesta a una secuencia de areniscas calcáreas que alternan con areniscas de alto contenido fosilífero por debajo de la cual, y hasta los 50 m, dan paso a una caliza parcialmente recristalizada y bien cementada.
Los rasgos geomorfológicos de la zona están dominados por procesos kársticos que provocan la ausencia de cursos de agua superficiales y la infiltración total del agua de recarga al acuífero (Lesser y Weidie 1988). La conductividad hidráulica se ha estimado entre 104 y 108 m/s y el flujo subterráneo se produce de sureste a noroeste, con un gradiente de 0.08 0/00 (Sánchez 1989).
El acuífero, cuyo nivel freático se sitúa a 5 m de profundidad, está estratificado al existir dos tipos de agua: (1) una capa de agua dulce hasta los 50 metros de profundidad, superpuesta a (2) una capa de agua salada, producto de la intrusión salina. El agua del acuífero, en la zona de estudio, presenta una facies bicarbonatadacálcica debida a la circulación del agua a través de las rocas carbonatadas. Son aguas con altos contenidos en oxígeno (> 3.0 mg/L), caracterizadas por una baja conductividad eléctrica (500 µS/cm), cuyos iones predominantes son HCO3 (350 mg/L) y Ca2+ (90 mg/L) y concentraciones de SO42 y NO3por debajo de 20 mg/L y 15 mg/L, respectivamente. Los contenidos en Cl no son bajos (100 150 mg/L) debido a la contaminación por aguas residuales de la ciudad de Mérida, que no cuenta con un sistema de alcantarillado. El carbono orgánico disuelto (COD) arroja valores de 10 mg/L y las especies analizadas de nitrógeno, en su forma reducida (NH4+) y orgánica (nitrógeno Kjeldahl (NKT)), presentan valores de 0 mg/L.
El lixiviado generado en el basurero presenta conductividad eléctrica por encima de 10000 µS/cm y pH básico (7 8.5). El Cl (1000 8750 mg/L) es el anión predominante, con también altas concentraciones de NH4+ (50 1500 mg/L). El lixiviado presenta un estado muy reducido, puesto de manifiesto por las medidas de potencial redox (+135 mV (300 mV)) y las altas concentraciones de los parámetros orgánicos analizados (COD (190 3300 mg/L); DBO5 (100 1000 mg/L); DQO (600 8150 mg/L) y NKT (100 1700 mg/L)).
METODOLOGÍA
Para el estudio se perforaron seis piezómetros de control a lo largo de una línea de flujo (Fig.1), con diámetro de 8 pulgadas, a distancias de 10, 25, 50, 100, 300 y 500 metros de los límites del área de acumulación de basura. Las profundidades de perforación nunca fueron superiores a los 50 metros, ya que a partir de ese punto se encontraba agua salada. Se tomaron muestras de agua subterránea cada 5 metros, mediante una bomba peristáltica cuyo caudal de extracción era siempre inferior a 1 litro por minuto. Además mediante una sonda multiparamétrica (O2, Eh, pH, Conductividad eléctrica, T) se realizaron perfiles continuos en cada piezómetro. A cada muestra se le determinaron los componentes mayoritarios, minoritarios y parámetros físicoquímicos.
Específicamente para este caso de contaminación por lixiviado del basurero de Mérida, el enfoque fue en la dispersión y la dilución, dado que el sitio se encuentra emplazado sobre un acuífero kárstico. La dispersión es una mezcla subsuperficial debida al movimiento del agua subterránea y a las heterogeneidades del acuífero y puede ocurrir en las direcciones longitudinal, transversal y vertical. La dilución puede ser un proceso de atenuación importante bajo varias circunstancias diferentes, tales como una pluma de contaminación que se mueve muy lentamente con el agua subterránea y que fluye en una zona donde la recarga superficial entra a la unidad acuífera. Dado que la mezcla es limitada en el subsuelo, probablemente estarán presentes zonas con altas concentraciones aún con esta adición de agua limpia, conforme la pluma se conduce hacia abajo por la recarga. Otro ejemplo de dilución es cuando los contaminantes migran verticalmente en un estrato de baja conductividad hidráulica y se mezclan con agua subterránea que fluye a mayor velocidad horizontalmente en una unidad acuífera subyacente más permeable.
La ASTM (1998) ha desarrollado un estándar para un método sistemático de evaluar la efectividad de la remediación por atenuación natural, empleando tres líneas de evidencia. Para la línea de evidencia primaria, se analizan los datos históricos y actuales de monitoreo del agua subterránea para establecer la relación de la concentración de los constituyentes con el tiempo. El estándar de la ASTM indica que la evaluación de datos históricos es suficiente para indicar si el área de la pluma y la concentración de los contaminantes están disminuyendo o permanecen estables.
En otros casos se desarrollan líneas de evidencias secundarias u opcionales para demostrar de manera adecuada que la atenuación natural está controlando de manera efectiva el crecimiento de la pluma. La línea de evidencia secundaria consiste de (1) una evaluación de indicadores geoquímicos de biodegradación y (2) el cálculo de la rapidez de cambio de la atenuación. La línea de evidencia opcional se fundamenta en la construcción de modelos comprensivos calibrados en el sitio para cuantificar los procesos de atenuación natural, incluyendo los efectos combinados de los procesos físicos, químicos y biológicos.
En este estudio se aplica una combinación de los métodos descritos anteriormente.
Uno de los estudios más importantes que apoyan el concepto de atenuación natural fue el realizador por Rice et al. (1995) quienes analizaron las tendencias en los datos de sitios con al menos ocho episodios de muestreo y definieron que un ciclo de vida de las plumas de contaminación consta de cuatro etapas diferentes:
• En expansión: presencia de contaminación residual. El flujo de la masa de contaminantes excede la capacidad asimiladora del acuífero.
• Estable: cambios insignificantes. Procesos activos o pasivos de remediación controlan la longitud de la pluma.
• En decadencia: contaminación residual casi exhausta y procesos activos o pasivos de remediación reducen significativamente la longitud de la pluma.
• Exhausta: muy baja concentración promedio de los contaminantes en la pluma, sin cambios con el tiempo. Etapas finales de la dilución en la zona de la fuente en un área relativamente pequeña en el sitio.
Este tipo de análisis de ciclo de vida de la pluma de contaminación ha sido repetido por varios autores (Mace et al. 1997, Newell y Connor 1998 y McNab et al. 1999). Estos estudios han demostrado que la mayoría de las plumas de contaminación no se están expandiendo y que los procesos de atenuación natural tienen el potencial de manejar la contaminación del agua subterránea en muchos sitios.
El análisis de la historia de la pluma tiene la intención de definir si esta es estable, está decadente o expandiéndose en el agua subterránea. La remediación por atenuación natural es apropiada en sitios con plumas estables o en decadencia si los objetivos de la remediación y el tiempo son consistentes con la manera en que se espera que se lleve a cabo la remediación por atenuación natural en el sitio.
Los métodos utilizados en la zona de estudio para analizar la historia de la pluma son los siguientes:
• Gráficas de las concentraciones promedio en la pluma: se utilizaron para definir la concentración promedio de la pluma contra el tiempo con base en los datos colectados de los pozos de monitoreo.
• Gráficas de concentración a lo largo de la línea preferencial del flujo: se realizaron para varios períodos de tiempo, para analizar las tendencias de las concentraciones de la fuente al frente de la pluma.
• Mapas de contornos: estos ilustran las condiciones de la pluma con el tiempo; es decir si está estable, está disminuyendo o expandiendo.
Se utilizó la prueba no paramétrica de MannKendall (Gilbert 1987) para definir las tendencias de los datos con el tiempo, utilizando un procedimiento de asignación de rangos. Requiere de cuatro o más eventos de muestreo independientes y compara cada evento contra los demás.
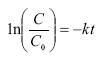
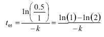
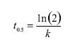
Se realizaron cálculos para determinar la vida media de la pluma de contaminación. Esta indica el tiempo en reducir las concentraciones de los contaminantes a la mitad, suponiendo que el contaminante en cuestión no fluirá más en la zona. Para esto se utilizó la siguiente expresión (Bedient et al. 1999):

O bien:

Finalmente:

RESULTADOS Y DISCUSIÓN
Con base en los parámetros estudiados se determinó que la pluma de contaminantes se desarrolló en el sentido del flujo. Se granearon los perfiles de concentración de contaminantes para los seis pozos testigos. Se identificó que el núcleo de la pluma se presentó a los 25 metros de profundidad (González et al. 2004).
El impacto del lixiviado del basurero municipal de Mérida no es evidente más allá de un kilómetro de distancia del sitio. Esto se observa de las curvas de isoconcentración del ión cloruro, el cual es indicativo de la presencia del lixiviado en el acuífero. Este es un ión dominante en los lixiviados de residuos sólidos municipales y no experimenta alguna reacción química o fisicoquímica en los acuíferos (Christensen et al. 2001).
En la figura 2 se presentan curvas de isoconcentración para los meses representativos de la época de lluvias en la zona de estudio, octubre de 2000, 2001 y 2002, en las que se aprecia claramente que las plumas de cloruro se van encogiendo con el tiempo. Se deduce entonces que ocurre dilución y probablemente biodegradación en la pluma de contaminación conforme migra gradiente abajo.

Los protocolos reportados en la literatura hacen diferentes énfasis en cómo demostrar la atenuación natural, pero los tres elementos clave son:
• Historia de la pluma: para demostrar la pérdida de la masa de contaminantes que se liberan de la fuente.
• Indicadores geoquímicos y rapidez de cambio de la atenuación: para demostrar que las condiciones son favorables para la pérdida de masa.
• Modelación del transporte de solutos: para demostrar que los datos del sitio son consistentes con la pérdida vía atenuación natural. Los primeros dos componentes se discuten a continuación.
Historia de la pluma
Para confirmar el análisis llevado a cabo por inspección visual de los datos del sitio con el tiempo (Fig. 2), se realizó un análisis estadístico de las tendencias de los datos. Para ilustrar lo anterior, el cuadro I muestra el cálculo de la S estadística de MannKendall para el pozo S2 para seis eventos de muestreo; estos son: octubre de 2000; abril, julio y octubre de 2001; mayo y octubre de 2002. Un valor positivo de S indicaría una tendencia en incremento y para uno negativo, la tendencia sería en decremento. En el cuadro II se presentan los resultados de los pozos ubicados a lo largo del eje principal de la pluma.

El valor de S, obtenido anteriormente, y el número total de eventos de muestreo se utilizaron en la carta de nivel de confianza (Groundwater Services 1999) para determinar si una cierta tendencia está probablemente presente en los datos. Del cuadro III se deduce que la pluma de contaminación está entre estable y en decadencia ya que los pozos S1, S4 y S5 no parecen indicar una tendencia con certeza aunque los pozos S2 y S3 indican claramente que las concentraciones disminuyen con el tiempo.
Indicadores geoquímicos y razón de cambio
Los indicadores geoquímicos dan información adicional de que los procesos de atenuación natural están activos en el sitio. El lixiviado que impacta al acuífero contiene una muy alta demanda química de oxígeno, altas concentraciones de amoníaco y elevados niveles de cloruros; sin embargo, a pesar de que inmediatamente debajo del sitio se establecen con rapidez condiciones anaerobias, promoviendo la descomposición de los componentes orgánicos, conforme la pluma se aleja se produce una mezcla de agua oxigenada con el agua contaminada causando oxidación del amoniaco y dilución del cloruro (González et al. 2004).
También existe evidencia para sugerir que está sucediendo un proceso de atenuación natural en el sistema acuífero, dado que las relaciones de carbón orgánico disueltocloruros parecen disminuir gradiente abajo del flujo subterráneo (Fig. 3). Esta relación sería constante si el único proceso operante en el acuífero fuera la dilución y no ocurriera atenuación de los contaminantes.

La figura 4 muestra que, dadas las características del sistema, en el acuífero se está llevando a cabo un proceso de atenuación que depende de los procesos naturales que ocurren en él para degradar y eliminar contaminantes. La calidad del agua que inicialmente era de tipo cálcico bicarbonatada, cambia a tipo clorurada sódica debido a la contaminación del lixiviado y actualmente está en proceso de retornar a su calidad original.
Para el cálculo de la razón de cambio de decadencia de la contaminación se utilizó el método descrito por Rifai y Newell (1998) para el cual se granearon las concentraciones determinadas en el centro de la pluma en una escala semilogarítmica contra la distancia al centro de la fuente; se calculó la razón de cambio de decadencia (k) utilizando la pendiente de la línea que mejor se ajuste a los puntos (Fig. 5) y la velocidad del flujo de agua subterránea (0.073 m/día), con la siguiente ecuación:
k = (pendiente)(velocidad del agua subterránea)
Dado que las razones de cambio de decadencia son positivas, se confirma que las concentraciones disminuyen entre la fuente y el frente de la pluma con el tiempo (similar al estudio reportado por Bockelmann et al. 2003) debido al efecto combinado de la dispersión y la dilución. Como era de esperarse, el efecto de la atenuación de contaminantes va disminuyendo con el tiempo hasta ser casi estable; esto puede notarse con los últimos valores reportados en el cuadro IV y las últimas imágenes de la figura 5 (correspondientes a mayo y octubre de 2002).

Los cálculos de la vida media de la pluma de contaminación, presentados en el cuadro IV, indican que al principio el tiempo en reducir las concentraciones de los contaminantes a la mitad, suponiendo que el contaminante en cuestión no fluirá más en la zona, va en decremento y conforme el tiempo pasa los procesos de atenuación natural se hacen más lentos.
Con la finalidad de aclarar el uso del "monitoreo de la atenuación natural" en sitios contaminados, la USEPA (1997) publicó un documento que establece su uso solamente como un componente del remedio total en la mayoría de los casos y que debería "utilizarse con cautela como único remedio en sitios contaminados". Además, la USEPA reiteró que el monitoreo de la atenuación natural debe apoyarse en una demostración técnica detallada y en la realización subsecuente del monitoreo.
El monitoreo de la atenuación natural es apropiado solamente cuando su uso será el de proteger la salud de los seres humanos y el medio ambiente y será capaz de lograr los objetivos de remediación específicos del sitio en cuestión en un tiempo razonable (Clement et al. 2002). Las decisiones de emplear la atenuación natural como un remedio o un componente de remediación deben estar completa y adecuadamente apoyadas con datos de caracterización y análisis específicos del sitio.
Se deben utilizar tres clases de información específica del sitio o "evidencias" en tal evaluación. Estas son: (1) datos históricos de la química del agua subterránea y/o del suelo que demuestren una tendencia clara y significativa que la masa y/o la concentración del contaminante están decayendo en puntos de monitoreo o de muestreo apropiados; (2) datos hidrogeológicos o geoquímicos que puedan utilizarse para demostrar indirectamente los tipos de procesos de atenuación natural activos en el sitio y la tasa en la cual tales procesos reducirán las concentraciones del contaminante a niveles requeridos; y (3) datos de estudios de campo o microcosmos que demuestren directamente la ocurrencia de un proceso de atenuación natural particular en un sitio.
CONCLUSIONES
El impacto del lixiviado del basurero municipal de Mérida no es evidente más allá de un kilómetro de distancia del sitio; entonces, ocurre dilución y biodegradación en la pluma de contaminación conforme migra gradiente abajo.
Se está dando un proceso de atenuación natural en el sistema acuífero, dado que las relaciones de carbón orgánico disuelto cloruros disminuyen gradiente abajo del flujo subterráneo. Esta relación sería constante si el único proceso operante en el acuífero fuera la dilución y no ocurriera atenuación de los contaminantes.
Aunque se desarrolló para sitios contaminados con combustibles, la metodología básica de utilizar datos históricos, indicadores geoquímicos y de razones de cambio y herramientas de modelación puede aplicarse a otros tipos de sitios contaminados. El análisis de los datos de tendencia de las concentraciones puede ser similar para toda clase de sitios, aunque se requerirán diferentes tipos de análisis geoquímicos y de modelos de transporte de solutos; es decir, el análisis será específico para el sitio en cuestión.
AGRADECIMIENTOS
Al apoyo brindado para la realización de los proyectos 1864T9212 y 32489T por el CONACyT y el YUC2002C018724 por los Fondos Mixtos del CONACyT y el Gobierno del Estado de Yucatán. A los revisores anónimos cuyos comentarios enriquecieron sobremanera este documento.
REFERENCIAS
Adamek Z. y Rauser J. (1977). Contribution to the question of the water quality of the Moravian Karst one example of the Mayflies (Ephemeroptera) and Stoneflies (Plecoptera) Fauna. Speleol. Vestnik (Brno) 3, 723. [ Links ]
ASTM (American Society for Testing and Materials). (1998). Standard Provisional Guide for Risk Based Corrective Action. ASTM PS 104 98. Philaelphia, PA., EUA. [ Links ]
Baun A., Reitzel L.A., Ledin A., Christensen T.H. y Bjerg P.L. (2003). Natural attenuation of xenobiotic organic compounds in a landfill leachate plume (Vejen, Denmark). J. Contam. Hydrol. 65, 269292. [ Links ]
Bedient P.B., Rifai H.S. y Newell Ch.J. (1999). Groundwater contamination, transport and remediation, 2a Edición, Prentice Hall, 604 p. [ Links ]
Bockelmann A., Zamfirescu D., Ptak T, Grathwohl P. y Teutch G. (2003). Quantification of mass fluxes and natural attenuation rates at an industrial site with a limited monitoring network: a case study. J. Contam. Hydrol. 60, 97122. [ Links ]
Bonet F. y Butterlin J. (1962). Stratigraphy of the northern part of the Yucatan Peninsula. New Orleans Geological Society, 5257. [ Links ]
Brady W.D., Eick M.J., Grossl P.R. y Brady P.V. (2003). A site specific approach for the evaluation of natural attenuation at metals impacted sites. Soil & Sediment Contam. 12, 541565. [ Links ]
Brantsetter J. (1975). A reconnaissance investigation of pollution in a limestone terrane, Horse Cave, Kentucky. The Kentucky Caver (Lexington) 9, 3941. [ Links ]
Clement T.P., Truex M. J. y Lee P. (2002). A case study for demonstrating the application of U.S. E.P.A.'s monitored natural attenuation screening protocol at a hazardous waste site. J. Contam. Hydrol. 59, 133163. [ Links ]
Christensen T.H., Kjeldsen P., Bjerg P.L., Jensen D.L., Christensen J.B., Baun A., Albrechtsen H.J. y Heron G. (2001). Biochemistry of landfill leachate plumes. Appl. Geochem. 16, 659718. [ Links ]
Ford D.C. y Williams P.W. (1989). Karst Geomorphology and Hydrology. Unwin Hyman, Winchester, MA, 601 p. [ Links ]
Gibert J. (1990). Behaviour of aquifers concerning contaminants: Differential permeability and importance of different purification processes. En: Contaminants in the Subsurface Environment. (P.L. McCarty y P.V. Roberts, Eds.) IAWPRC. Water Science and Technology. 22, 101108. [ Links ]
Gilbert R.O. (1987). Statistical methods for environmental pollution monitoring. Van Nostrand Reinhold. Nueva York. [ Links ]
González R., Vadillo I., Rodríguez R. y Carrasco F. (2004). Sistema redox en un acuífero carbonatado afectado por lixiviado de basureros. Rev. LatinoAmericana de Hidrogeología 4, 7179 [ Links ]
Groundwater Services Inc. (1999). The RNA Tool Kit User's Manual. Groundwater Services, Inc., Houston, Texas. www.gsinet.com. [ Links ]
Holsinger J. R. (1966). A preliminary study on the effects of organic pollution of Banners Corner Cave. Virginia. Int. J. Speleol. 2, 7598. [ Links ]
INEGI (Instituto Nacional de Estadística, Geografía e Informática). (2000). Censo Nacional de Población y Vivienda. INEGI, Aguascalientes, México. [ Links ]
Julian H.E., Boggs J.M., Chunmiao Z. y Feehley C.E. (2001). Numerical simulation of a natural gradient tracer experiment for the natural attenuation study: flow and physical transport. Ground Water 39, 534546. [ Links ]
Lesser J.M. y Weidie A.E. (1988). Region 25. Yucatan Peninsula. In: Back W., Rosenhein J.S. y Seaber P.R., (Eds). Geology of North America. Vol. O2. Chapter 28. Hydrogeology. The Geological Society of America. Boulder, 237241. [ Links ]
Mace R.E., Fisher R.S., Welch D.M. y Parra S.P. (1997). Extent, mass and duration of hydrocarbon plumes from Leaking petroleum storage tank sites in Texas. Bureau of Economic Geology. University of Texas at Austin. Geologic Circular, 971. [ Links ]
McNab W.W., Rice D.W., Bear J., Ragaini R., Tuckfield C. y Oldenburg, C. (1999). Historical case analysis of chlorinated volatile organic compound plumes. Laurence Livermore Laboratory. University of California. Livermore, CA. USA. [ Links ]
Moreau R. (1982). La pollution des eaux souterraines: Hygiène et épidémiologie. Journée d'étude sur la Protection des Eaux Karstiques. Société Nationale des Distributions d'Eaux et Commission Nationale de Protection des Sites Spéléologiques, 432. [ Links ]
Newell C.J. y Connor J. A. (1998). Characteristics of dissolved hydrocarbon plumes: Results of four studies. Washington, D.C., American Petroleum Institute. [ Links ]
Rice D.W., Grose R.D., Michalsen J.C., Dooher B.P., MacQueen D.H., Cullen S.J., Kastenberg W.E., Everett L.G. y Marino M.A. (1995). California leaking underground fuel tank (LUFT) historical case analysis. Environmental Protection Department. [ Links ]
Rifai H,S. y Newell C.J. (1998). Estimating firstorder decay rates for BTEX using data from 115 sites. NGWA Petroleum Hydrocarbon Conference. Houston Texas. [ Links ]
Sánchez P.I. (1989). Estudio del comportamiento de la contaminación del agua subterránea generada por la disposición de desechos sólidos a cielo abierto. Informe final del Proyecto de Investigación 89010801. Universidad Autónoma de Yucatán. Facultad de Ingeniería. Unidad de Posgrado e Investigación. [ Links ]
Sinton L.W. (1984). The macroinvertebrates in a sewagepolluted aquifer. Hydrobiologia 119, 161169. [ Links ]
Turquin M. J. (1980). La pollution des eaux souterraines: Incidence sur les biocénoses aquatiques. Actes 1o Coll. Nat. Protection Eaux Souterraines Besançon, Les Cahiers de la C.P.E.P.E.S.C. 2, 341347. [ Links ]
USEPA (United States Environmental Protection Agency). (1997). Monitored natural attenuation at superfund, RCRA corrective action, and underground storage tank site. Draft interim final policy. Office of solid waste emergency response (OSWER). Washington, D.C., USA. [ Links ]
Wiedemeier T.H., Rifai H.S., Newell C.J. y Wilson J.W. (1999). Natural Attenuation of Fuels and Chlorinated Solvents. Wiley, Nueva York. [ Links ]













