SciELO - Scientific Electronic Library Online

 
vol.24Islas Chafarinas, frontera insular y nuevos retos de promoción turísticaPertinencia cultural del currículo en escuelas de la trifrontera norte de Chile: dilemas y desafíos índice de autoresíndice de materiabúsqueda de artículos
Home Pagelista alfabética de revistas  

Servicios Personalizados

Revista

Articulo

Indicadores

Links relacionados

  • No hay artículos similaresSimilares en SciELO

Compartir


Estudios fronterizos

versión On-line ISSN 2395-9134versión impresa ISSN 0187-6961

Estud. front vol.24  Mexicali  2023  Epub 19-Ago-2024

https://doi.org/10.21670/ref.2311122 

Artículos

Evaluación del proyecto de saneamiento transfronterizo en Ambos Nogales. Identificación de lo homogéneo y lo diverso

Rigoberto García Ochoaa  * 
http://orcid.org/0000-0001-9379-3473

Adriana Alejandra Zuniga Teranb 
http://orcid.org/0000-0003-2912-2469

Luis Ernesto Cervera Gómezc 
http://orcid.org/0000-0003-0495-7590

Christopher Scottd 
http://orcid.org/0000-0002-6767-0450

Sergio Peñaa 
http://orcid.org/0000-0002-9505-4057

Tomas Balarezo Vasqueze 
http://orcid.org/0009-0006-3569-6572

Stephanie Buechlerf 
http://orcid.org/0000-0001-8118-6369

Jorge Alberto Muñán Valenciag 
http://orcid.org/0009-0000-4700-287X

Karina Guadalupe Martínez Molinah 
http://orcid.org/0000-0001-6730-9860

a El Colegio de la Frontera Norte, Departamento de Estudios Urbanos y del Medio Ambiente, Nogales, México, correo electrónico: rigo@colef.mx, spena@colef.mx

b University of Arizona, Escuela de Geografía, Desarrollo y Medio Ambiente, Centro Udall para Estudios en Política Pública, Tucson, Estados Unidos, correo electrónico: aazuniga@arizona.edu

c El Colegio de Chihuahua, Ciudad Juárez, México, correo electrónico: lcervera@colech.edu.mx y Conagua, Subdirección de Consejos de Cuenca, Chihuahua, México, correo electrónico: lcervera@conagua.gob.mx

d Penn State University, Departamento de Ciencia y Gestión de Ecosistemas, Facultad de Ciencias Agrícolas, University Park, Pennsylvania, Estados Unidos, correo electrónico: cascott@psu.edu

e Banco de Desarrollo de América del Norte, Dirección de Gestión del Conocimiento y Desarrollo Institucional, Ciudad Juárez, México, correo electrónico: tbalarezo@nadb.org

f Penn State University, Ag Sciences Global, University Park, Pennsylvania, Estados Unidos, correo electrónico: buechler@psu.edu

g Instituto Tecnológico de Nogales, Departamento de Ciencias Económico Administrativas, Nogales, México, correo electrónico: Alberto.mv@nogales.tecnm.mx

h Universidad de Arizona, candidata a doctor, Tucson, Estados Unidos, correo electrónico: kgmartinez@arizona.edu [Investigadora independiente, Tucson, Estados Unidos, correo electrónico: kgmartinez@arizona.edu]


Resumen:

Este artículo tiene como objetivo caracterizar a la población de Ambos Nogales en función de sus opiniones sobre los impactos generados por el proyecto de ampliación y evaluación de proyectos de modernización del sistema de saneamiento transfronterizo durante el periodo 2000-2018, para identificar criterios de evaluación ex post que fortalezcan estrategias de gobernanza de políticas públicas en materia de agua y saneamiento. Se aplicó una encuesta aleatoria representativa a nivel ciudad. El análisis de información se realizó mediante el método de conglomerados jerárquicos y el método de análisis de correspondencias múltiples. Los resultados evidencian la conformación de grupos o segmentos de población con alta homogeneidad interna y alta heterogeneidad intergrupal en ambas ciudades, evidencia empírica permite construir una tipología de grupos de población. Como conclusión, se propone una serie de acciones con el objetivo de impulsar una gobernanza transfronteriza y sostenible tendiente a mejorar la opinión pública sobre dicha obra.

Palabras clave: Ambos Nogales; correspondencias múltiples; saneamiento transfronterizo

Abstract:

This article aims to characterize the Ambos Nogales population according to the opinions of the impacts generated by the expansion and modernization cross-border sanitation system project during 2000-2018 and identify ex post evaluation criteria to strengthen governance strategies for the public policies on water and sanitation. A representative random survey was applied at the city level. The information analysis was performed using the hierarchical cluster and multiple correspondence analysis methods. The results show the formation of groups of cities or population segments with high internal homogeneity and high intergroup heterogeneity. This empirical evidence allows us to build a typology of public opinion. Finally, to improve public opinion on this project, a series of actions aimed at promoting sustainable transboundary governance are proposed.

Keywords: Ambos Nogales; multiple correspondences; cross-border sanitation

Introducción

El sistema de saneamiento de Ambos Nogales, zona metropolitana transfronteriza binacional conformada por las ciudades de Nogales, Sonora, y Nogales, Arizona, ha requerido históricamente de una cercana colaboración entre las autoridades de México y Estados Unidos en materia de agua a escala nacional, estatal y local, ya que las características topográficas de esta zona provocan que aproximadamente 60 % de las aguas residuales generadas en el lado mexicano fluyan por gravedad al lado estadounidense (Acta 206 Operación y mantenimiento común del sistema sanitario internacional de Nogales, Comisión Internacional de Límites y Aguas entre México y los Estados Unidos, 1958). Ante esta situación, ha sido más factible técnica y económicamente tratar las aguas residuales en el lado estadounidense ya que en el lado mexicano no se cuenta con el espacio necesario para una obra de esta naturaleza y, si lo hubiere, saldría muy costoso bombear las aguas tratadas para su reúso en la ciudad.

La transformación demográfica y económica de Ambos Nogales ocurrida durante el siglo XX hizo necesario que en 1972 se ampliara el sistema de saneamiento transfronterizo, para ello se construyó una nueva planta internacional de tratamiento de aguas residuales (PITAR) y un colector internacional por la sección estadounidense de la Comisión Internacional de Límites y Aguas (CILA) y el gobierno de la ciudad de Nogales, Arizona. El gobierno de la ciudad de Nogales, Sonora, construyó, por su parte, un colector que conduce las aguas residuales hasta la frontera internacional. Con el paso de los años este sistema transfronterizo fue insuficiente para atender las necesidades de saneamiento de una población creciente, por lo cual las autoridades estadounidenses implementaron en 2000 el proyecto de expansión de la PITAR, el reemplazo del interceptor del colector internacional (CI) y partes del sistema de recolección de aguas residuales de Nogales, Arizona. El objetivo de esta obra fue expandir la capacidad de tratamiento de aguas residuales de 454 a 973 litros por segundo para tratar las aguas residuales de Ambos Nogales, que en 80 % provienen del lado mexicano. De la misma manera, las autoridades mexicanas implementaron en 2004 el proyecto Rehabilitación del sistema de alcantarillado en Nogales, Sonora que consistió en la rehabilitación de aproximadamente 30 000 metros lineales de drenaje, prácticamente la totalidad del sistema de alcantarillado sanitario de la ciudad (Banco de Desarrollo de América del Norte [BDAN], 2004). Posteriormente, en 2012 entró en operación la planta de tratamiento de aguas residuales Los Alisos, localizada al sur de Nogales, Sonora, la cual no forma parte del sistema de saneamiento transfronterizo, pero representa una alternativa para que la ciudad pueda tratar y aprovechar un volumen mayor de las aguas residuales tratadas (Meranza-Castillón et al., 2017; Tapia-Villaseñor et al., 2020).

En esta línea, el diseño e implementación de estas obras fue el resultado de una estrategia de política pública binacional que reconoció la naturaleza transfronteriza del sistema de saneamiento de Ambos Nogales, sistema que se rige por el tratado de aguas internacionales entre México y Estados Unidos firmado en 1944. Al respecto, Aguilar Villanueva y Bustelo Ruesta (2010) comentan que la nueva gobernanza tendiente a resolver problemas públicos requiere de mecanismos de evaluación para conocer sus resultados, ya que pueden mejorar el funcionamiento u operación de la acción o política implementada, fortalecer la rendición de cuentas de los diferentes actores públicos y privados involucrados y mejorar acciones futuras.

Cabe destacar que el tema de las aguas transfronterizas en Ambos Nogales, que corresponde al acuífero Santa Cruz, ha sido tema de investigación científica, sin embargo, no se encontraron trabajos que analicen el impacto en la opinión de la población por las obras o proyectos derivados de la política pública transfronteriza. La mayoría de estas investigaciones han abordado temas tales como simulaciones hidrogeológicas de dicha cuenca (Tapia Padilla, 2005); sobre la futura demanda y disponibilidad de agua debido a los efectos del cambio climático y el crecimiento demográfico de Ambos Nogales y Tucson, Arizona (Scott et al., 2012; Tapia-Villaseñor et al., 2020), así como en general en la región transfronteriza de México y Estados Unidos (Varady et al., 1999); sobre la descarga de aguas residuales en sistema de saneamiento transfronterizo o el diseño de marcos conceptuales para evaluar los servicios ecosistémicos de los afluentes de aguas residuales tratadas (Norman et al., 2013).

Al tomar en cuenta la complejidad consustancial a la gobernanza de este tipo de proyectos, los cuales abarcan dimensiones técnicas, legales, topográficas, gubernamentales y, sobre todo, que implica brindar a plenitud un derecho humano tan fundamental como lo es el acceso al agua y al saneamiento, se consideró que es científicamente relevante conocer la opinión de la población sobre cómo perciben los impactos generados. En el caso que aquí se presenta, la evaluación ex post propuesta puede constituirse en un mecanismo de retroalimentación para evaluar los impactos económicos, sociales, urbanos y ambientales de dicho proyecto, y generar conocimiento empírico que pueda convertirse en un insumo analítico para diseñar mecanismos de gobernanza en futuras políticas o acciones de saneamiento transfronterizo.

Con estos antecedentes, el objetivo de este trabajo es caracterizar a la población de Ambos Nogales en función de sus opiniones y percepciones sobre los impactos generados por el proyecto de ampliación y modernización del sistema de saneamiento transfronterizo, para identificar criterios de evaluación ex post que fortalezcan estrategias de gobernanza de políticas públicas en materia de agua y saneamiento.

El trabajo se estructura de la siguiente manera. En la primera sección se explica el marco teórico y conceptual con el que se aborda esta investigación, el cual se fundamenta en la relevancia que adquieren los mecanismos de evaluación de políticas públicas. Después se comenta la estrategia metodológica que se compone de cinco etapas: explicación de los criterios de evaluación seleccionados, construcción de indicadores, descripción de la fuente de información, método de análisis y marco espacial y temporal. Enseguida se analizan los resultados obtenidos en Ambos Nogales, tanto del lado mexicano como del estadounidense. Después y, con base en dichos resultados, se desarrolla brevemente una serie de temas que, a juicio de los autores, son relevantes para fortalecer las estrategias o mecanismos de gobernanza de políticas públicas relacionadas con el agua y el saneamiento. Por último, se presentan los comentarios finales y las conclusiones.

Evaluación de políticas públicas

La evaluación de políticas públicas es una disciplina que se avoca al análisis de resultados, eficacia y eficiencia de las acciones implementadas por los gobiernos en sus diferentes niveles para resolver problemas públicos. Como lo señalan Lara Caballero y De León Calderón (2018), esta disciplina está cobrando relevancia científica dentro de las ciencias sociales ya que implica conocer, además de cómo se gobierna, los resultados o impactos derivados de las acciones gubernamentales. En esta línea, Aguilar Villanueva (2015, p. 42) advierte sobre una “reactivación de la naturaleza pública” en el sentido de que estas deben orientarse al beneficio de la población y, además, los ciudadanos deben tomar parte en “la deliberación de los asuntos públicos, así como en su puesta en práctica y evaluación” (Aguilar Villanueva, 2015).

Dadas las circunstancias específicas del objeto de estudio, es decir, su naturaleza inherentemente transfronteriza, se considera que la evaluación ex post del proyecto en cuestión puede generar conocimiento empírico relevante en el tema de las políticas públicas binacionales, ya que implica conocer los resultados obtenidos de acciones implementadas por los gobiernos (de todos los niveles) de dos países. En este sentido, la Figura 1 resume esquemáticamente el marco teórico con el cual se aborda esta investigación y que se describe a continuación.

Fuente: elaboración propia con base en Aguilar Villanueva (2015), Lara Caballero y De León Calderón (2018) y Méndez Martínez (2020)

Figura 1 Marco conceptual 

En primer lugar, se identifican dos visiones diferentes entre México y Estados Unidos sobre el carácter legal de este tema. En México, desde 2012 el derecho humano al agua y saneamiento se elevó a rango constitucional, con lo cual el Estado debe garantizar que “… toda persona tiene derecho al acceso, disposición y saneamiento de agua para consumo personal y doméstico en forma suficiente, salubre, aceptable y asequible” (Comisión Nacional de los Derechos Humanos [CNDH], 2014, p. 5). Estados Unidos, por el contrario, si bien promueve la universalidad de este servicio, no acepta que esta responsabilidad sea de carácter legal a través de la figura de los derechos humanos. Independientemente de estas visiones legales en ambos países, el tratado de aguas internacionales, que data de 1944, establece que México y Estados Unidos están obligados a resolver de manera preferente los problemas fronterizos de saneamiento (Comisión Internacional de Límites y Aguas entre México y los Estados Unidos [CILA], 1944). La variedad de actores y tomadores de decisiones, así como el marco constitucional, legal e institucional de ambos países, hace compleja la evaluación de este tipo de políticas públicas.

En México la administración del agua corresponde al gobierno federal por medio de la Comisión Nacional del Agua (Conagua), aunque los gobiernos estatales y municipales cuentan con algunas atribuciones. En Estados Unidos el manejo se lleva a cabo por las ciudades y pueblos mediante comisiones que son reguladas por las entidades a nivel estatal. Las agencias federales que velan los intereses de cada país en zonas fronterizas son la Comisión Internacional de Límites y Aguas (CILA) en México y la International Boundary and Water Commission (IBWC) en Estados Unidos.

Aguilar Villanueva (2015) señala que las políticas públicas se caracterizan por una dualidad técnico y política, planteamiento que se confirma en el caso específico de este estudio. Por un lado, toda política de saneamiento tiene un componente técnico ya que los proyectos que deriven de este tipo de políticas requieren de un conocimiento especializado en materia de ingeniería, diseño de sistemas, medición y evaluación de los niveles de contaminación de las aguas residuales. Por el otro, tiene un componente inherentemente político ya que, al satisfacer una necesidad humana tan fundamental como lo es el agua y su saneamiento, se busca el beneficio social de la población. Además, no se puede obviar que la naturaleza vital del agua la convierte en un factor de poder, a tal grado que las mismas aguas residuales tratadas están adquiriendo un valor económico cada vez más importante (Scott & Raschid, 2012), ya sea por su papel en la sostenibilidad de recursos hídricos en el contexto urbano (Li et al., 2020; Scott & Pineda Pablos, 2011), por su uso en el sector agrícola (Hamilton et al., 2005), así como por su valor ecológico en el mantener niveles hídricos en los ríos (Alcon et al., 2012), sobre todo en regiones áridas con alto estrés hídrico como lo es precisamente la zona transfronteriza Sonora-Arizona. Cáñez Cota (2022) advierte al respecto que la gobernanza y gestión de aguas transfronterizas entre México y Estados Unidos requiere que exista confianza entre los actores institucionales de ambos países, confianza que se habilita por medio de una ética compartida que se materializa a su vez en acciones concretas que evidencian la cooperación binacional, pero al mismo tiempo se enfrenta a obstáculos culturales debido a los estilos diferentes de socialización entre dichos actores. Estos supuestos permiten inferir que todo sistema de saneamiento transfronterizo, si bien requiere necesariamente de la cooperación técnica entre los especialistas de ambos países, también requiere de un manejo político e institucional adecuado, ya que el uso o disposición de las aguas tratadas puede ser tema de controversia.

En el tema concreto de la evaluación, Méndez Martínez (2020) advierte que hay toda una serie de alternativas para evaluar las políticas públicas, por ejemplo, evaluación de objetivos, de progreso, de personal, o de impacto. En esta misma línea, Salazar Vargas (2009) habla sobre evaluaciones de diseño, de procesos, de resultados, de impactos y de indicadores. Este caso corresponde a una evaluación de impacto en el sentido que se busca conocer los efectos producidos exclusivamente por el proyecto de saneamiento transfronterizo que fue implementado con base en una política pública binacional, es decir, los cambios ex post producidos por la modernización de dicho sistema. Además, se incorpora la opinión y percepción de la población como un aporte metodológico que complementa el análisis de indicadores objetivos tradicionalmente utilizados en este tipo de evaluaciones. Los indicadores tradicionales se refieren a indicadores cuantitativos tales como volumen adicional y calidad del agua tratada, porcentaje de población con acceso al agua y saneamiento, evolución de enfermedades gastrointestinales antes y después de la construcción del drenaje, y otros. Se plantea entonces que los indicadores subjetivos o de opinión pública aquí construidos pueden convertirse en un insumo de análisis relevante para conocer de manera integral los impactos producidos por el proyecto en cuestión, con lo cual las personas adquieren el rol de agentes sociales clave. Si la política pública tiene como fin principal lograr el bienestar de la población, se considera que es indispensable conocer su opinión y percepción en lo referente a los resultados concretos de estas políticas.

Ahora bien, se debe precisar que la evaluación de políticas públicas no se hace en un limbo espacial-temporal. En términos espaciales, es claro que se habla de un proyecto de saneamiento ejecutado en dos ciudades que conforman una zona metropolitana transfronteriza binacional con una dinámica económica, social y cultural propia. En términos temporales, se destaca la importancia que adquieren los valores inherentes al ejercicio de evaluación de toda política pública ya que estos son relativos en el tiempo. Lara Caballero y De León Calderón (2018) apuntan en esta línea que si los valores fueran constantes o invariables en el tiempo sería muy difícil lograr cualquier cambio a nivel individual o social, pero si fueran completamente inestables sería imposible también lograr una continuidad. De esta manera, los valores o prioridades cambian para lograr un equilibrio entre el cambio y continuidad individual y social, pero, sobre todo, marcan la pauta para analizar el nivel de estabilidad de las decisiones que se toman en torno a las políticas públicas (Rokeach, 1973).

Lara Caballero y De León Calderón (2018) comentan al respecto sobre cinco valores instrumentales que influyen en los criterios para evaluar las políticas públicas (véase Tabla 1): i) equidad; ii) libertad; iii) fraternidad; iv) eficiencia; y, v) crecimiento económico.

Tabla 1 Valores implícitos en la implementación y evaluación de políticas públicas 

Valor Descripción Fuente
Equidad Compensar condiciones iniciales, por ejemplo, de aquellos que nacen en condiciones de pobreza. Igualdad de oportunidades. Justicia en la distribución de bienes y servicios Lara Caballero y De León Calderón (2018)
Libertad Actuar sin restricciones o control
Fraternidad Sentido comunitario, sensación de unidad y solidaridad
Eficiencia Realizar actividades y cumplir con funciones de acuerdo con el presupuesto disponible
Crecimiento económico Ingreso económico como motor del desarrollo económico y social
Sustentabilidad Desarrollo sustentable sustituye al mero crecimiento económico. Se incorpora la dimensión ecológica al proponer que el crecimiento económico debe propiciar un respeto al medio ambiente y al bienestar social Propuesta original

Fuente: elaboración propia

Al respecto, se plantean dos puntos para este trabajo. En primer lugar, se considera que es necesario incorporar el valor de la sustentabilidad ambiental ya que, desde la década de 1970, es reconocida como un criterio axiológico que cuestiona al crecimiento económico como el indicador clave del desarrollo. Ante esta situación, se propone que es necesario agregar el valor de la sustentabilidad para incorporar los temas ecológicos y medio ambientales que, dicho sea de paso, ya están presentes, al menos discursivamente, en prácticamente toda política o instrumento de desarrollo en todos los niveles de gobierno. En segundo lugar, es importante subrayar lo que Lara Caballero y De León Calderón (2018, p. 41) denominan como “inconsistencias conceptuales” entre estos valores, en el sentido de que no se les puede asignar el mismo peso a todos ellos cuando se evalúan las políticas públicas, por lo que cada política pública en particular, dependiendo del tiempo y espacio en el cual se implemente y evalúe, llevará implícitas cargas valorativas diferentes. Cabe precisar en este punto que cada sociedad determina sus prioridades en materia de política pública, prioridades que derivan precisamente de los valores establecidos e identificados por los evaluadores. En este sentido, se considera que este trabajo adquiere una relevancia conceptual y metodológica sobre el tema ya que se está analizando la opinión de una población transfronteriza internacional. Esto da pie a que se pueda evaluar comparativamente cómo las sociedades de dos ciudades fronterizas, que pertenecen a dos países, valoran los resultados de una política pública específica en materia de saneamiento.

Metodología

Dimensiones

Para medir la opinión y percepción de la población en Ambos Nogales sobre los impactos generados por el proyecto de saneamiento transfronterizo se procedió a construir indicadores correspondientes a seis temas específicos (véase Figura 2): 1) desarrollo urbano; 2) desarrollo económico; 3) cooperación binacional; 4) medio ambiente; 5) funcionamiento del sistema; y, 6) operación transfronteriza. Por otra parte, de los seis valores instrumentales resumidos en la Tabla 1 se toman los siguientes cuatro: 1) equidad; 2) crecimiento económico; 3) sustentabilidad; y, 4) eficiencia. Desde esta perspectiva, y con base en los argumentos de Lara Caballero y De León Calderón (2018) comentados en la sección anterior sobre la variabilidad y aplicabilidad de los valores en el tiempo, se excluyeron los valores de fraternidad y libertad.

Fuente: elaboración propia

Figura 2 Valores y dimensiones analizadas 

Para seleccionar estos indicadores y valores se realizó primero una serie de entrevistas a actores clave que fueron testigos de los cambios ocurridos en Ambos Nogales a raíz de la implementación del proyecto de saneamiento transfronterizo. En total se realizaron siete entrevistas semiestructuradas, cuatro a funcionarios públicos, dos de Sonora y dos de Arizona, y tres a usuarios conocedores del tema de agua y saneamiento, dos de Sonora y uno de Arizona. Es decir, tanto los valores instrumentales de esta política pública específica, como los indicadores de impacto ex post, fueron seleccionados de acuerdo con las opiniones de los actores clave. La información recabada y su posterior discusión y análisis permitió construir este marco de análisis para evaluar los resultados del proyecto en función de la opinión y percepción de la población.

Fuente de datos

Una vez definidos los indicadores, se aplicó una encuesta de percepción con representatividad estadística a nivel ciudad para conocer la aceptación social de la población que habita en el área de influencia de las obras de infraestructura implementadas. De acuerdo con lo explicado sobre las características del sistema de saneamiento transfronterizo en la sección de introducción, en el lado mexicano las preguntas hicieron referencia al proyecto de drenaje, mientras que en el lado estadounidense fue sobre el emisor internacional y la PITAR. Los resultados se resumen en la Tabla 2.

Tabla 2 Estadísticos descriptivos en Ambos Nogales 

Localidad Temas Opinión Promedio
Muy alta(5) Alta(4) Ni alto ni bajo(3) Bajo(2) Muy bajo(1)
Nogales, Sonora Funcionamiento 11% 51% 21% 12% 5% 3.5
Desarrollo económico 5% 66% 26% 3% 0% 3.7
Medio ambiente 9% 44% 32% 12% 4% 3.4
Desarrollo urbano 13% 60% 23% 3% 0% 3.8
Cooperación binacional 21% 56% 22% 1% 0% 4.0
Operación transfronteriza 17% 16% 16% 37% 13% 2.9
Nogales, Arizona Funcionamiento 25% 61% 6% 6% 2% 4.0
Desarrollo económico 13% 63% 20% 4% 0% 3.9
Medio ambiente 8% 71% 17% 4% 0% 3.8
Desarrollo urbano 6% 75% 16% 3% 0% 3.8
Cooperación binacional 12% 70% 15% 2% 1% 3.9
Operación transfronteriza 84% 10% 3% 2% 1% 4.7

Fuente: elaboración propia con base en los resultados de la encuesta aplicada

El tamaño de la muestra en cada ciudad se determinó de la siguiente manera: la población total localizada en el área de influencia de la obra de drenaje en Nogales, Sonora, es aproximadamente 80 000 habitantes, población que reside en cerca de 28 000 viviendas localizadas en 1 107 manzanas. La lista de usuarios fue proporcionada por el organismo operador de agua de Nogales, información que permitió estimar un tamaño de muestra de 650 viviendas (N = 650), con un nivel de confianza de 99 % y un margen de error de 5 %. En el caso de Nogales, Arizona, la población objetivo es aquella que reside en las cercanías o márgenes (izquierdo y derecho) del emisor internacional que concentra el flujo de aguas residuales de Ambos Nogales, la cual asciende a aproximadamente 20 000 habitantes. Esta selección obedece al hecho de que en dicha área vive la población que percibe directamente el funcionamiento del sistema de drenaje y tratamiento de aguas residuales. El tamaño de la muestra se calculó igual como se hizo en Nogales, Sonora, con lo cual se obtuvo una muestra de 96 personas (N = 96), aunque al final del trabajo de campo en Nogales, Arizona, se encuestó a un total de 100 personas.

Las respuestas de los encuestados sobre los seis indicadores se categorizaron en función de una escala de Likert compuesta por cinco niveles de valoración que miden la opinión o percepción de las personas sobre el impacto generado por el proyecto de saneamiento transfronterizo, a los que se les asignó la siguiente puntuación: a) muy alto, 5; b) alto, 4; c) ni alto ni bajo, 3; d) bajo, 2; y, e) muy bajo, 1. La Tabla 2 resume los estadísticos descriptivos de los resultados obtenidos con esta encuesta, específicamente el porcentaje de casos agrupados en cada categoría, así como la puntuación promedio obtenida.

Análisis de información

Para caracterizar a la población en función de los niveles de respuestas obtenidas en los seis indicadores considerados en este estudio se procedió a conocer el patrón de relaciones entre las categorías de los indicadores y los casos mediante el análisis de correspondencias múltiple (ACM). El ACM es una técnica de análisis multivariado que permite visualizar gráficamente el patrón de relaciones tanto de las categorías (variables o columnas) como de los casos o personas (filas). Esta representación gráfica se muestra en un mapa factorial conformado por dos o máximo tres dimensiones.1 El procedimiento inicia con la identificación de las dimensiones o factores con sus respectivos valores (eigenvalues) ordenados de manera jerárquica. Es decir, la primera dimensión, que es el eje de las abscisas o X, tiene un valor propio más grande que el correspondiente a la segunda dimensión o eje de las ordenadas o Y. Este procedimiento es muy parecido al que se realiza en el análisis factorial de componentes principales (ACP), pero una diferencia fundamental entre ambos es que el ACP trabaja con variables continuas (cuantitativas) que pueden expresarse en diferentes escalas de medidas, mientras que el ACM trabaja exclusivamente con variables categóricas que pueden ser nominales u ordinales.

Ahora bien, el patrón de relaciones entre las variables que se muestra en el mapa factorial es una expresión de la diferencia que existe entre los perfiles fila o columna (perfiles de los casos o de las categorías de las variables) y los perfiles promedio (igual fila o columna). El origen de las coordenadas en el mapa factorial (plano cartesiano) corresponde al perfil promedio y la distancia entre los puntos expresa la similitud de perfiles, es decir, mientras más cercanos estén dos o más puntos, más similares son, y mientras más alejados, más diferentes. Un concepto clave dentro del ACM es el de inercia, que se define como el valor chi-cuadrado dividido por el número total de casos (χ2/N), y mide la diferencia de dispersión entre los perfiles (fila o columna) y el perfil medio. Al origen del plano factorial, es decir, el punto donde se cruzan las dimensiones o ejes, se le denomina centro de gravedad, y los puntos que se encuentran cercanos al origen son los que tienen la inercia menor ya que representan a los perfiles medios. Por el contrario, los puntos que se encuentran más alejados del origen son los que tienen una inercia mayor y representan a los perfiles que se distinguen más de los perfiles medios. De esta manera, las nubes de puntos, tanto de las categorías y los casos que se observaron en un mapa factorial, permiten conocer el nivel de distinción que existe en una población dada sobre un tema específico. En este caso, permite conocer la distinción con base en las opiniones expresadas sobre los seis indicadores con los cuales se midió el impacto generado por el proyecto de saneamiento transfronterizo.

Una vez identificado el patrón de relaciones entre las categorías de los seis indicadores analizados, se aplicó un análisis de conglomerados k medias con el objetivo de identificar grupos o segmentos de población con dos características principales: i) una alta homogeneidad interna, es decir, los miembros de cada grupo o conglomerado son muy parecidos entre sí en función de sus opiniones expresadas sobre el proyecto de saneamiento; y, ii) una alta heterogeneidad intergrupal, lo cual significa que los grupos encontrados presentan una diferenciación estadísticamente representativa. Por medio del análisis de conglomerados k medias se pudo constatar que, en la diversidad de opiniones que tiene la población de Ambos Nogales sobre los impactos generados por el proyecto de saneamiento transfronterizo, hay grupos de población homogéneos internamente y heterogéneos entre ellos.

Resultados

Para alcanzar el objetivo central de este trabajo se identificó primero una tipología de la población en función de sus opiniones sobre el sistema de saneamiento transfronterizo. Para ello se analizó el patrón de relaciones que existe entre las categorías de cada dimensión en Sonora, y posteriormente en Arizona.

Nogales, Sonora

La Figura 3 muestra los resultados del ACM aplicado a los resultados obtenidos en Nogales, Sonora. La distribución espacial de las categorías correspondientes a cada uno de los seis indicadores analizados forma un patrón que muestra una clara distinción de la población en función de sus opiniones o percepciones.

La nube de puntos forma una especie de elipse vertical con el eje focal en la parte inferior, distribución que se conoce como efecto Guttman o herradura (Husson et al., 2017, p. 120). Este efecto significa que la primera dimensión (eje X o de las abscisas) del mapa factorial opone categorías con valores extremos, es decir, de menor a mayor, mientras que la segunda dimensión (eje Y o de las ordenadas) opone categorías extremas (categorías Muy alto o Alto) de las intermedias (Ni alto ni bajo).

La Tabla 3 muestra precisamente las coordenadas de todas las categorías ubicadas en el mapa factorial ordenadas de menor a mayor. Nótese ahí cómo los valores más negativos de la primera dimensión, que en la Figura 3 se encuentran al extremo izquierdo del origen, corresponden a las categorías con los niveles de aceptación más altos de cinco de los seis indicadores analizados, y al ir creciendo estos valores hacia la derecha del origen se identifican las categorías con los niveles de aceptación más bajos. Esta dimensión explica 60.5 % de la inercia total. En la segunda dimensión, que explica 34.5 % de la inercia total, los valores negativos más grandes (-0.576 ≤ y ≤ -0.325) se encuentran en el extremo inferior del origen y corresponden a las categorías intermedias de todos los seis indicadores analizados, es decir, aquellas que expresan niveles de aceptación regulares. Después, al ir subiendo los valores hasta llegar a la parte superior de la segunda dimensión (1.113 ≤ y ≤ 2.728), se ve que se encuentran las categorías relacionadas con los niveles de aceptación extremos, sean Muy alto o Muy bajo. Esta distribución de las nubes de puntos en el mapa factorial (efecto Gutman o herradura) confirma que existe una distinción de la población de Nogales, Sonora, en torno a los niveles de aceptación social respecto al proyecto de saneamiento.

Fuente: elaboración propia

Figura 3 Mapa factorial con la ubicación de las categorías de los indicadores analizados en Nogales, Sonora 

En términos generales se ve una tendencia que inicia en el cuadrante superior izquierdo con las categorías de aceptación más altas, que pasa después a los cuadrantes inferiores izquierdo y derecho con las categorías intermedias, y termina en el cuadrante superior derecho con las categorías bajas y más bajas de los indicadores analizados.

Al reconocer entonces la distinción de categorías que se acaban de explicar se pueden identificar grupos o segmentos de la población con características similares. Como se explicó en la sección de metodología, para caracterizar esta tipología de grupos o segmentos de población se aplicó un análisis clúster k medias en función de la posición (coordenadas) de cada uno de los casos (personas) en el mapa factorial, como lo muestra la Figura 4.

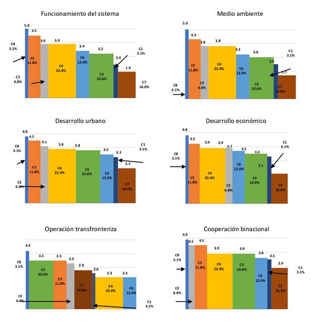
En esta línea, la Figura 5 resume la información de cada clúster correspondiente a su tamaño y puntaje promedio obtenido en los seis indicadores analizados. La altura de las barras indica la puntuación promedio y el ancho el porcentaje de población que conforma cada clúster. El análisis en conjunto de ambos parámetros ayuda a comprender la posición y la pertenencia a cada clúster de cada uno de los casos.

Tabla 3 Coordenadas de las dimensiones correspondientes a los seis indicadores en el mapa factorial 

Dimensión 1 (60.5 % de la inercia) Dimensión 2 (34.5 % de la inercia)
Indicador Categoría Centroide Indicador Categoría Centroide
Desarrollo económico muy alto EMA -1.889 Medio ambiente alto AA -0.576
Medio ambiente muy alto AMA -1.527 Funcionamiento alto FA -0.467
Funcionamiento muy alto FMA -1.261 Cooperación binacional económica alto CA -0.386
Desarrollo urbano muy alto UMA -1.029 Desarrollo urbano económico alto UA -0.385
Cooperación binacional muy alto CMA -0.831 Desarrollo económico alto EA -0.325
Medio ambiente alto AA -0.342 Operación transfronteriza bajo TB -0.293
Operación transfronteriza muy alto TMA -0.275 Funcionamiento indiferente FB -0.126
Funcionamiento alto FA -0.265 Operación transfronteriza independiente TI -0.1
Desarrollo económico alto EA -0.219 Operación transfronteriza muy bajo TMB -0.044
Desarrollo urbano económico alto UA -0.164 Medio ambiente indiferente AI -0.013
Operación transfronteriza independiente TI -0.157 Desarrollo urbano indiferente UI 0.12
Cooperación binacional económica alto CA -0.068 Desarrollo económico independiente EI 0.138
Operación transfronteriza alta TA -0.041 Operación transfronteriza alta TA 0.176
Operación transfronteriza bajo TB 0.117 Cooperación binacional bajo CI 0.333
Funcionamiento indiferente FB 0.271 Medio ambiente bajo AB 0.452
Operación transfronteriza muy bajo TMB 0.277 Cooperación binacional muy alto CMA 0.546
Medio ambiente indiferente AI 0.33 Funcionamiento bajo FMB 0.564
Desarrollo económico independiente EI 0.584 Operación transfronteriza muy alto TMA 0.581
Desarrollo urbano indiferente UI 0.68 Funcionamiento muy bajo FI 0.585
Cooperación binacional bajo CI 0.829 Desarrollo urbano muy alto UMA 1.113
Medio ambiente bajo AB 0.95 Medio ambiente muy bajo AMB 1.153
Funcionamiento bajo FMB 1.161 Desarrollo urbano bajo UB 1.352
Funcionamiento muy bajo FI 1.478 Funcionamiento muy alto FMA 1.562
Desarrollo urbano bajo UB 1.869 Medio ambiente muy alto AMA 1.738
Medio ambiente muy bajo AMB 2.027 Desarrollo económico bajo EB 1.82
Desarrollo económico bajo EB 2.646 Desarrollo urbano muy bajo UMB 1.877
Desarrollo urbano muy bajo UMB 2.826 Desarrollo económico muy bajo EMB 2.279
Cooperación binacional muy bajo CB 3.123 Desarrollo económico muy alto EMA 2.311
Desarrollo económico muy bajo EMB 3.508 Cooperación binacional muy bajo CB 2.728

Fuente: elaboración propia

Fuente: elaboración propia

Figura 4 Mapa factorial de los casos (personas) ubicados y agrupados en función de sus opiniones expresadas en Nogales, Sonora 

Fuente: elaboración propia

Figura 5 Tamaño y puntaje promedio de los clústeres identificados en Nogales, Sonora 

Se ve entonces en el mapa factorial que el patrón de la nube de puntos de los casos inicia con el clúster C8 en la parte superior izquierda del mapa factorial. El hecho de que este clúster sea el que se encuentre más alejado del origen significa que se distingue mucho de los perfiles promedio, es decir, de aquellos que se encuentran cercanos al origen. Justo por esta razón es que solo 3.1 % de la población pertenece a él. Nótese en la Figura 5 cómo la principal característica de C8 es que presenta los puntajes más altos en todos los indicadores. Enseguida se ve a C5 (11.8 % de la población) cuyos casos se ubican en la parte superior izquierda del mapa factorial, pero, a diferencia de C8, este se encuentra más cercano al origen por lo que los casos (personas) que lo conforman, si bien todavía se distinguen de los perfiles promedio, no son tan diferentes como los de C8. En términos generales se ve que C5, salvo el indicador Operación transfronteriza, presenta valores altos en todos los indicadores.

Después se identificaron cuatro clústeres (C2, C3, C4 y C6) que, de acuerdo con su posición en el mapa factorial (cercanos al origen), son los que se asemejan más a los perfiles promedio de cada indicador.2 En conjunto estos clústeres agrupan a 71 % de la población y, como se observa en la Figura 5, ocupan los lugares intermedios en todos los indicadores al estar ordenados en forma descendente de acuerdo con su puntaje, con excepción de Operación transfronteriza. Respecto a este último indicador, destaca el hecho de ser el único que se diferencia del resto, tanto por los puntajes obtenidos (generalmente menores) como por la posición de los clústeres en las gráficas de barras. Por ejemplo, C4 y C6 presentan los puntajes promedio más bajos en Operación transfronteriza (2.3 en ambos casos), y en los otros cinco presentan valores intermedios.

Por último, los clústeres C1 y C7, que agrupan en conjunto a 19.1 % de la población, se caracterizan por tener los niveles de aceptación social más bajos. En el mapa factorial se ve que estos dos clústeres se ubican en la parte superior derecha, lo cual evidencia su alejamiento de los perfiles promedio. Es por esta razón que, en todos los casos, salvo en el indicador Operación transfronteriza, estos dos clústeres presentan las puntuaciones promedio más bajas. Sin embargo, cabe destacar a C1 que, no obstante tener un peso insignificante (agrupa a solo 3.1 % de la población), se diferencia de C7 en los indicadores Desarrollo urbano y Desarrollo económico ya que presenta puntajes que se acercan a los intermedios.

En resumen, los resultados obtenidos en Nogales, Sonora, confirman la pertinencia de identificar una tipología de la población en función de sus opiniones sobre el proyecto de saneamiento transfronterizo. Se identificó una diferenciación gradual que inicia con los clústeres C8 y C5 (14.9 % de la población) con una valoración alta; seguida por C2, C3, C4 y C5 (71 %) con valores intermedios, y termina con C1 y C7 (19.1 %) con las puntuaciones más bajas.

Nogales, Arizona

Por el lado estadounidense de Ambos Nogales, la Figura 6 muestra el mapa factorial con la ubicación de las categorías de los indicadores analizados, mientras que la Tabla 4 resume la información de las coordenadas correspondientes a los centroides de dichas categorías. En el mapa factorial se ve que se forman tres nubes de puntos, formación que es muy diferente a las identificadas en Sonora (véase Figura 3). En este caso, la primera dimensión explica una inercia promedio de 55.5 % y discrimina las categorías en función de sus valores extremos. Nótese cómo al extremo izquierdo del origen se encuentran las categorías con los valores más bajos de las abscisas, los cuales se relacionan con las percepciones o valoraciones de la población más bajas en todos los indicadores, y al irse incrementando estos valores hacia la derecha se va incrementando también el nivel de valoración de las categorías (véase Tabla 4). La segunda dimensión, que explica en promedio 30.8 % de la inercia, discrimina las categorías correspondientes a las valoraciones intermedias del resto de las categorías en todas las variables. También se encontró que esta segunda dimensión discrimina la categoría con la valoración más baja del indicador Operación transfronteriza del resto de categorías.

La distribución que se observa en el mapa factorial permite identificar tres grandes grupos. En el centro del origen hay una nube de puntos formada por la mayoría de las categorías que expresan las percepciones más altas en todos los indicadores. El hecho de que estas categorías se encuentran cercanas al origen significa que agrupan a los perfiles promedio de la población, con lo cual se infiere (como se verá más adelante) que la mayoría de la población de Nogales, Arizona, percibe favorablemente las obras de saneamiento realizadas. Después se identificó otro grupo de categorías en el cuadrante superior izquierdo del mapa factorial que se relacionan con las valoraciones bajas o muy bajas de algunos indicadores, sin embargo, el hecho de estar tan alejadas del origen evidencia que la proporción de población perteneciente a cada una de estas categorías es marginal. Y en cuanto al tercer grupo, se ve que las categorías que lo conforman se ubican en el cuadrante inferior izquierdo del mapa factorial, las cuales se vinculan principalmente con valoraciones indiferentes. En otras palabras, la población que pertenece a estas categorías piensa que el proyecto de saneamiento transfronterizo no tuvo impacto alguno, ni alto ni bajo, en Nogales, Arizona.

Fuente: elaboración propia

Figura 6 Mapa factorial con la ubicación de las categorías de los indicadores analizados en Nogales, Arizona 

Por su parte, la Figura 7 muestra el mapa factorial correspondiente a la ubicación de los casos (personas) y la pertenencia a su respectivo clúster, mientras que la Figura 8 muestra el tamaño de cada clúster con su respectiva puntuación promedio en cada uno de los seis indicadores analizados. El Clúster C1 agrupa a 75 % del total de casos y presenta los puntajes promedio más altos en todos los indicadores y, al tomar en cuenta que este clúster se localiza alrededor del origen, se deduce que los perfiles promedio de la población son muy similares a los que se obtuvieron aquí. Es decir, la mayoría de la población de Nogales, Arizona, expresó una alta valoración del proyecto de saneamiento transfronterizo. Aquí cabe destacar que, contrario a lo observado en Nogales, Sonora, el indicador Operación transfronteriza fue el mejor evaluado en el lado estadounidense. Más adelante se abordará este punto, pero por el momento vale señalar estas diferencias entre ambas ciudades.

Tabla 4 Coordenadas de las dimensiones correspondientes a los seis indicadores en el mapa factorial, Nogales, Arizona 

Dimensión 1 (55.3 % de la inercia) Dimensión 2 (30.8 % de la inercia)
Indicador Categoría Centroide Indicador Categoría Centroide
Cooperación binacional muy bajo CMB -3.973 Operación transfronteriza muy bajo TMB -2.739
Funcionamiento muy bajo FMB -3.962 Funcionamiento bajo FB -1.68
Desarrollo urbano bajo UB -3.839 Medio ambiente indiferente AI -1.532
Desarrollo económico bajo EB -3.299 Cooperación binacional indiferente CI -1.494
Medio ambiente bajo AB -3.278 Desarrollo económico indiferente EI -1.487
Operación transfronteriza bajo TB -2.837 Desarrollo urbano indiferente UI -1.4
Cooperación binacional bajo CB -2.493 Funcionamiento indiferente FI -1.38
Operación transfronteriza muy bajo TMB -1.692 Operación transfronteriza muy alto TMA -0.103
Operación transfronteriza independiente TI -1.283 Desarrollo urbano muy alto UMA -0.07
Medio ambiente indiferente AI -1.023 Medio ambiente muy alto AMA -0.046
Desarrollo urbano indiferente UI -1.02 Cooperación binacional muy alto CMA -0.037
Funcionamiento indiferente FI -0.875 Funcionamiento alto FA 0.13
Desarrollo económico indiferente EI -0.811 Operación transfronteriza alto TA 0.147
Funcionamiento bajo FB -0.757 Desarrollo urbano alto UA 0.179
Cooperación binacional indiferente CI -0.754 Desarrollo económico muy alto EMA 0.19
Funcionamiento muy alto FMA -0.317 Medio ambiente alto AA 0.25
Operación transfronteriza muy alto TMA 0.084 Desarrollo económico alto EA 0.289
Cooperación binacional alto CA 0.233 Cooperación binacional alto CA 0.291
Cooperación binacional muy alto CMA 0.329 Funcionamiento muy alto FMA 0.299
Desarrollo urbano alto UA 0.336 Cooperación binacional muy bajo CMB 0.358
Desarrollo económico alto EA 0.371 Cooperación binacional bajo CB 1.064
Medio ambiente alto AA 0.382 Operación transfronteriza independiente TI 1.434
Operación transfronteriza alto TA 0.416 Funcionamiento muy bajo FMB 1.497
Funcionamiento alto FA 0.42 Medio ambiente bajo AB 2.168
Medio ambiente muy alto AMA 0.423 Desarrollo económico bajo EB 2.271
Desarrollo urbano muy alto UMA 0.436 Operación transfronteriza bajo TB 2.791
Desarrollo económico muy alto EMA 0.466 Desarrollo urbano bajo UB 3.122

Fuente: elaboración propia

Al seguir con el mapa factorial se ve que el Clúster 2, conformado por 20 % del total de la población, es el segundo más grande. Sus puntajes promedio dejan ver valoraciones intermedias en todos los indicadores (entre 3.1 y 3.4), salvo Operación transfronteriza donde se obtuvo una valoración alta (4.8). Los resultados de este clúster dejan ver que una quinta parte de la población de Nogales, Arizona, piensa que el proyecto de saneamiento transfronterizo no produjo efecto alguno en cinco de los seis indicadores analizados y, por otra parte, se confirma la alta valoración en el indicador Operación transfronteriza por la mayoría de la población.

Los tres clústeres restantes son marginales ya que se conforman por una proporción muy pequeña de la población. Por ejemplo, C3 (3 % de la población) presenta puntajes intermedios en la mayoría de los indicadores; C4 (1 %), valores altos en todos los indicadores, con excepción de Desarrollo económico; y, C5 (1 %), valores bajos en todos los indicadores.

En resumen, los resultados obtenidos en Nogales, Arizona, confirman la pertinencia de plantear una tipología de la población en función de sus opiniones sobre el proyecto de saneamiento transfronterizo (al igual que en Nogales, Sonora).

Fuente: elaboración propia

Figura 7 Mapa factorial de los casos (personas) ubicados y agrupados en función de sus opiniones expresadas en Nogales, Arizona 

Fuente: elaboración propia

Figura 8 Tamaño y puntaje promedio de los clústeres identificados en Nogales, Arizona 

Insumos para la evaluación de políticas públicas

La identificación de una tipología o caracterización de la población beneficiada en Ambos Nogales por el proyecto de saneamiento transfronterizo es un insumo empírico que puede utilizarse, a manera de retroalimentación, para complementar las evaluaciones tradicionales de políticas públicas basadas en indicadores objetivos que miden. Al reconocer que existen grupos o segmentos de población homogéneos en función de la gama heterogénea de opiniones respecto al impacto de las políticas públicas se pueden diseñar e implementar adecuaciones de manera focalizada en función precisamente de las características inherentes a dichos grupos. En este sentido, a continuación se comentan las implicaciones de los resultados obtenidos en esta investigación como insumos de análisis para la evaluación de la política de saneamiento transfronterizo en Ambos Nogales.

La Figura 9 muestra esquemáticamente los insumos que se identificaron para fortalecer las estrategias de gobernanza de políticas públicas en materia de agua y saneamiento transfronterizo. Como se anticipó, y de acuerdo con Aguilar Villanueva (2015), se reconoce la dualidad política y técnica inherente a toda política pública que, en este caso específico, se expresa en un vínculo de tres indicadores en cada una de ambas dimensiones. Esta distinción, cabe señalarlo, en ningún sentido es excluyente, más bien lo que importa destacar aquí son las principales características de esta dualidad, al reconocer que hay puntos de encuentro entre ambas dimensiones.

Fuente: elaboración propia

Figura 9 Implicaciones técnicas y políticas del proyecto de saneamiento en Ambos Nogales 

De esta manera, se plantea que los indicadores Funcionamiento del sistema, Desarrollo urbano y Operación transfronteriza adquieren una connotación principalmente técnica. Por otra parte, se asocian a la dimensión política los indicadores Medio ambiente, Desarrollo económico y Operación binacional. En cuanto a la conformación de grupos o clústeres de población en función de sus opiniones sobre el proyecto de saneamiento transfronterizo, los resultados evidencian una clara diferenciación entre ambos lados de la frontera (véanse Figura 10 y Figura 11).

Fuente: elaboración propia

Figura 10 Caracterización de la población en Nogales, Sonora 

Fuente: elaboración propia

Figura 11 Caracterización de la población en Nogales, Arizona 

En el lado mexicano, la mayoría de la población (63.8 %), agrupada en cuatro grupos (C2, C3, C4 y C6), tiene opiniones que varían entre lo indiferente y lo favorable en la casi totalidad de los indicadores analizados, grupos que fueron denominados como los indecisos (véase Figura 10); otros dos (19.1 % del total) opinaron de manera desfavorable (C1 y C7) por la cual fueron denominados como los insatisfechos; mientras que otros dos (14.9 %) tiene una opinión muy favorable (C5 y C8), razón por la cual se nombran como los satisfechos. En el lado estadounidense (véase Figura 11) los satisfechos pertenecen a un solo grupo (C3) que representa a la mayoría de la población (75 %); otro grupo que representa a una quinta parte de la población (20 %) se denominó como los indiferentes ya que sus puntajes son intermedios, es decir (C2); mientras que los tres grupos restantes, al estar conformados por segmentos marginales de población, sin validez estadística, se denominaron como los marginales.

La tipología de grupos de población presentada evidencia que existen opiniones diferenciadas sobre el proyecto de saneamiento en Ambos Nogales, tanto en los indicadores asociados a una dimensión técnica como en aquellos que están más vinculados a la dimensión política. La pregunta clave que es inminente hacer es ¿por qué existen estas diferencias de opinión en los grupos de población identificados en ambos lados de la frontera? En esta línea y, con base en entrevistas realizadas a una serie de actores clave en Ambos Nogales, todos conocedores sobre el tema en cuestión (véase sección de metodología), se infiere una serie de causas o determinantes a manera de hipótesis. Se considera que estas hipótesis pueden derivar en futuros estudios que profundicen los temas abordados.

Calidad diferenciada de la infraestructura urbana en ambos lados de la frontera y desconocimiento sobre su funcionamiento

Como se acaba de comentar, se han vinculado tres indicadores evaluados a una dimensión principalmente técnica. Al respecto, el indicador Funcionamiento del sistema hace referencia a la eficacia y eficiencia de operación de un sistema de saneamiento con funciones diferentes en ambos lados de la frontera. En el lado mexicano se trata del sistema de drenaje que dirige el flujo de aguas residuales hasta llegar a la parte estadounidense, y en el lado estadounidense a dirigir el flujo de aguas residuales recibidas de México hasta la PITAR donde son tratadas y vertidas al río Santa Cruz.

En el lado mexicano los resultados indican que la modernización del sistema de drenaje ha beneficiado a la población (véase Figura 10), sin embargo, su funcionamiento se ha visto afectado constantemente ─llegando incluso a colapsar─ durante la temporada de lluvias (junio-septiembre) en cada año ya que la ciudad no cuenta con un sistema de drenaje pluvial. Esta situación provoca que el agua de lluvia ingrese al drenaje de saneamiento y se mezcle con las aguas residuales, con lo cual el sistema colapsa y las aguas se desbordan a las calles. De acuerdo con García y colaboradores (2019), una alta proporción de la población percibe que cuando colapsa el sistema de drenaje en el lado mexicano durante la temporada de lluvias falla el sistema de transporte público, las calles están más sucias por la basura y los deslaves, y ocurren más accidentes (Milenio, 2022).3 En el lado estadounidense, por el contrario, es raro que las lluvias causen los estragos que se presentan en el lado mexicano.4 Es justo por esta razón que se infiere un vínculo inherente entre los indicadores Funcionamiento del sistema de saneamiento y Desarrollo urbano. Es decir, que el mal funcionamiento del sistema de saneamiento transfronterizo implica un desarrollo urbano deficiente. Los resultados muestran que la opinión de los indecisos e insatisfechos, que en conjunto agrupan a 85 % de la población de Nogales, Sonora, tienen opiniones medias y bajas respecto a estos dos indicadores (véase Figura 10).

En esta misma línea, ha habido ocasiones que cuando colapsa el sistema de saneamiento en el lado mexicano también se afecta la operación del colector internacional en el lado estadounidense, situación que afecta al segmento de población que vive en esa zona de la ciudad. Se infiere, a manera de hipótesis, que esta es la razón por la cual el grupo de indiferentes (quinta parte de la población) tiene una opinión media del indicador Desarrollo urbano en el lado estadounidense.

Cabe destacar que las diferencias que existen entre ambas ciudades han sido tema de estudio no solo en términos de la calidad de infraestructura, sino en general en diferentes dimensiones del desarrollo, como bienestar económico y social, seguridad y medio ambiente. El libro Por qué fracasan los países, escrito por Daron Acemoglu y James Robinson, analiza las diferencias que existen en los niveles de bienestar entre ciudades de diferentes países, e inicia precisamente con el caso de Ambos Nogales. Los autores se cuestionan “¿Cómo pueden ser tan distintas las dos mitades de lo que es, esencialmente, la misma ciudad? No hay diferencias en el clima, la situación geográfica ni los tipos de enfermedades presentes en la zona…” (Acemoglu & Robinson, 2012, p. 18). Sus conclusiones apuntan a que las diferencias existentes entre ambas ciudades se deben a sus instituciones o, más precisamente, en los incentivos que crean las instituciones de ambas ciudades para sus habitantes.

En cuanto al indicador Operación transfronteriza, se vio que es donde se presentan las diferencias más grandes entre ambas ciudades. Es importante reiterar que la opinión sobre la operación transfronteriza implica el reconocimiento de factores que benefician o perjudican a la población de ambos lados de la frontera. Los resultados evidenciaron que los grupos de indecisos e insatisfechos predominan en este indicador en el lado mexicano, mientras que en el lado estadounidense casi la totalidad (95 %) están satisfechos (véanse Figura 10 y Figura 11, respectivamente).

De acuerdo con García y colaboradores (2019), hay dos determinantes de estos resultados. El primero es que las diferencias que existen en la calidad de la infraestructura de servicios públicos de agua y saneamiento entre ambas ciudades, al igual que en el caso del funcionamiento del sistema y desarrollo urbano, determinan estas diferencias de opinión, es decir, indiferentes y desfavorables en el lado mexicano, y muy favorables en el lado estadounidense. El segundo es que un segmento significativo de la población en el lado mexicano desconoce cómo funciona el sistema de saneamiento transfronterizo, ya que en su cotidianidad no ven cómo fluyen las aguas residuales hacia el otro lado de la frontera. En el lado estadounidense, por el contrario, la población sabe que ahí se tratan las aguas residuales de ambas ciudades ya que la PITAR se localiza a unos cuantos kilómetros de la ciudad y, además, pagan las cuotas correspondientes para la operación de dicha planta. Estos dos puntos pueden constituirse en un insumo empírico valioso para realizar en el futuro investigaciones que atiendan de manera particular esta temática y mejorar así la política de agua y saneamiento en Ambos Nogales.

Por ejemplo, para corregir las deficiencias de infraestructura se ha contemplado la construcción de un sistema de drenaje pluvial, así como de un sistema de pequeñas represas que contengan el agua de lluvias en las partes altas de los arroyos de Nogales, Sonora. Se destaca que el Instituto Municipal de Planeación Urbana de Nogales cuenta por lo menos desde hace 10 años con los proyectos ejecutivos para realizar ambas propuestas, sin embargo, hasta hoy no se han llevado a cabo. Y en cuanto a los resultados obtenidos en el indicador Operación transfronteriza, parece evidente que hace falta informar a la sociedad sobre cómo opera el sistema de saneamiento, mediante alguna estrategia de comunicación que fomente la educación y el conocimiento en general sobre la naturaleza intrínsecamente relacionada de dicho sistema en Ambos Nogales. La implementación de estas dos acciones o propuestas podrían ejercer un efecto multiplicador en otros indicadores como desarrollo urbano, desarrollo económico y medio ambiente, y justo por esta razón se reitera que las dimensiones técnica y política no son excluyentes ya que hay un espacio de encuentro entre los indicadores analizados.

¿Quién se beneficia con las aguas residuales tratadas?

Los resultados obtenidos en los indicadores Medio ambiente, Desarrollo económico y Cooperación binacional evidencian las implicaciones políticas en materia de saneamiento en Ambos Nogales (véanse Figura 5 y Figura 8). Estas implicaciones tienen que ver con conflictos latentes relacionados con el hecho de que los beneficios económicos y ambientales de las aguas residuales tratadas se están aprovechando en otras localidades, es decir, fuera de Ambos Nogales. Con base en los comentarios recabados de los agentes clave, así como en recorridos hechos en la zona de estudio, se pudo constatar que los principales beneficios económicos y ambientales derivados del sistema de saneamiento transfronterizo se han producido en localidades que se ubican al norte de la PITAR, aguas abajo del río Santa Cruz.

Como se muestra en la Figura 12, el río Santa Cruz está completamente seco la mayor parte del año en el tramo que cruza Nogales, Arizona, esto entre la frontera binacional hasta la PITAR que se ubica en la localidad de Río Rico (solo en temporada de lluvias hay días que conduce un volumen de agua considerable). Por el contrario, al norte de Río Rico, justo después del lugar donde la PITAR vierte las aguas residuales tratadas, el panorama cambia radicalmente ya que el río Santa Cruz conduce a partir de este punto un volumen de agua considerable y con flujo permanente que en su mayoría se compone por las aguas residuales tratadas (entre 500 y 950 litros por segundo, dependiendo de la hora del día y época del año), del cual aproximadamente 80 % es agua que proviene de México. De hecho, las aguas residuales tratadas (que en su mayoría provienen de México) han conducido a una regeneración del ecosistema local aguas abajo del río Santa Cruz que ha generado impactos económicos positivos en localidades que se encuentran al norte de Nogales, Arizona. Estos impactos positivos se deben a la derrama económica que genera el turismo ornitológico que, en el caso del río Santa Cruz, produce anualmente alrededor de 21 millones de dólares (Arizona Public Media, 2018).5

Se ve entonces que los principales impactos positivos derivados del sistema de saneamiento transfronterizo, tanto ambientales como económicos, se han producido fuera del área de Ambos Nogales y, de manera específica, en el lado estadounidense. Esta información es empíricamente relevante ya que revela que una política de saneamiento transfronterizo diseñada para beneficiar a la población de Ambos Nogales, ha beneficiado económica y ambientalmente a la población de otras comunidades localizadas del lado estadounidense, al norte de la PITAR.

Fuente: elaboración propia

Figura 12 Beneficios ambientales diferenciados 

En cuanto al indicador Cooperación binacional, si bien los resultados muestran que la mayoría de los clústeres de población en ambos lados de la frontera tienen una opinión favorable, los grupos de indecisos e insatisfechos del lado mexicano (85 % del total), y en menor medida los indiferentes del lado estadounidense (20 % del total), expresaron opiniones desfavorables o de indiferencia sobre este indicador. En esta línea, se encontró que históricamente ha habido cooperación binacional entre las autoridades e instituciones de Ambos Nogales, sin embargo, también se encontró que esta cooperación debe mejorar ya que hay conflictos latentes que, en cualquier momento, podrían aparecer y complicar dicha cooperación. Por ejemplo, en el lado estadounidense hay opiniones que expresan un desacuerdo por la falta de pago de las autoridades mexicanas. Esto se debe a que las autoridades mexicanas no han pagado por varios años la cuota anual pactada para el tratamiento de las aguas residuales, escenario que evidencia el incumplimiento de México hacia los compromisos adquiridos para construir y operar la PITAR de Río Rico. En el lado mexicano, por su parte, algunos actores locales aseguran que el agua mexicana tratada en la PITAR es utilizada en Arizona por empresas del ramo turístico y de servicios y, además, como ya se señaló en la sección anterior, se percibe también que solo en el lado estadounidense se benefician de los impactos positivos ambientales y económicos del agua tratada.

En este punto se destaca lo señalado por Cáñez Cota (2022) en el sentido de que una adecuada gobernanza transfronteriza en la administración de aguas residuales tratadas requiere que exista confianza entre los actores institucionales de ambos países, impulsando para ello una ética compartida que se materialice en un manejo trasparente del sistema de saneamiento.

El escenario que se acaba de describir permite proponer una serie de acciones a manera de retroalimentación. Al reconocer los conflictos latentes mencionados, una acción que debiere analizarse ineludiblemente es la posibilidad de tratar una proporción de las aguas residuales del lado mexicano y aprovechar este recurso para diferentes fines. Por ejemplo, un proyecto que se ha considerado por las autoridades mexicanas es bombear las aguas residuales que se dirigen por gravedad al lado estadounidense, para que sean dirigidas hacia la planta de tratamiento Los Alisos que se encuentra al sur de la ciudad. Sin embargo, una medida de esta naturaleza afectaría significativamente al ecosistema restaurado en el lado estadounidense ya que se reduciría el flujo de agua en el río Santa Cruz y, como consecuencia, la derrama económica en las localidades que se encuentran al norte de la PITAR, además de un alto costo económico por la energía requerida para bombear el agua tratada.

Esta situación refleja la naturaleza transfronteriza del sistema de saneamiento en Ambos Nogales y, como consecuencia, la necesidad de fortalecer un sistema de gestión integral y transfronterizo de las aguas tratadas. Un ejemplo de esta gestión sería, como lo señalan Norman y colaboradores (2013), diseñar e implementar marcos metodológicos y esquemas de pagos por servicios ambientales y ecosistémicos que beneficien a la población y los gobiernos locales en ambos lados de la frontera, ya que son ellos los que han cargado con los costos del sistema de saneamiento. Otro ejemplo que se ha considerado por parte de las autoridades municipales de Nogales, Sonora, es que, en caso de que se cambiare un volumen mayor del flujo de aguas residuales del sistema de saneamiento transfronterizo hacia la planta de tratamiento Los Alisos (medida que se comentó en el párrafo anterior), se podría aprovechar una mayor proporción de este recurso, incluso la totalidad, para el riego de parques y jardines de la ciudad. Incluso, con un enfoque transfronterizo, con las aguas vertidas y tratadas tanto de la planta Los Alisos como de la PITAR de Río Rico se podrían formar humedales artificiales que brinden servicios ecosistémicos a los habitantes de Ambos Nogales. Sin embargo y, como contrapunto, una medida de esta naturaleza implicaría un alto costo económico para las autoridades mexicanas, ya que se tendría que pagar la energía que requiere el bombeo de agua para cambiar la dirección del flujo de aguas residuales.

El hecho de que las autoridades mexicanas tengan el derecho de disponer del total de las aguas residuales que se generan en Nogales, Sonora, es un elemento que pueden y debieren aprovechar en futuras negociaciones y gestiones sobre la gobernanza de dicho recurso.

Conclusiones

La caracterización y tipología de grupos de población conformados con base en sus opiniones sobre los impactos generados por la modernización del sistema de saneamiento transfronterizo en Ambos Nogales se constituye en un insumo empírico relevante para evaluar y mejorar los resultados de políticas públicas. La tipología propuesta, basada en estas características, representa una estrategia que complementa los estudios descriptivos o inferenciales tradicionales, ya que permite focalizar los esfuerzos encaminados a diseñar e implementar proyectos inmersos en las futuras políticas de agua y saneamiento, de acuerdo con las necesidades, requerimientos y opiniones de los distintos grupos de población.

Los resultados advierten sobre una conformación diferenciada de grupos de población en Ambos Nogales. En el lado mexicano se identificaron ocho clústeres de población que, según sus puntajes, forman un continuo que va desde los satisfechos, pasando por los indiferentes y terminando con los insatisfechos. En el lado estadounidense se identificaron dos grandes clústeres, uno que agrupa a la mayoría de la población (75 %) y que se caracterizó como los satisfechos, y otro con una proporción significativa de población (20 %) caracterizada como indiferentes. El hecho de identificar grupos de población homogéneos en función de la diversidad de opiniones sobre la modernización realizada al sistema de saneamiento transfronterizo de Ambos Nogales representa un insumo empírico que puede utilizarse no solo para evaluar la política de esta obra, sino también para implementar otro tipo de proyectos tendientes a seguir mejorando dicho sistema.

En esta línea, se mencionaron algunas acciones que podrían implementarse en el futuro. Por ejemplo: i) fortalecer la participación y cooperación entre los actores clave bajo un esquema de gobernanza multinivel y con una ética compartida que derive en una mayor transparencia y confianza interinstitucional; ii) implementar en Nogales, Sonora, estrategias de comunicación que den a conocer a los grupos de población indiferentes e insatisfechos el funcionamiento del sistema, tanto en cada ciudad como de manera transfronteriza, así como los beneficios ecosistémicos que genera; iii) realizar análisis de factibilidad técnica y económica de proyectos para el reúso de aguas residuales tratadas tanto en México como en Estados Unidos; y, iv) construir la infraestructura necesaria para tratar una mayor proporción, o incluso la totalidad, de las aguas residuales en el lado mexicano y reusarlas precisamente en Nogales, Sonora.

Por último, se quiere destacar la naturaleza sistémica del saneamiento transfronterizo en Ambos Nogales. Aquí se puede aplicar la analogía de una balanza. Si se aprovecha el total de las aguas residuales en Nogales, Sonora, la balanza se inclina hacia el lado mexicano, pero con costos económicos y energéticos significativos. Si la situación queda como está en la actualidad, la balanza se inclina hacia el lado estadounidense. Pero, si se piensa en una estrategia integral transfronteriza que optimice los beneficios en Ambos Nogales, ya sea mediante esquemas de servicios ecosistémicos transfronterizos y el reúso de aguas residuales tratadas, la balanza estaría en equilibrio. Solo mediante la colaboración entre los diferentes actores, sean estos gobierno, académicos, organizaciones no gubernamentales y, en general, de la sociedad civil, la población de Ambos Nogales podrá disponer de un servicio tan fundamental como lo es el acceso al agua y saneamiento de manera sustentable y equitativa.

Referencias

Acemoglu, D. & Robinson, J. A. (2012). Por qué fracasan los países. Los orígenes del poder, la prosperidad y la pobreza. Deusto. [ Links ]

Acta 206 Operación y mantenimiento común del sistema sanitario internacional de Nogales, Comisión Internacional de Límites y Aguas entre México y los Estados Unidos, 13 de enero de 1958, http://www.cila.gob.mx/actas/206.pdfLinks ]

Aguilar Villanueva, L. F. (2015). Gobernanza y gestión pública. Fondo de Cultura Económica. [ Links ]

Aguilar Villanueva, L. F. & Bustelo Ruesta, M. (2010, diciembre). Gobernanza y evaluación: una relación potencialmente fructífera. Gestión y análisis de políticas públicas, (4), 23-51. https://doi.org/10.24965/gapp.v0i4.437 [ Links ]

Alcon, F., Martin-Ortega, J., Berbel, J. & De Miguel, M. D. (2012, febrero). Environmental benefits of reclaimed water: an economic assessment in the context of the Water Framework Directive. Water Policy, 14(1), 148-159. https://doi.org/10.2166/wp.2011.001 [ Links ]

Arizona Public Media. (17 de agosto, 2018). Nogales Sewage Pipeline [Video]. YouTube. https://www.youtube.com/watch?v=sWutw16wuJALinks ]

Banco de Desarrollo de América del Norte (BDAN). (2004, 30 de julio). Proyecto de rehabilitación del sistema de alcantarillado de Nogales, Sonora. https://www.nadb.org/es/nuestros-proyectos/proyectos-de-infraestructura/proyecto-de-rehabilitacion-del-sistema-de-alcantarillado-de-nogalessonoraLinks ]

Cáñez Cota, A. (2022). Confianza en la gobernanza de aguas transfronterizas México-Estados Unidos: el caso de Tijuana-San Diego. Norteamérica, 17(1), 1-29. https://doi.org/10.22201/cisan.24487228e.2022.1.572 [ Links ]

Comisión Internacional de Límites y Aguas entre México y los Estados Unidos (CILA). (1944, 3 de noviembre). Tratado entre el gobierno de los Estados Unidos Mexicanos y el gobierno de los Estados Unidos de América de la distribución de las aguas internacionales de los ríos Colorado, Tijuana y Bravo, desde Fort Quitman, Texas, hasta el Golfo de México. http://www.cila.gob.mx/tyc/1944.pdfLinks ]

Comisión Nacional de los Derechos Humanos (CNDH). (2014). El derecho humano al agua potable y saneamiento. https://www.cndh.org.mx/sites/default/files/documentos/2019-08/Derecho-Humano-Agua-PS.pdfLinks ]

García, R., Scott, C., Zúñiga, A., Cervera, L., Buechler, S., Peña, S., Muñan, J. & Martínez, K. (2019). Evaluación del impacto transfronterizo de proyectos de infraestructura de saneamiento en Ambos Nogales. Banco de Desarrollo de América del Norte. [ Links ]

Hamilton, A. J., Boland, A.-M., Stevens, D., Kelly, J., Radcliffe, J., Ziehrl, A., Dillon, P. & Paulin, B. (2005). Position of the Australian horticultural industry with respect to the use of reclaimed water. Agricultural Water Management, 71(3), 181-209. https://doi.org/10.1016/j.agwat.2004.11.001 [ Links ]

Husson, F., Lê, S. & Pagès, J. (2017). Exploratory multivariate analysis by example using R. CRC press. [ Links ]

Lara Caballero, M. & De León Calderón, A. P. (2018). Análisis y evaluación de políticas públicas. Una reflexión conceptual y metodológica. En M. Lara Caballero & J. J. de la Rosa Rodríguez (Coords.), Análisis y evaluación de políticas públicas en México. Una agenda de investigación (1a. ed. digital, pp. 19-51). UAM. [ Links ]

Li, Q., Wang, W., Jiang, X., Lu, D., Zhang, Y. & Li, J. (2020). Analysis of the potential of reclaimed water utilization in typical inland cities in northwest China via systems dynamics. Journal of Environmental Management, 270, Artículo 110878. https://doi.org/10.1016/j.jenvman.2020.110878 [ Links ]

Méndez Martínez, J. L. (2020). Políticas públicas. Enfoque estratégico para América Latina. El Colegio de México. [ Links ]

Meranza-Castillón, V., Ruiz-Hernandez, S., Ortiz-Navar, B. & Gutiérrez-Gutiérrez, R. (2017). Impacto de la descarga de agua tratada en la cuenca Los Alisos. Revista de Ciencias Ambientales y Recursos Naturales, 3(19), 18-28. https://www.ecorfan.org/spain/researchjournals/Ciencias_Ambientales_y_Recursos_Naturales/vol3num9/Revista_de_Ciencias_Ambientales_y_Recursos_Naturales_V3_N9_3.pdfLinks ]

Milenio. (2022, 13 de agosto). Reportan tres personas muertas por fuertes lluvias en Nogales, Sonora [Video]. YouTube . https://www.youtube.com/watch?v=xwKm0G8d5RwLinks ]

Norman, L., Villarreal, M., Niraula, R., Meixner, T., Frisvold, G. & Labiosa, W. (2013). Framing scenarios of binational water policy with a tool to visualize, quantify and valuate changes in ecosystem services. Water, 5(3), 852-874. https://doi.org/10.3390/w5030852 [ Links ]

Rokeach, M. (1973). The nature of human values. Free press. [ Links ]

Salazar Vargas, C. (2009). La evaluación y el análisis de políticas públicas. Opera, (9), 23-51. https://www.redalyc.org/pdf/675/67515007003.pdfLinks ]

Scott, C. A., Megdal, S., Oroz, L. A., Callegary, J. & Vandervoet, P. (2012). Effects of climate change and population growth on the transboundary Santa Cruz aquifer. Climate Research, 51(2), 159-170. http://www.jstor.org/stable/24874988Links ]

Scott, C. A. & Pineda Pablos, N. (2011, julio). Innovating resource regimes: water, wastewater, and the institutional dynamics of urban hydraulic reach in northwest Mexico. Geoforum, 42(4), 439-450. https://doi.org/10.1016/j.geoforum.2011.02.003 [ Links ]

Scott, C. A. & Raschid-Sally, L. (2012). The global commodification of wastewater [Número especial]. Water International, 37(2), 147-155. https://doi.org/10.1080/02508060.2012.662727 [ Links ]

Tapia Padilla, G. (2005). Aplicación de Modflow para la simulación hidrogeológica estacionaria de una porción de la Cuenca del río Santa Cruz, Sonora, México [Tesis, Universidad de Sonora]. http://www.bidi.uson.mx/TesisIndice.aspx?tesis=6679Links ]

Tapia-Villaseñor, E. M., Shamir, E., Megdal, S. B. & Petersen‐Perlman, J. D. (2020). Impacts of variable climate and effluent flows on the transboundary Santa Cruz aquifer. JAWRA Journal of the American Water Resources Association, 56(3), 409-430. https://doi.org/10.1111/1752-1688.12853 [ Links ]

Varady, R. G., Liverman, D., Chávez, O., Sánchez, R., Browning-Aiken, A. & Stauber, L. (2019). Asuntos ambientales en la frontera México-Estados Unidos: temas y acciones. En A. Mercado Celis & E. Gutiérrez Romero (Eds.), Fronteras en América del Norte: estudios multidisciplinarios (pp. 279-293). Centro de Investigaciones sobre América del Norte-Universidad Nacional Autónoma de México. https://ru.micisan.unam.mx/bitstream/handle/123456789/20781/L0053_0279.pdf?sequence=1Links ]

1 Obviamente no tendría sentido hablar de más de tres dimensiones ya que gráficamente sería imposible visualizar los resultados y, con ello, se perderían las ventajas metodológicas del ACM.

22 Nótese cómo las puntuaciones promedio de estos cuatro clústeres son muy parecidas a los promedios generales de cada indicador que se muestran en la Tabla 2.

33 El lector puede ver el video ligado a esta referencia bibliográfica (sección de referencias) para tener una idea de los problemas severos que ocasionan las lluvias en Nogales, Sonora.

44 Hay toda una serie de comentarios populares en Nogales, Sonora, sobre esta situación y que se expresa con la siguiente pregunta: ¿por qué si llueve igual en Ambos Nogales solo aquí (en Nogales, Sonora) se inundan las avenidas y se producen desastres?

55 Cada año, millones de aves canoras migran desde sus terrenos de hibernación en México y Centroamérica hacia sus hábitats de reproducción de verano en Canadá y el norte de Estados Unidos. En particular, se desplazan a lo largo de los ríos Bravo, Colorado, Santa Cruz y San Pedro (véase video en Arizona Public Media, 2018).

Recibido: 12 de Septiembre de 2022; Aprobado: 14 de Junio de 2023

* Autor para correspondencia: Rigoberto García Ochoa. Correo electrónico: rigo@colef.mx

Rigoberto García Ochoa Mexicano. Doctorado en estudios urbanos y ambientales por El Colegio de México. Profesor-investigador del Departamento de Estudios Urbanos y Medio Ambiente de El Colegio de la Frontera Norte, Unidad Nogales. Líneas de investigación: pobreza energética, agua y energía, sustentabilidad en las cadenas globales de valor y desarrollo sustentable. Publicación reciente: García Ochoa, R. (2023). Energía, desarrollo y cambio climático en México: análisis de descomposición de las emisiones eléctricas, 2001-2019.El Trimestre Económico,90(359), 731-771.

Adriana Zuniga-Teran Mexicana y estadounidense. Doctorada en ciencias de recursos de tierras áridas con especialización en cambio global por la Universidad de Arizona. Profesora asistente en la Escuela de Geografía, Desarrollo y Medio Ambiente y en el Centro Udall de Estudios en Políticas Públicas de la Universidad de Arizona. Líneas de investigación: resiliencia urbana, justicia ambiental, diseño urbano sustentable, seguridad hídrica. Publicación reciente: Radonic, L. & Zuniga-Teran, A. (2023). When governing urban waters differently: Five tenets for socio-environmental justice.Sustainability,15(2), 1598.

Luis Ernesto Cervera Gómez Mexicano. Doctorado en investigación por El Colegio de Chihuahua y candidato a doctor en ciencias de la tierra en zonas áridas por la Universidad de Arizona. Profesor-investigador de El Colegio de Chihuahua. Líneas de investigación: análisis espacial (con énfasis en sistemas de información geográfica y percepción remota) de fenómenos sociales y físicos, como la geografía del agua, violencia intraurbana, calidad del aire y recurso solar. Publicación reciente: Cervantes-Rendón, E., Ibarra-Bahena, J., Cervera-Gómez, L. E., Romero, R. J., Cerezo, J., Rodríguez-Martínez, A. & Dehesa-Carrasco, U. (2022). Rural Application of a Low-Pressure Reverse Osmosis Desalination System Powered by Solar-Photovoltaic Energy for Mexican Arid Zones.Sustainability,14(17), 10958.

Christopher A. Scott Estadounidense. Doctor en Hidrología por la Universidad de Cornell. Profesor-investigador del Departamento de Ciencia y Gestión de Ecosistemas en la Facultad de Ciencias Agrícolas de la Universidad Estatal de Pensilvania. Líneas de investigación: seguridad hídrica, resistencia al cambio climático, las interacciones entre el ser humano y el medio ambiente y el nexo entre agua, energía y alimentos. Publicación reciente: Mal, S., Dimri, A. P., Jeelani, G., Allen, S. K., Scott, C. A., Arora, M., ... & Lone, S. A. (2021). Determining the quasi monsoon front in the Indian Himalayas.Quaternary International,599, 4-14.

Sergio Peña Mexicano. Doctor en planeación urbana y regional de The Florida State University. Profesor-investigador del Departamento de Estudios Urbanos y Medio Ambiente de El Colegio de la Frontera Norte, Unidad Ciudad Juárez. Líneas de investigación: análisis de las relaciones transfronterizas y la cooperación con énfasis en los aspectos de planeación urbana y regional. Publicación reciente: Peña, S. (2023). From territoriality to borderscapes: The conceptualisation of space in border studies.Geopolitics,28(2), 766-794.

Tomas Balarezo Vasquez Mexicano. Doctor en estudios urbanos por la Universidad Autónoma de Ciudad Juárez. Director asociado de Gestión del Conocimiento en el Banco de Desarrollo de América del Norte. Líneas de investigación: gobernanza transfronteriza, la sustentabilidad urbana y el estudio de la gestión de políticas internacionales.

Stephanie Buechler Estadounidense. Doctorada en sociología por la Universidad de Binghamton. Profesora asociada de investigación en Ag Sciences Global en la Universidad Estatal de Pensilvania. Líneas de investigación: problemas del nexo agua, energía, alimentos (WEF) utilizando la ecología política feminista y las perspectivas de justicia ambiental con un enfoque en las comunidades rurales y urbanas de bajos ingresos. Publicación reciente: Buechler, S. & Hanson, A.-M. (Eds.). (2015).A political ecology of women, water and global environmental change. Routledge.

Jorge Alberto Muñan Valencia Mexicano. Maestría en economía aplicada por El Colegio de la Frontera Norte. Jefe de proyectos de investigación en el Instituto Tecnológico de Nogales y profesor de tiempo completo del Programa de ingeniería en gestión empresarial. Líneas de investigación: economía regional. Publicación reciente: García, R., Romo, L. & Muñan, J. (2014). Inclusión financiera. Un análisis introductorio a las diferencias regionales en México. Diferencias regionales, tecnologías cívicas y evaluación escrita en México.Cofactor, 5(10), julio-diciembre.

Karina Guadalupe Martinez-Molina Mexicana. Candidata a doctora en ciencias de la tierra en zonas áridas por la Universidad de Arizona. Pasantía en el programa RISE financiado por el Arizona Institute for Resilience en la universidad de Arizona, en el proyecto Southwest Urban Corridor Integrated Field Laboratory del equipo de Resilient Solutions De la Universidad de Arizona. Publicación reciente: Buechler, S., Vázquez-García, V., Martínez-Molina, K. G., & Sosa-Capistrán, D. M. (2020). Patriarchy and (electric) power? A feminist political ecology of solar energy use in Mexico and the United States.Energy Research & Social Science,70, 101743.

Creative Commons License Este es un artículo publicado en acceso abierto bajo una licencia Creative Commons