Introducción
El conocimiento cuantitativo de las características, propiedades o atributos puntuales, lineales, areales y volumétricos del relieve, en conjunto denominados parámetros morfométricos del relieve, son esenciales para el análisis e interpretación numérica aproximada de las irregularidades topográficas del terreno y de lo pronunciado del relieve como tal, rasgos que condicionan en gran medida el comportamiento hidráulico e hidrológico de las aguas de escorrentía, así como la estabilidad relativa de los materiales de las vertientes.
Esto cobra mayor importancia cuando se tienen como unidades espaciales de estudio cuencas de drenaje de pequeñas dimensiones (microcuencas) en ambientes montañosos y de regímenes torrenciales. Tales características condicionan las respuestas hidrológicas súbitas y agresivas de esos sistemas hidrogeomorfológicos, así como las probabilidades de activación de procesos de remoción en masa.
Para el caso particular del área de estudio de interés de este trabajo, se trata de trece microcuencas de drenaje (superficies comprendidas entre 2.89 km2 y 31.38 km2) emplazadas en el sector occidental de la vertiente montañosa septentrional del macizo “El Ávila” (estado Vargas, Venezuela), donde se presentó el evento de aludes torrenciales más importante registrado en la historia venezolana, durante los días 14, 15 y 16 de diciembre de 1999, como consecuencia de las lluvias extraordinarias, vinculadas a una situación meteorológica muy particular.
Tales consideraciones permiten, como propósito primordial para esta investigación, analizar cuantitativamente los rasgos del relieve (parámetros morfométricos) en cuencas de drenaje de la vertiente norte del macizo “El Ávila” y su incidencia en el comportamiento hidrogeomorfológico de ellas, a fin de identificar entre esos atributos, los que tienen mayor peso o incidencia en dicha dinámica.
Entre algunos de los trabajos previos, llevados a cabo en la misma orientación de esta investigación en los últimos cuatro años, destacan las contribuciones de Delgado y Gáspari (2010); Farfán et al. (2010); Genchi et al. (2011); Martínez et al. (2010); Martínez y Díaz (2011); Méndez et al. (2011); Salas et al. (2011); Campo et al. (2012); Romshoo et al. (2012) y Yunus et al. (2014).
Área de estudio
El área de estudio se ubica geográficamente en la Región Centro Norte del territorio venezolano, en la parte central del estado Vargas, conformada por las cuencas de drenaje de las quebradas Curucutí, Piedra Azul, Osorio, Cariaco, El Cojo, Camurí Chiquito, San Julián y Seca y de los ríos San José de Galipán, Cerro Grande, Uria, Naiguatá y Camurí Grande. Geoastronómicamente está definida por las coordenadas: 10°32’25”—10°37’35” de latitud norte y 66°40’08”—66°59’12” de longitud oeste (Figura 1).

(fuente: Instituto Geográfico de Venezuela Simón Bolívar [IGVSB] (2003); Centro de Procesamiento Digital de Imágenes [CPDI] (2002).
Figura 1 Localización del área de estudio.
El macizo “El Ávila” se extiende aproximadamente 100 km, desde el valle tectónico de la quebrada Tacagua en el oeste hasta cabo Codera en el este. Empinado y abrupto, este macizo se eleva entre el mar Caribe y los valles intramontanos de origen tectónico de Caracas y de Guarenas-Guatire, siendo su mayor elevación el Pico Naiguatá con 2 765 msnm, cuyas unidades en conjunto constituyen un buen ejemplo de relieve controlado por bloques morfotectónicos (Guevara, 1983).
La geología está constituida por afloramientos de unidades litodémicas de las fajas Asociación Metamórfica Ávila (Augengneis de Peña de Mora, Complejo San Julián, Metatonalita de Caruao y Metagranito de Naiguatá) y Asociación Metamórfica La Costa (Serpentinita, Anfibolita de Nirgua, Esquisto de Tacagua y Mármol de Antímano) (Urbani, 2000, 2002a; Urbani et al., 2006).
El clima se caracteriza por presentar una temperatura media anual de 26,1 °C en la parte baja del área, y entre 12.7 °C y 22 °C en la parte alta (Ministerio del Poder Popular para el Ambiente [MPPA], Dirección General de Cuencas, Dirección de Hidrología y Meteorología, 2011). Las precipitaciones son escasas con promedios anuales que superan los 500 mm (entre 530.5 mm y 859.6 mm) (MPPA, 2011), determinando categorías pluviométricas semi-árida para la parte baja y semi-húmeda para la parte alta.
En las laderas bajas del área los suelos presentan deficiencias de humedad y clasifican como Haplargids y Torriorthents, y en las cumbres más altas se presentan suelos muy evolucionados y profundos que clasifican como Haplohumults (menor temperatura) y Hapludults (mayor humedad) (Elizalde et al., 2007).
La vegetación está representada por las formaciones vegetación litoral, cardonales y espinares, bosque deciduo, bosque semi-deciduo, bosque transicional, selva nublada, sub-páramo, bosque de galería y vegetación secundaria (Steyermark y Huber, 1978; Amend, 1991).
Materiales y métodos
Con la información cartográfica base (planos y cartas topográficas a escalas 1:5 000 y 1:25 000, respectivamente, y ortofotomapas a escala 1:25 000) (Dirección de Cartografía Nacional [DCN], 1958, 1979; Gobernación del Distrito Federal [GDF], 1984; Servicio Autónomo de Geografía y Cartografía Nacional [SAGECAN], 1995) compilada y seleccionada, se ensamblaron los mosaicos con los que se definieron y delimitaron los polígonos correspondientes al área de estudio.
Se rasterizó y digitalizó la información cartográfica (curvas de nivel, drenaje y elementos humanos) empleando el software ArcGIS 9.2. Se realzaron las redes de drenaje y se delimitaron los perímetros de las cuencas utilizando el módulo ArcHydro, y con el módulo Spatial Analysis se construyó el Modelo de Elevación Digital del Terreno (MEDT). Sobre la cartografía digitalizada se levantaron los perfiles topográficos longitudinales y transversales del relieve así como de los cauces de ríos y quebradas principales.
La descripción del marco geomorfológico general del área de estudio se apoyó en la lectura e interpretación de la cartografía base digitalizada, el MEDT, fotografías aéreas a escala 1:5 000 (Instituto Geográfico de Venezuela Simón Bolívar [IGVSB], 1999-2000), ortofotomapas, imágenes de satélite (Centro de Procesamiento Digital de Imágenes [CPDI], 1999, 2002, 2005), imágenes de Google Earth y Google Maps, y cartografía temática referida a aspectos geomorfológicos a escala 1:25 000 (formas de relieve y procesos geo- morfológicos) (IGVSB, Ministerio del Ambiente y de los Recursos Naturales [MARN], 2002a, 2002b).
La caracterización se basó en la identificación de formas de relieve así como en la discriminación y sectorización de las grandes unidades de relieve, tomando como criterio la subdivisión topográfica de estas a grandes rasgos, en sectores definidos como cuenca alta (áreas de recepción), cuenca media (canales de desagüe) y cuenca baja (abanicos aluviales). Algunos rasgos morfotectónicos distintivos del área de estudio fueron identificados con ayuda del MEDT, los ortofotomapas e imágenes de Google Earth y Google Maps.
Las mediciones y cálculos de los parámetros morfométricos (Tabla 1) del relieve de las cuencas se realizaron en un primer momento sobre la cartografía digitalizada con el software ArcGIS 9.2 y sus módulos Spatial Analysis y ArcHydro, obteniéndose atributos básicos lineales, longitudinales, areales, altimétricos y clinométricos. La información morfométrica se organizó en bases de datos diseñadas con el software Microsoft Excel y posteriormente, con esa información y las ecuaciones matemáticas que definen al resto de los parámetros, se procedió a sus respectivas estimaciones.
Tabla 1 Parámetros morfométricos del relieve medidos, estimados o calculados.
| Variable | Parámetros |
|---|---|
| Gradiente y forma del relieve de la cuenca | Altitud mínima (h) (msnm); Altitud máxima (H) (msnm); Altitud media (Hm ) (msnm); Altitud de la naciente de la corriente principal (Hn ) (msnm); Altitud del desagüe de la corriente principal (h d) (msnm); Relieve máximo (Rm) (m); Radio del relieve (R) (m/km); Pendiente media del relieve (Pm ) (m/m); Concavidad del perfil longitudinal de la corriente principal (Cp); Pendiente media del perfil longitudinal de la corriente principal (Pcpm ) (m/m); Relieve máximo de la corriente principal (Rmcp) (m); Factor topográfico de la corriente principal (Ft); Pendiente media del total de corrientes de la red de drenaje (Ptc m) (m/m); Integral hipsométrica (IH); Coeficiente de masividad (Cm) (msnm/km2); Coeficiente orográfico (Co); Relieve relativo (Rr) (m/km); Número de rugosidad de Melton (NR) |
Se realizó un análisis estadístico descriptivo (AED) de los parámetros morfométricos de las cuencas con base en los siguientes estadísticos: valor máximo, valor mínimo, media, moda, mediana, varianza, desviación estándar, asimetría, curtosis, coeficiente de variación, primer cuartil, segundo cuartil y tercer cuartil, utilizando para ello la misma base de datos de dichos parámetros.
Para estudiar e interpretar el grado de relación de los parámetros morfométricos del relieve de las cuencas entre sí, se realizó un análisis de correlación lineal (ACL), el cual se basó en la aplicación y estimación del coeficiente de correlación de Pearson por el método Producto de los Momentos empleando el complemento Xlstat (2012) de Microsoft Excel.
Se realizó un análisis de componentes principales (ACP) a fin de identificar los parámetros morfométricos del relieve que tienen mayor peso o importancia en sus relaciones con el comportamiento hidrogeomorfológico de las cuencas de drenaje. El tipo de ACP llevado a cabo se basó en el método de las correlaciones, el cual parte precisamente de la matriz de correlaciones, considerando el valor de cada una de las m variables aleatorias Fj . El ACP se ejecutó empleando el paquete estadístico SPSS Statistics Versión 17.0.
Análisis y discusión de los resultados
Características geomorfológicas generales de las cuencas de drenaje
El conjunto de cuencas de drenaje que conforman el área de estudio de esta investigación se ubica en el sector central del Sistema Montañoso del Caribe, en su expresión en el territorio venezolano, también conocido como Sistema Orográfico Central o Cordillera de la Costa, y en específico en el ramal septentrional conocido como Serranía del Litoral, emplazada en el extremo occidental de la vertiente norte de la sierra o macizo “El Ávila”.
A grandes rasgos y desde el punto de vista morfológico, estas cuencas de drenaje concebidas como sistemas hidrogeomorfológicos, presentan tres áreas o sectores con dinámica y procesos distintivos de cada uno de ellos, típicos de muchos de estos sistemas de ambientes montañosos (véase Figura 2). De esta forma, la mayor parte de las superficies de las cuencas localizadas por encima de un rango de cotas entre 25 msnm y 125 msnm (salidas de los cursos de agua principales en el frente montañoso) y emplazadas en el sector montañoso, representan lo que se conoce como la cuenca de recepción de las precipitaciones, que a su vez alberga a los cursos superior y medio de las quebradas y ríos principales, así como a las cuencas medias y altas y son las áreas en las que existen los sistemas o redes de drenaje.
En este sector, las pendientes de las laderas o vertientes son bastante fuertes, con valores comprendidos mayoritariamente entre 18% y 45%, y las de los cauces de primer y segundo orden son muy fuertes y escarpadas, con gradientes que oscilan entre 20% y > 60%, lo cual en presencia de precipitaciones de alta intensidad y duración suponen un alto potencial morfogenético, expresado en intensos procesos erosivos y de remoción en masa, y producción de sedimentos.
Existe una segunda unidad, que se conoce como el canal de desagüe del colector principal, representada en cada una de las cuencas de interés por los segmentos medios de sus cauces, extendidos a lo largo de sus estrechos y profundos valles encajados en el relieve montañoso, cuyas longitudes comprenden desde sus respectivas cotas, en las que se inician cada uno como las corrientes de agua de orden mayor, hasta sus correspondientes ápices de abanicos o salidas de sus valles encañonados en el frente montañoso, con pendientes promedios de los canales entre 5% y 30%.
En este sector de transición se dan aportes laterales de materiales por cursos de agua que drenan, de manera perpendicular o con menores ángulos de intersección, hacia los cauces de las quebradas y ríos principales, así como de material coluvial que cae por gravedad de las escarpadas vertientes laterales de los valles a los canales. Sin embargo, el proceso que mayoritariamente predomina en esta unidad es el transporte de sedimentos.
La tercera unidad corresponde a las partes bajas de las cuencas, conocida como área de depositación o abanico aluvial. Esta unidad se extiende desde los puntos proximales de los abanicos en el frente montañoso hasta sus bordes distales extendidos bajo las aguas marinas del litoral. En ellos predominan fundamentalmente procesos de depositación de los materiales que han sido desalojados y transportados por las redes de drenaje de las quebradas y ríos principales desde las partes más altas de las cuencas, durante eventos de crecidas y aludes torrenciales.
En estas áreas las pendientes topográficas promedio están entre 1% y 9%, y las quebradas y ríos principales discurren por canales atrincherados sobre sus abanicos con pendientes promedios entre 2% y 7%, pero con valores más bajos en la mayoría de los casos respecto de las pendientes topográficas de la superficie de los abanicos aluviales. Esta disminución significativa y contrastante del gradiente topográfico del terreno y del cauce de la quebrada en el área del abanico con relación al sector montañoso, implica una reducción de la energía cinética del flujo, así como de su competencia a la salida de su cañón en el frente montañoso, con lo cual la mayor parte de la carga de fondo arrastrada durante las crecidas se deposita a lo largo del canal.
Rasgos morfotectónicos
En atención a los patrones de fallamiento y a las diferencias en cuanto a la forma como interactuan las tres asociaciones metamórficas (Asociación Metamórfica Ávila, Asociación Metamórfica La Costa y Asociación Metasedimentaria Caracas), Urbani (2000, 2002a, 2002b) definió cinco bloques tectónicos principales. En dirección este-oeste estos bloques se delimitan por fallas con dirección NO-SE con gran movimiento vertical, mientras que dentro de cada bloque las asociaciones metamórficas están entremezcladas tectónicamente de forma compleja.
Estos bloques tectónicos vistos en sentido esteoeste exhiben un claro escalonamiento con distintos grados de exhumación. El macizo “El Ávila” corresponde a los prominentes bloques de Galipán y Naiguatá, con una configuración morfotectónica tipo horst, por ser los únicos bloques claramente delimitados al norte y al sur por fallas de dirección E-O, como son las de San Sebastián al norte y la del Ávila al sur.
Las cuencas de drenaje correspondientes a las quebradas Curucutí, Piedra Azul y Osorio se emplazan sobre el bloque tectónico Galipán, con un grado relativo de exhumación intermedio, mientras que las cuencas pertenecientes a las quebradas Cariaco, El Cojo, Camurí Chiquito, San Julián y Seca, y los ríos San José de Galipán, Cerro Grande, Uria, Naiguatá y Camurí Grande se ubican sobre el bloque tectónico Naiguatá, con un grado relativo de exhumación mayor. La estructura tipo horst de estos bloques se pierde tanto al este de la falla Infiernito-Palacios como al oeste de la falla de Tacagua, donde las fallas con orientación E-O se vuelven menos importantes.
Los principales tipos de fallas que se observan en la vertiente norte del macizo “El Ávila” son las de rumbo E-O, entre las que destaca el sistema de fallas de San Sebastián. Estas fallas controlan la linealidad de la costa entre las localidades de Morón (estado Carabobo) y la Sabana (estado Miranda), y son denominadas “fallas longitudinales” por Wehrmann (1972, c. p. Urbani, 2002a, 2002b). Probablemente fueron corrimientos al momento en que el frente de la colisión estaba en este meridiano, siendo posteriormente reactivadas con movimientos mayormente normales y de transcurrencia dextral.
Le siguen en importancia las fallas con rumbo NO-SE (“transversales” de Wehrmann), las cuales por lo general desplazan dextralmente a las anteriores. También están las fallas con rumbo NE-SO, que usualmente han sido interpretadas como inversas, con ángulo variable y con buzamiento hacia el norte (Urbani, 2002a, 2002b).
El evidente control que ejerce la neotectónica sobre el orógeno o mega-bloque correspondiente al macizo “El Ávila”, define una arquitectura o rasgos morfotectónicos caracterizados principalmente por la presencia de sub-bloques con dislocaciones por movimientos epirogénicos y fuertes desniveles topográficos entre ellos, lo que se expresa en morfoestructuras tipos horst y graben que dominan el relieve a escala regional.
Tales características determinan otros rasgos morfológicos con expresión a escala regional (véase Figura 3), como lo son un frente montañoso de cara al mar de abrupto contacto con la línea de costa, definido por una pendiente o declive de muy elevado grado; una línea de costa con extremo carácter rectilíneo o de muy baja sinuosidad, aspecto controlado por la trazas principales de las fallas de San Sebastián y Macuto con orientaciones oeste-este, y la presencia de facetas triangulares distintivas del frente de montaña, resultantes de la ruptura en la continuidad de los valles y filas montañosas, atribuido a la dislocación del orógeno por el movimiento vertical de dos bloques (uno ascendente y otro descendente) relacionados con un plano de falla.

(fuente: imágenes A y C tomadas de Google Earth, 2015).
Figura 3 Algunos rasgos morfológicos: A) frente montañoso con pendientes muy abruptas, B) línea o margen costero de muy baja sinuosidad o rectilíneo, y C) facetas triangulares, que evidencian el control tectónico sobre la coniguración del relieve regional.
Otras evidencias de la influencia neotectónica sobre muchos de los rasgos geomorfológicos del área de estudio (véase Figura 4), lo constituyen también el entalle vertical o atrincheramiento de los cauces de las quebradas y ríos principales del sector en sus propios depósitos de abanicos aluviales; la presencia de aluviones colgados en algunos valles fluviales, es decir, depósitos de flujos torrenciales en niveles altitudinales no correspondientes con los niveles de base actuales de los cursos de agua, y valles colgados cuyos extremos terminales en el frente montañoso son determinados por un corte abrupto de su continuidad, debido a la interposición de un plano de falla de movimiento vertical que determina un fuerte desnivel topográfico entre el valle y la línea de costa (véase Figura 4).
Parámetros morfométricos del relieve de las cuencas de drenaje: análisis descriptivo
Las altitudes en el área (cuencas de recepción) están comprendidas entre los 25 msnm (altura mínima), que corresponde a la cota mínima en la que desembocan algunos de los ríos y quebradas en el frente de montaña, y los 2 770 msnm (altura máxima), correspondientes al punto topográfico más alto para todo el sector representado por el pico Naiguatá, ubicado en el perímetro de la cuenca del río Cerro Grande (véase Tabla 2).
Tabla 2 Estadísticos descriptivos de los parámetros morfométricos del relieve.
| Estadístico |
h (msnm) |
H (msnm) |
Hm (msnm) |
Hn (msnm) |
hd (msnm) |
Rm (m) |
|---|---|---|---|---|---|---|
| Valor máximo | 125 | 2 770 | 1 316.76 | 2 550 | 125 | 2 745 |
| Valor mínimo | 25 | 1 280 | 547.71 | 1 200 | 25 | 1 230 |
| Media | 48.85 | 2 122.08 | 939.70 | 2 040.38 | 48.85 | 2 073.23 |
| Moda | 25 | - | - | - | 25 | - |
| Mediana | 40 | 2 282 | 912.55 | 2 220.00 | 40 | 2 242 |
| Varianza | 1 029.81 | 203 442.74 | 58 927.74 | 16 7901.92 | 1 029.81 | 212 937.36 |
| Desv. estándar | 32.09 | 451.05 | 242.75 | 409.76 | 32.09 | 461.45 |
| Asimetría | 1.62 | -0.48 | 0.17 | -0.82 | 1.62 | -0.56 |
| Curtosis | 1.97 | -0.42 | -0.89 | 0.04 | 1.97 | -0.32 |
| Coef. de variac. | 0.66 | 0.21 | 0.26 | 0.20 | 0.66 | 0.22 |
| Primer cuartil | 25 | 1 925 | 790.10 | 1 890 | 25 | 1 875 |
| Segundo cuartil | 40 | 2 282 | 912.55 | 2 220 | 40 | 2 242 |
| Tercer cuartil | 50 | 2 370 | 1 090 | 2 300 | 50 | 2 320 |
| Estadístico |
R (m/km) |
Pm (m/m) |
Cp |
Pcpm (m/m) |
Rmcp (m) |
Ft |
| Valor máximo | 442.50 | 0.34 | 0.71 | 0.41 | 2 525 | 1 367.37 |
| Valor mínimo | 270.83 | 0.24 | 0.00 | 0.20 | 1 150 | 666.30 |
| Media | 353.45 | 0.30 | 0.39 | 0.27 | 1991.54 | 1 020.23 |
| Moda | - | - | - | - | 1 840 | - |
| Mediana | 340.27 | 0.29 | 0.39 | 0.25 | 2 195 | 1 025.78 |
| Varianza | 3 877.14 | 0.0007 | 0.06 | 0.01 | 179 168.27 | 42 037.25 |
| Desv. estándar | 62.27 | 0.03 | 0.24 | 0.07 | 423.28 | 205.03 |
| Asimetría | 0.17 | -0.33 | -0.32 | 0.76 | -0.83 | -0.39 |
| Curtosis | -1.53 | 0.40 | -1.24 | -0.92 | 0.08 | -0.09 |
| Coef. de variac. | 0.18 | 0.09 | 0.62 | 0.27 | 0.21 | 0.20 |
| Primer cuartil | 305.49 | 0.28 | 0.17 | 0.21 | 1 840 | 925.50 |
| Segundo cuartil | 340.27 | 0.29 | 0.39 | 0.25 | 2 195 | 1 025.78 |
| Tercer cuartil | 403.96 | 0.31 | 0.58 | 0.34 | 2 235 | 1162.60 |
| Estadístico |
Ptcm (m/m) |
IH |
Cm (msnm/km2) |
Co |
Rr (m/km) |
NR |
| Valor máximo | 0.82 | 0.55 | 195.57 | 154 518.28 | 180.88 | 0.91 |
| Valor mínimo | 0.50 | 0.35 | 34.74 | 36 620.01 | 92.20 | 0.42 |
| Media | 0.65 | 0.43 | 98.66 | 84 764.85 | 136.94 | 0.63 |
| Moda | - | - | - | - | - | - |
| Estadístico |
Ptcm (m/m) |
IH |
Cm (msnm/km2) |
Co |
Rr (m/km) |
NR |
| Mediana | 0.65 | 0.41 | 86.41 | 75 273.59 | 129.34 | 0.59 |
| Varianza | 0.01 | 0.00 | 3 272.13 | 1 450 819 954 | 1 036.28 | 0.03 |
| Desv. estándar | 0.08 | 0.05 | 57.20 | 38 089.63 | 32.19 | 0.16 |
| Asimetría | 0.15 | 1.12 | 0.71 | 0.39 | 0.23 | 0.40 |
| Curtosis | 0.81 | 1.32 | -0.95 | -0.94 | -1.50 | -1.14 |
| Coef. de variac. | 0.13 | 0.12 | 0.58 | 0.45 | 0.24 | 0.26 |
| Primer cuartil | 0.61 | 0.39 | 51.88 | 54 807.84 | 106.56 | 0.48 |
| Segundo cuartil | 0.65 | 0.41 | 86.41 | 75 273.59 | 129.34 | 0.59 |
| Tercer cuartil | 0.69 | 0.45 | 135.87 | 107 273.61 | 172.02 | 0.76 |
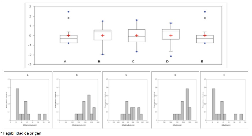
Las altitudes mínimas comprenden un rango entre 25 msnm y 125 msnm y las máximas entre 1 280 msnm y 2 770 msnm, con promedios de 48.85 msnm y 2 122.08 msnm, respectivamente (véanse Tabla 2 y Figura 5). Por su parte, las altitudes medias oscilan entre 547.71 msnm y 1 316.76 msnm, con un promedio de 939.70 msnm, valores que evidentemente acusan un relieve bastante accidentado, tratándose de sistemas hidrogeomorfológicos de pequeñas dimensiones.

Figura 5 Box-plots e histogramas de frecuencia de los parámetros morfométricos: A) altitud mínima (msnm); B) altitud máxima (msnm); C) altitud media (msnm); D) altitud de la naciente de la corriente principal (msnm) y E) altitud del desagüe de la corriente principal (msnm).
Estos fuertes contrastes altimétricos son elocuentes de igual manera en los desniveles de los recorridos de las quebradas y ríos principales; de esta manera, las altitudes de las nacientes se ubican entre 1 200 msnm y 2 550 msnm y las de los desagües entre 25 msnm y 125 msnm en sus salidas en el frente montañoso, con promedios de 2 040.38 msnm y 48.85 msnm, respectivamente (véanse Tabla 2 y Figura 5).
Los marcados desniveles altimétricos definen relieves máximos de magnitudes importantes, lo cual es de esperarse en sistemas hidrogeomorfológicos desarrollados en una vertiente montañosa (relieves máximos entre medianos y altos) (véanse Tabla 2 y Figura 6). Los radios de relieve son muy acusados también (véase Tabla 2), representando altos desniveles promedios del relieve por unidad de longitud de la cuenca, y son indicadores indirectos del incremento de las pendientes de las vertientes en las cuencas, del gradiente hidráulico de los cursos de agua a medida que ascendemos en altura y, por ende, de su potencial erosivo.

Figura 6 Box-plots e histogramas de frecuencia de los parámetros morfométricos: A) Relieve máximo (m); B) radio del relieve (m/km); C) pendiente media del relieve (m/m); D) concavidad del peril longitudinal de la corriente principal y E) pendiente media del peril longitudinal de la corriente principal (m/m).
Las pendientes medias del relieve se corresponden con valores moderados a altos (véanse Tabla 2 y Figura 6), por encima de cuyo promedio destacan los de las cuencas de las quebradas Osorio, Cariaco, El Cojo y San Julián y de los ríos Cerro Grande y Naiguatá. Estos valores de pendientes sugieren un alto potencial hidráulico para la activación de procesos de remoción en masa, principalmente aludes torrenciales y crecientes.
Los valores de concavidad de los perfiles longitudinales de los ríos y quebradas indican para algunos cursos de agua un avanzado estadio de incisión o erosión vertical de sus flujos, condicionados principalmente por la poca resistencia de la litología aflorante a los procesos erosivos; tal es el caso de los perfiles longitudinales de las quebradas Curucutí, Cariaco, El Cojo y San Julián, y de los ríos Naiguatá y Camurí Grande, cuyos valores son los más altos del sector (véase Tabla 2). Otro grupo de cuencas presenta, por el contrario, valores menos pronunciados de concavidad, con perfiles de morfologías más bien tendientes hacia la convexidad, lo cual se atribuye a un mayor control estructural o al afloramiento de litologías de mayor resistencia relativa a los procesos erosivos (véanse Tabla 2 y Figura 6).
Las pendientes medias de los perfiles y el fuerte contraste de gradientes medios entre los segmentos en los que se dividieron los perfiles longitudinales de las quebradas y ríos, son indicadores de la alta probabilidad de estos cursos de agua a experimentar crecidas con hidrogramas de caudales picos elevados y de corta duración, altas velocidades medias del flujo, mayor capacidad de transporte de materiales y menores tiempos de concentración. Los valores más altos los exhiben los cursos de agua cuyas cuencas son las de menos superficies, como las de las quebradas Osorio, Cariaco y Seca y la del río Uria. En las cuencas más grandes, por tener los cursos de agua principales mayores recorridos, sus perfiles longitudinales han sido más atenuados o suavizados por la erosión regresiva, presentando como consecuencia menores valores de pendientes promedios (véanse Tabla 2 y Figura 6).
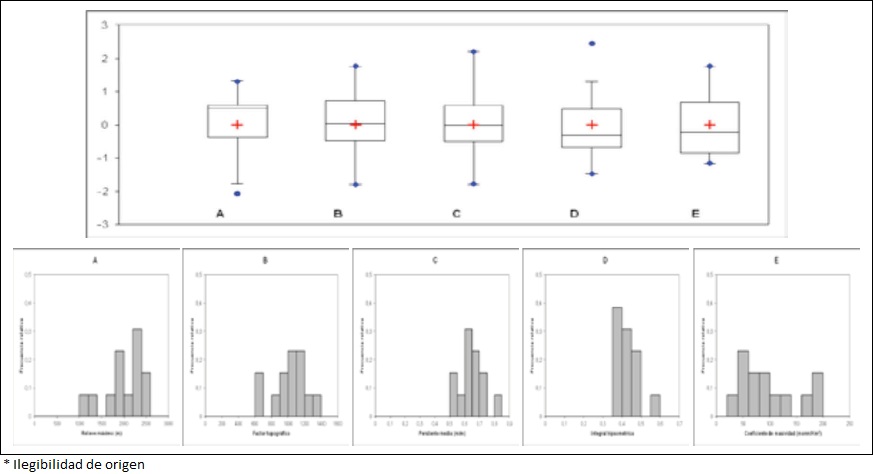
Los valores obtenidos para el relieve máximo de las corrientes principales también expresan fuertes desniveles topográficos entre sus nacientes y sus desagües, condición que define pronunciados y variables gradientes topográficos a lo largo de sus recorridos en el sector montañoso de las cuencas (véanse Tabla 2 y Figura 7).

Figura 7 Box-plots e histogramas de frecuencia de los parámetros morfométricos: A) relieve máximo de la corriente principal (m); B) factor topográico de la corriente principal; C) pendiente media del total de corrientes de la red de drenaje (m/m); D) integral hipsométrica y E) coeiciente de masividad (msnm/km2).
El factor topográfico de las corrientes principales nos expresa una idea de variabilidad promedio de los gradientes topográficos experimentados por los cauces de estas a lo largo de sus recorridos (véanse Tabla 2 y Figura 7). Otro rasgo cuantitativo importante del relieve, y con gran repercusión en el comportamiento torrencial de las cuencas y sus respuestas hidrológicas agresivas, lo constituyen las pendientes medias de los totales de corrientes de las redes de drenaje, denotando importantes gradientes hidráulicos que favorecen la rápida evacuación o drenaje de las aguas de escorrentía concentradas.
En general, todas las cuencas de drenaje del área de estudio muestran bajos valores en cuanto a sus integrales hipsométricas, lo cual es concordante con sus valores de concavidad, indicando un predominio de los procesos erosivos a lo largo del tiempo sobre las tasas de levantamiento tectónico en la región (véanse Tabla 2 y Figura 7).
Los coeficientes de masividad expresan, en líneas generales, valores altos para todas las cuencas de drenaje, los cuales corroboran el desarrollo de sistemas hidrogeomorfológicos típicos de ambientes montañosos (moderadamente montañosos a muy montañosos); sin embargo, es notorio que los valores más elevados en el sector corresponden a las cuencas de menores superficies, como es el caso de las quebradas Osorio, Cariaco, El Cojo, Camurí Chiquito y Seca, debido a las elevadas altitudes medias en estas pequeñas cuencas así como a los desniveles altimétricos máximos observados en las mismas. Estas consideraciones también se aprecian de manera muy similar en los datos de los coeficientes orográficos (véanse Tabla 2 y Figura 8).

Figura 8 Box-plots e histogramas de frecuencia de los parámetros morfométricos: A) coeiciente orográico; B) relieve relativo (m/km) y C) número de rugosidad de Melton.
El relieve relativo, resultado de dividir los valores de relieve máximo entre los perímetros de las cuencas, nos aporta información acerca de lo accidentado del relieve en estos sistemas, observándose que dichos valores son más altos en las cuencas de menores superficies, debido a que la proporción de desnivel o relieve máximo por unidad de longitud del perímetro es mayor (véanse Tabla 2 y Figura 8). De igual manera, los números de rugosidad de Melton son mayores en las cuencas más pequeñas, como consecuencia de mayores proporciones de desniveles altitudinales máximos por unidad de área (véanse Tabla 2 y Figura 8).
Estos parámetros morfométricos del relieve representan factores o elementos condicionantes del comportamiento torrencial de las cuencas estudiadas, así como de la generación de crecidas con caudales picos de magnitudes importantes y cortas duraciones, reducidos tiempos de concentración y un alto potencial morfogenético expresado en la ocurrencia de episodios de procesos de remoción en masa, y en particular de aludes torrenciales.
Análisis de correlación lineal entre parámetros morfométricos del relieve de las cuencas de drenaje
Varios de los parámetros morfométricos de una cuenca y su red de drenaje corresponden a mediciones básicas que se realizan sobre la cartografía de apoyo, y están referidos a expresiones longitudinales, areales, altimétricas, clinométricas y direccionales de atributos de ellas que son estimados o calculados por un software para SIG. Pero la gran mayoría de los parámetros morfométricos de las cuencas y sus redes de drenaje son la expresión de ecuaciones matemáticas que relacionan a las mediciones morfométricas básicas obtenidas de la cartografía.
De allí que exista una relación de correspondencia muy estrecha entre muchos de los parámetros morfométricos de las cuencas y sus redes de drenaje, y que las fluctuaciones o variaciones de muchos de ellos dependen de las variaciones y fluctuaciones de los atributos básicos observados en los sistemas hidrogeomorfológicos.
Sin embargo, para el caso que nos ocupa existen muy pocas correspondencias entre los mismos parámetros del relieve de la cuenca, por lo general los coeficientes de correlación son todos muy bajos; sin embargo, de manera muy dispersa en la matriz se perciben algunas muy buenas correlaciones entre los parámetros altitudinales y de desniveles, así como con las pendientes medias de los perfiles longitudinales de los cursos de agua principales y los parámetros referidos a lo pronunciado del relieve montañoso.
Análisis de componentes principales de los parámetros morfométricos del relieve de las cuencas de drenaje
El primer paso del ACP se basó en el Análisis de la Varianza Total Explicada (AVTE) con el cual se obtuvieron los puntajes y porcentajes parciales y acumulados de los indicadores de las proporciones por las cuales cada uno de los Componentes Principales (CP) explican un número o conjunto determinado de parámetros morfométricos agrupados en dichos componentes (véase Tabla 3).
Tabla 3 Varianza total explicada para los componentes principales de los parámetros morfométricos del relieve.
| Componente | Autovalores iniciales | Sumas de extracción de cargas al cuadrado | Sumas de rotación de cargas al cuadrado | ||||||
|---|---|---|---|---|---|---|---|---|---|
| Total | % de varianza | % acumulado | Total | % de varianza | % acumulado | Total | % de varianza | % acumulado | |
| 1 | 7.548 | 41.935 | 41.935 | 7.548 | 41.935 | 41.935 | 6.149 | 34.161 | 34.161 |
| 2 | 5.415 | 30.082 | 72.016 | 5.415 | 30.082 | 72.016 | 5.757 | 31.984 | 66.145 |
| 3 | 1.971 | 10.952 | 82.969 | 1.971 | 10.952 | 82.969 | 2.274 | 12.636 | 78.781 |
| 4 | 1.520 | 8.446 | 91.415 | 1.520 | 8,446 | 91.415 | 2.274 | 12.634 | 91.415 |
El programa estimó cuatro CP que, en conjunto, explican al 91,42% de los parámetros morfométricos del relieve, aunque son los dos primeros los que mayor proporción albergan en la explicación de los mismos, con porcentajes parciales de 41,94% y 30,08% respectivamente, que en conjunto representan un 72,02%. Con las rotaciones de las sumas de las cargas al cuadrado, los porcentajes parciales de la varianza total explicada de los CP 1 y 2 se equipararon al igual que entre los CP 2 y 4, con lo cual los porcentajes acumulados hasta el CP 3 disminuyeron en comparación con los porcentajes acumulados alcanzados con los autovalores iniciales (véanse Tabla 3 y Figura 9).

Figura 9 Gráico de sedimentación de los componentes principales de los parámetros morfométricos del relieve.
En atención a las puntuaciones (pesos) factoriales, los parámetros morfométricos del relieve de las cuencas se jerarquizan de la siguiente manera (véase Tabla 4): a) en el CP 1 los parámetros pendiente media del relieve, altitud máxima, relieve máximo, concavidad del perfil longitudinal de la corriente principal, altitud de la naciente, relieve máximo de la corriente principal, pendiente media del total de corrientes de la red de drenaje, altitud media y factor topográfico de la corriente principal; b) en el CP 2 los parámetros coeficiente orográfico, pendiente media del total de corrientes de la red de drenaje, pendiente media del relieve, relieve relativo, número de rugosidad de Melton, coeficiente de masividad y radio del relieve; c) en el CP 3 los parámetros altitud mínima, altitud del desagüe, concavidad del perfil longitudinal de la corriente principal, pendiente media del relieve, factor topográfico de la corriente principal, pendiente media del total de las corrientes de la red de drenaje y pendiente media del perfil longitudinal de la corriente principal y d) en el CP 4 los parámetros integral hipsométrica, concavidad del perfil longitudinal de la corriente principal, pendiente media del total de corrientes de la red de drenaje, altitud media, factor topográfico de la corriente principal, coeficiente orográfico y pendiente media del perfil longitudinal de la corriente principal.
Tabla 4 Coeicientes de las puntuaciones (pesos) en los componentes principales de los parámetros morfométricos del relieve.
| Variable gradiente y forma del relieve de la cuenca | Componente | |||
|---|---|---|---|---|
| 1 | 2 | 3 | 4 | |
| Altitud mínima (msnm) | 0.033 | 0.023 | -0.382 | -0.035 |
| Altitud máxima (msnm) | 0.166 | -0.005 | -0.032 | -0.038 |
| Altitud media (msnm) | 0.120 | 0.022 | -0.082 | 0.187 |
| Altitud de la naciente (msnm) | 0.146 | -0.031 | 0.046 | 0.061 |
| Altitud del desagüe (msnm) | 0.033 | 0.023 | -0.382 | -0.035 |
| Relieve máximo (m) | 0.160 | -0.007 | -0.005 | -0.035 |
| Radio del relieve (m/km) | 0.006 | 0.138 | 0.058 | -0.059 |
| Pendiente media del relieve (m/m) | 0.209 | 0.181 | -0.246 | -0.029 |
| Concavidad del perfil longitudinal de la corriente principal | 0.154 | 0.059 | -0.295 | -0.338 |
| Pendiente media del perfil longitudinal de la corriente principal (m/m) | -0.065 | 0.043 | 0.174 | -0.151 |
| Relieve máximo de la corriente principal (m) | 0.138 | -0.032 | 0.073 | -0.057 |
| Factor topográfico de la corriente principal | 0.104 | -0.008 | 0.193 | -0.168 |
| Pendiente media del total de corrientes de la red de drenaje (m/m) | 0.121 | 0.190 | -0.185 | 0.195 |
| Integral hipsométrica | -0.031 | 0.042 | -0.032 | 0.451 |
| Coeficiente de masividad (msnm/km2) | -0.052 | 0.147 | -0.011 | 0.047 |
| Coeficiente orográfico | 0.007 | 0.195 | -0.058 | 0.154 |
| Relieve relativo (m/km) | 0.020 | 0.174 | -0.048 | -0.028 |
| Número de rugosidad de Melton | 0.027 | 0.165 | -0.001 | -0.040 |
Conclusiones
Desde el punto de vista geomorfológico las cuencas de drenaje del sector estudiado se conciben como sistemas hidrogeomorfológicos o hidromorfodinámicos exorreicos en los que se distinguen tres unidades de relieve características de estos sistemas de ambientes montañosos, como lo son una cuenca de recepción, un canal de desagüe principal y un cono o abanico aluvial, cada uno de ellos con rasgos morfológicos (formas de relieve) propios y procesos geomorfológicos distintivos.
Estas particularidades se presentan comúnmente en sistemas hidrogeomorfológicos categorizados como microcuencas, cuyas vertientes de los contextos montañosos en las que estas se emplazan muestran, por lo general, una contrastante relación de vecindad con la topografía de las áreas más planas adyacentes, entre las cuales se desarrollan planos inclinados transicionales o piedemontinos representados por los depósitos de los abanicos aluviales.
Las formas de relieve en el área de interés se agrupan en dos grandes conjuntos, las que son producto de la actividad depositacional de las quebradas y ríos principales, predominando primordialmente en los fondos de los valles de los canales principales de desagüe de estas hasta sus desembocaduras y en las áreas piedemontinas (abanicos aluviales), y las que han sido modeladas por la acción erosiva del trabajo fluvial de las redes de drenaje de las cuencas, y son distintivas principalmente de las vertientes del sector montañoso.
Las quebradas y ríos del sector de estudio son cursos de agua de muy corto recorridos desde sus nacientes hasta sus salidas en el frente de montaña, e incluso considerándolas hasta sus desembocaduras en el mar, a lo largo de los cuales exhiben fuertes cambios de pendientes y, por ende, de sus gradientes hidráulicos con valores altos, típicos de sistemas torrenciales de ambientes montañosos con características del relieve muy marcadas, determinantes con gran peso en la generación de respuestas hidrológicas súbitas que muestran hidrogramas de crecidas de pronunciados picos máximos instantáneos y muy cortos tiempos de concentración.
En atención a los parámetros morfométricos del relieve de las cuencas y sus redes de drenaje, las definen como espacios topográficamente muy accidentados de fuertes pendientes y grandes desniveles altitudinales. Estos parámetros morfométricos están representados con mayor énfasis por las pendientes de los perfiles longitudinales de las quebradas y ríos principales y lo pronunciado del relieve montañoso (coeficiente de masividad, coeficiente orográfico y número de rugosidad de Melton).
En cuanto al análisis de correlación lineal entre los mismos parámetros morfométricos del relieve, en la mayoría de los casos se observaron muy bajas correlaciones entre estos; sin embargo, existen pocos casos con buenas y altas correspondencias entre sí, lo cual se debe principalmente a las relaciones matemáticas y geométricas que guardan entre ellos.
El análisis de componentes principales (ACP) permitió reducir la dimensionalidad de los parámetros morfométricos del relieve, definiendo como nuevas variables a los cuatro (04) componentes o factoriales creados, es decir, dieciocho (18) parámetros morfométricos originales fueron reducidos a cuatro nuevas variables o parámetros que los sintetizan. De acuerdo con este ACP (con base en el primer componente principal) los mayores pesos recaen en los parámetros pendiente media del relieve, altitud máxima, relieve máximo, concavidad del perfil longitudinal de la corriente principal y altitud de la naciente. En otras palabras, estos parámetros son los que tienen mayor peso en el control que ejerce el relieve sobre la dinámica hidrogeomorfológica de las cuencas de drenaje estudiadas.










nueva página del texto (beta)




