Introducción
Los manglares son ecosistemas conocidos por sus funciones como almacenadores, transformadores y exportadores de materia orgánica, con lo que contribuyen significativamente a los ciclos biogeoquímicos de diversos elementos (Mitsch y Gosselink, 2000). En los manglares como en muchos otros ecosistemas costeros se reconocen los almacenes y flujos de diversos elementos, principalmente carbono, el cual tiene gran interés por su relación con gases de efecto invernadero (CO2 y CH4).
Los almacenes de carbono orgánico (Corg) en los manglares se encuentran en el componente aéreo (biomasa de árboles vivos y muertos, incluyendo hojas, propágulos, pneumatóforos, raíces adventicias y ramas) y subterráneo (sedimento y la biomasa de raíces) (Kauffman y Donato, 2012). Mientras que los flujos que más comúnmente se distinguen en estos ecosistemas son la caída, descomposición de hojarasca, exportación/importación de carbono orgánico particulado y disuelto por efecto de la hidrología (fuente de agua, hidroperíodo, dirección y velocidad de flujos de agua) (Figura 1). Como consecuencia de lo anterior, los ecosistemas de manglar son sitios donde se lleva a cabo un intenso procesamiento de materia orgánica, por lo que tienen un alto potencial de impacto en el presupuesto global de carbono (Dittmar et al., 2006).
A pesar de que se están acumulando evidencias de las importantes reservas de Corg de los ecosistemas de manglar, y que estas superan las de otros ecosistemas por unidad de área (Donato et al., 2011; Adame et al., 2013), también se reconoce que sufren de las más altas tasas de deforestación en comparación con otros bosques (Valiela et al., 2001; Alongi, 2002). En México la cobertura de manglares se ha reducido en un 10% en 25 años (Valderrama et al., 2014). El problema de la deforestación de manglar no solo es la pérdida de biomasa aérea, sino que después de la perturbación hay la liberación de considerables concentraciones de CO2 y CH4 a la atmósfera (Troxler et al., 2015), por lo que tienen una extraordinaria participación en las emisiones de gases de efecto invernadero, lo que contribuye al cambio climático (Donato et al., 2011). Por otra parte, los efectos del cambio climático como el incremento del nivel del mar, cambios en la intensidad de tormentas tropicales y variaciones en la dinámica hidrológica en los manglares (Gilman et al., 2008), pueden afectar negativamente la superficie de estos ecosistemas.
La importancia de los manglares en la dinámica del Corg, así como para otros múltiples servicios ambientales, favorece el interés de implementar medidas de mitigación y adaptación a los efectos del cambio climático en estos ecosistemas, lo que reduciría su vulnerabilidad a las perturbaciones (Kelly y Adger, 2000; Adger et al., 2005). Sin embargo, para poder contribuir a escala local, regional y de país, en estrategias como la Reducción de Emisiones por Deforestación y Degradación, REDD + (Herold et al., 2011), es indispensable determinar los almacenes de Corg como línea de base de emisiones.
Los manglares en México tienen una extensión de 764 486 ha (Rodríguez-Zúñiga, 2013), por lo que ocupan el cuarto lugar en extensión mundial. Sus tasas de deforestación se estiman en 2.5% anual (INE, 2005) o, de acuerdo con Valderrama et al. (2014), 81 711 ha se han perdido en 25 años, por lo que esta degradación puede contribuir significativamente en las emisiones de gases de efecto invernadero. Sin embargo, hay incertidumbres en su contribución por no haber un inventario nacional de carbono en manglares.
En esta contribución se revisó y evaluó el conocimiento actual sobre los almacenes y flujos de Corg en los ecosistemas de manglar en México. Se proporciona una visión general de la magnitud de datos e información existente por región y tipo ecológico de manglar. Se discuten las implicaciones que tienen la conservación y restauración de estos ecosistemas, así como las necesidades de investigación futura para llegar a tener una visión más aproximada a la realidad, considerando la magnitud del almacén de Corg que hay en los manglares de México, y su contribución a la dinámica de los ecosistemas con los que se asocia.
Materiales y Métodos
Se realizó una búsqueda bibliográfica sobre almacenes y flujos de carbono en manglares de México, para lo cual se consultaron bases de datos, artículos científicos, tesis, publicaciones del Programa Mexicano del Carbono (PMC), informes técnicos, memorias de congresos, etc. Los estudios se revisaron para obtener información sobre los almacenes (aéreo y subterráneo) y flujos de carbono (productividad de hojarasca y descomposición) en manglares.
Los trabajos se ordenaron de acuerdo con las Regiones propuestas por CONABIO: Pacífico Norte (PN) corresponde a los estados de Baja California, Baja California Sur, Nayarit, Sinaloa y Sonora; Pacífico Centro (PC) a Colima, Jalisco y Michoacán; Pacífico Sur (PS) a Chiapas, Guerrero y Oaxaca; Golfo de México (GM) a Tabasco, Tamaulipas y Veracruz y, Península de Yucatán (PY) a Campeche, Quintana Roo y Yucatán. De cada estudio se obtuvo información y datos del número de sitios, tipo de ambiente, tipo fisonómico funcional de acuerdo a la clasificación de Lugo y Snedaker (1974) (ribereño, cuenca, franja, petén, chaparro y sobreinundado), especie, y con base en el contenido del trabajo revisado se extrajo información para hacer las estimaciones correspondientes. Para almacenes aéreos se tomaron los datos de los estudios revisados, o se calcularon partiendo de los datos de altura, área basal, diámetro a la altura de pecho, densidad y biomasa. Para los almacenes subterráneos la mayor parte de la información en la literatura era de materia orgánica, biomasa de raíces, densidad aparente y carbono orgánico, mientras que para los flujos la caída y descomposición de hojarasca fueron los mejor representados.
Cuando los estudios solo proporcionaban información sobre características estructurales, se procedió a calcular la biomasa mediante las ecuaciones alométricas propuestas por Smith et al. (2006) y Chave et al. (2005), con base en la especie de manglar. Una vez que se obtuvo la biomasa se dividió entre 1000 para obtener Mg ha-1 y ésta se multiplicó por el factor 0.45 (Kauffman y Donato, 2012) para obtener el carbono de la biomasa de los árboles vivos. El carbono orgánico subterráneo se obtuvo al dividir el porcentaje de materia orgánica entre 1.8, de acuerdo con la metodología descrita por Howard et al. (2014).
Los almacenes y flujos de carbono se calcularon para cada una de las regiones de México, así como por cada tipo ecológico de Manglar.
Resultados y Discusión
El número de trabajos disponibles en la literatura y número de sitos donde fueron realizados, mismos que se agruparon regionalmente bajo la clasificación propuesta por CONABIO: Pacífico Norte, Pacífico Centro, Pacífico Sur, Golfo de México, Península de Yucatán, se muestran en la Figura 2.

Figura 2 Mapa de los estados de la República Mexicana en donde se reportan datos y sitios de trabajos con estudios sobre carbono en manglares.
Se registraron un total de 48 trabajos, el Pacífico Central y Pacífico Sur presentaron el menor número de estudios (4), la región del Pacífico Norte presentó 8. La Península de Yucatán presentó el mayor número de trabajos (19), seguida del Golfo de México con 13.
El número de sitios de muestreo que corresponde a cada Región, siendo la mejor representada la Península de Yucatán con 108, seguida por el Golfo de México (68), Pacífico Norte (23), Pacífico Sur (18) y Pacífico Central (16) se puede observar en la Figura 3.

Figura 3 Número de trabajos consultados y número de sitios con datos sobre carbono en manglares por región de acuerdo con la clasificación propuesta por CONABIO: PN = Pacífico Norte; PC = Pacífico Centro; PS = Pacífico Sur; GM = Golfo de México; PY = Península de Yucatán.
Almacén de carbono aéreo
Por regiones de México. En la Figura 4 se observa en la parte superior de la gráfica el almacén aéreo de Corg que corresponde a árboles vivos. La región que presenta el valor de biomasa más alto corresponde al Pacífico Sur con un valor promedio de 139.65 Mg C ha‑1. El valor más alto se registró en el sitio de la Encrucijada, Chiapas. El valor mínimo registrado fue en el estado de Oaxaca.

Figura 4 Almacenes aéreos y subterráneos de carbono orgánico (C.O.) en manglares de México por región utilizando la clasificación propuesta por CONABIO: PN = Pacífico Norte; PC = Pacífico Centro; PS = Pacífico Sur; GM = Golfo de México; PY = Península de Yucatán.
La Región del Golfo de México presentó un valor promedio de 137.32 Mg C ha-1, los valores más altos se registraron en Pantanos de Centla, Tabasco, mientras que el valor mínimo se registró en la localidad de la Mancha, Veracruz.
La región del Pacífico Centro presentó un valor promedio de 101.75 Mg C ha-1, el valor máximo fue de 120.78 Mg C ha-1 en el Estado de Colima (Cuyutlan), al igual que el valor mínimo de 84.86 Mg C ha-1.
En la Península de Yucatán se obtuvo un valor promedio de 46.78 Mg C ha-1, el valor máximo fue 306.55 Mg C ha-1 en la localidad de Pom Atasta, Campeche y, el valor mínimo fue de 1.68 Mg C ha-1 en la localidad de Tulum, Quintana Roo.
El Pacífico Norte presentó un valor promedio de 42.09 Mg C ha-1, el máximo fue 162.41 Mg C ha-1 en la Laguna Agua Brava, Nayarit, el valor mínimo (3.40 Mg C ha-1) se registró en la Bahía del Tóbari, Sonora.
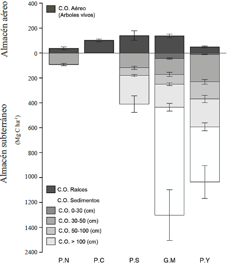
Por tipo ecológico de manglar. En la Figura 5 se observa en la parte superior el almacén aéreode Corg de árboles vivos de acuerdo con el tipo ecológico. El tipo ecológico de manglar que presentó el valor promedio más alto fue el Ribereño (183.32 Mg C ha-1), seguido por el manglar tipo Petén (175.37 Mg C ha-1), Franja (75.32 Mg C ha-1), Cuenca (69.69 Mg C ha-1), y el tipo Chaparro presentó el valor más bajo (13.72 Mg C ha-1).
Almacén de carbono subterráneo
Por regiones de México. En la parte inferior de la Figura 4 se observan los almacenes subterráneos promedios (raíces finas y sedimentos) por regiones. En el caso de los sedimentos se encuentran divididos por estratos (0-30, 30-50, 50-100, >100 cm) a lo largo de la profundidad del suelo. El almacén subterráneo de raíces solo se registró en la región de Golfo de México (44.82 Mg C ha-1) y Península de Yucatán (12.05 Mg C ha-1).
La Península de Yucatán presentó el contenido de carbono promedio más alto (218.98 Mg C ha-1) en el primer estrato (0-30 cm), seguido por el Golfo de México (127.25 Mg C ha-1), Pacífico Sur (118.89 Mg C ha‑1), y Pacífico Norte (92.39 Mg C ha-1). Para la región de Pacífico Centro no fue posible encontrar datos sobre almacenes subterráneos.
Para el segundo estrato (30-50 cm) el valor promedio más alto se registró en la región de Península de Yucatán (137 Mg C ha-1), seguida por el Golfo de México (78.1 Mg C ha-1). La región de Pacífico Sur presentó el valor más bajo (62.3 Mg C ha-1).
El almacén subterráneo de 50-100 cm presentó el valor promedio más alto en la región de Pacífico Sur (229.1 Mg C ha-1), seguida por la Península de Yucatán (223.7 Mg C ha-1). La región de Golfo de México presentó el valor más bajo (185.5 Mg C ha-1).
Para el cuarto estrato (>100 cm), el valor promedio más alto se registró en la región de Golfo de México (865.3 Mg C ha-1), seguida por la Península de Yucatán (443.4 Mg C ha-1). Las regiones Pacífico Norte, Pacífico Centro y Pacífico Sur carecen de datos sobre almacenes de Corg para el cuarto estrato.
Por tipo ecológico de manglar. En la parte inferior de la Figura 5 se observan los almacenes de Corg subterráneos promedio por tipo ecológico de manglar. El primero corresponde al almacén de raíces en el que los manglares de Petén presentaron el valor más alto (43.4 Mg C ha-1), seguido por los manglares ribereños (27.9 Mg C ha-1), franja (12.1 Mg C ha-1), chaparro (9.4 Mg C ha-1), mientras que el manglar de cuenca presentó el valor más bajo de carbono orgánico en raíces (7.6 Mg C ha-1).
También se observan los almacenes de carbono en suelo dividido por estratos (0-30, 30-50, 50‑100, >100 cm). Para el estrato de 0-30 cm, los manglares ribereños presentaron el valor promedio más alto (216.8 Mg C ha‑1), seguido por los de franja (199.3 Mg C ha-1), chaparro (170.6 Mg C ha-1), cuenca (154.6 Mg C ha-1) y petén (145.2 Mg C ha-1).
En el estrato de 30-50 cm, el valor promedio más alto se observó en los manglares de Petén (119 Mg C ha‑1), seguido por los ribereños (117.3 Mg C ha-1), franja (116 Mg C ha-1), cuenca (68.6 Mg C ha-1) y chaparro (55 Mg C ha-1).
En el estrato de 50-100 cm, el valor promedio más alto se observó en los manglares de Petén (288.5 Mg C ha‑1), seguido por el manglar de franja (226.2 Mg C ha‑1), ribereños (210.9 Mg C ha-1), manglar chaparro (159 Mg C ha-1) y manglar de cuenca (158.8 Mg C ha‑1).
En el estrato >100 cm el valor promedio más alto lo registró el manglar ribereño (865.39 Mg C ha-1), seguido por los manglares de tipo petén (735.10 Mg C ha‑1), manglar de franja (445.30 Mg C ha-1) manglar chaparro (363.50 Mg C ha-1) y manglar de cuenca (338 Mg C ha-1).
Flujos de carbono
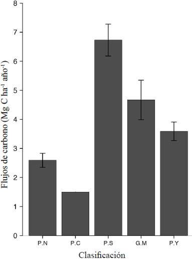
Caída de hojarasca. En la Figura 6 se observan los resultados de caída de hojarasca analizados en cada una de las regiones de México. El Pacífico Sur es la región con el valor promedio más alto (6.7 Mg C ha-1 año-1), seguida por el Golfo de México (4.6 Mg C ha-1 año-1), Península de Yucatán (3.5 Mg C ha-1 año-1), Pacífico Norte (2.5 Mg C ha-1 año-1), mientras que la región del Pacífico Centro presentó el valor promedio más bajo (1.5 Mg C ha-1 año-1).

Figura 6 Flujos de carbono por caída de hojarasca en Mg C ha-1 año-1 por región, utilizando la clasificación propuesta por CONABIO: PN = Pacífico Norte; PC = Pacífico Centro; PS =Pacífico Sur; GM = Golfo de México; PY= Península de Yucatán.
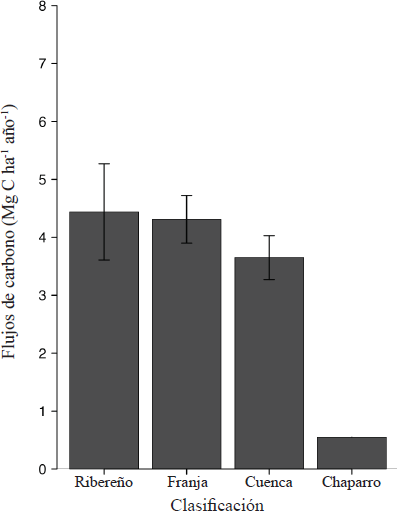
En la Figura 7 se observa la caída de hojarasca por tipo ecológico de manglar. El manglar ribereño presentan el valor promedio más alto (4.4 Mg C ha-1 año-1), seguido por el manglar de franja (4.3 Mg C ha-1 año-1), de cuenca (3.6 Mg C ha-1 año-1), presentándose el valor más promedio más bajo en el manglar tipo chaparro (0.55 Mg C ha-1 año-1). No se registraron valores para los manglares de tipo petén.

Figura 7 Flujos de carbono por caída de hojarasca en Mg C ha-1 año-1 clasificada por tipo ecológico de manglar.
Flujo de carbono horizontal. Es importante resaltar que solo se registraron tres trabajos sobre flujos de carbono horizontales. El primero (Flores-Verdugo et al., 1987) se realizó en la región del Pacífico Norte y evaluaron la estructura, productividad, descomposición y la dinámica del detritus de un manglar asociado a una laguna costera. El segundo trabajo (Orihuela-Belmonte et al., 2004) se realizó en la región del Pacífico Sur, evaluándose el flujo de materia en un manglar de la Costa de Chiapas, donde se determinó la producción de hojarasca (7.9 Mg C ha-1), el porcentaje de consumo en peso por las hojas realizada por los herbívoros, 13.6% para Avicennia germinans, 12.5% en Laguncularia racemosa, 9.8% en Rizophora mangle y, 5.7% para Conocarpus erectus. Se evaluó la degradación de hojarasca y la especie más resistente fue Conocarpus erectus con un T 50> 210 días, finalmente, se determinó que el sistema exporta 4822.2 Mg C año-1. El tercer trabajo (Camacho-Rico y Herrera-Silveira, 2015) desarrollado en la región de la Península de Yucatán, se evaluó la dinámica de hojarasca, el intercambio de carbono orgánico disuelto (COD) entre el manglar y la laguna costera. La caída de hojarasca en el manglar de la zona oligohalina varió fue de 6.19 a 4.64 Mg C ha-1año-1, mientras que en la zona marina fluctuó de 4.91 a 3.51 Mg C ha-1 año-1. El intercambio de COD entre el manglar y la laguna durante los ciclos de marea presentó diferencias estacionales. La zona oligohalina exporta un promedio de 1.11 Mg COD día-1 en la temporada de lluvias; 0.45 Mg COD día-1 en la temporada de nortes y, 0.44 Mg COD día-1 en temporada de secas. La zona cercana al mar exporta en promedio 0.51 Mg COD día-1 en la temporada de lluvias; 0.02 Mg COD día-1 en temporada nortes, e importa un promedio de 0.09 Mg COD día-1 en la temporada de sequía.
Almacenes de carbono
El Corg aéreo por regiones registró los mayores almacenes en el Pacífico Sur (PS) y Golfo de México (GM), mientras que en Pacífico Norte (PN) se observaron los menores (Figura 4). En PS y GM se encuentran probablemente los manglares de mayor altura (>30m) y diámetro a la altura del pecho (DAP) (>30 cm) en México (Adame et al., 2015a; Domínguez et al., 2011). El tipo de manglares que presentan estas características estructurales son del tipo ribereño de acuerdo con la clasificación de Lugo y Snedaker (1974). Este tipo de manglares se asocian a escorrentías superficiales de agua (ríos), que aportan nutrimentos y sedimentos, mantienen condiciones de bajos niveles de estrés (bajas salinidades y valores de potencial redox más positivos). Es probable que el tipo de hidroperíodo de estos manglares se relacione con la alta frecuencia de inundación, altos niveles de inundación pero tiempos cortos de inundación (Woodroffe, 1993; Twilley y Rivera, 2005; Crase et al., 2013; Monroy-Torres et al., 2014).
En el caso del PN, las bajas biomasas aéreas pueden estar relacionadas a que la mayoría de los manglares de esta región se asocian a climas semiáridos y lagunas costeras donde el hidroperíodo, la evapotranspiración y, bajas concentraciones de nutrimentos, producen condiciones de estrés que se reflejan en altos valores de salinidad (promedio de = 45-50) y distribución de tallas en las que dominan individuos de DAP menores a 5 cm y alturas promedio de < 2.5 m. Los tipos ecológicos de manglares más frecuentes en esta región son los de tipo chaparro (arbóreo o arbustivo de baja altura) a pesar que pueden llegar a tener altas densidades de individuos (> 5000-20 000 ha).
Es evidente la variabilidad de los almacenes de Corg aéreo entre regiones, lo que significa que hay diferentes tipos de estructuras vegetales (DAPs, alturas, especies, densidades). En los manglares los diferentes tipos ecológicos son una expresión de la variabilidad de las condiciones ambientales, principalmente de clima, geomorfología, estresores, reguladores e hidroperíodo (Woodroffe, 1993; Twilley y Rivera, 2005). Además de que se ven sometidos a diferente intensidad y magnitud de impactos, tanto naturales como antrópicos.
El Corg subterráneo es significativamente mayor que el aéreo (Figura 3). Esta característica la comparten los manglares con otros humedales costeros (marismas y pastos marinos). Este es uno de los aspectos de los humedales costeros que mayor interés han despertado en la comunidad científica y, es uno de los temas emergentes en México y el mundo. Al carbono almacenado en estos ecosistemas se le conoce como “Carbono Azul” y es hasta 5 veces más alta su concentración en los sedimentos, que la que se reporta en ecosistemas terrestres (Mcleod et al., 2011; Pendleton et al., 2012).
Regionalmente, los mayores almacenes de Corg subterráneo están en el GM y, los menores, en el PC. En el GM las condiciones de topografía e hidroperíodo se relacionan para crear condiciones de alta deposición de sedimentos que provienen de los ríos. En esta región hay extensas planicies asociadas a lagunas costeras y deltas de ríos destacando las concentraciones registradas en Pantanos de Centla, Tabasco (Kauffman et al., 2015). Las menores concentraciones registradas en las regiones de PN y PC son probablemente un artefacto de la escasez de datos de este almacén de Corg.
Por otra parte, a diferencia de los almacenes aéreos en los que la estructura de la vegetación se relaciona de forma directa con la biomasa, y por consiguiente con el Corg, en el caso del almacén subterráneo esta relación no es tan estrecha. La estructura de vegetación que domina en la PY es de manglares del tipo ecológico chaparro; sin embargo, se han registrado almacenes de Corg altos, aún mayores que los manglares de tipo franja o cuenca (Caamal, 20121; Adame et al., 2015a).
La distribución y tipos ecológicos de manglares están relacionados con variables que van desde clima, geomorfologías, variabilidad de recursos (nutrimentos), estresores (salinidad alta, Redox muy negativos) y el tipo de hidroperíodo (Woodroffe, 1993; Twilley y Rivera, 2005). Por otra parte, se ha registrado que la estructura de la vegetación y las funciones de los diferentes tipos ecológicos de manglares están relacionados (Twilley, 1988). En este estudio los datos e información de almacenes de Corg en los manglares de México se agruparon de acuerdo con el tipo de manglar que cada estudio señalaba o que se infería por la descripción de las características del manglar estudiado y su entorno.
Los manglares de tipo ribereño presentaron los mayores almacenes de Corg total, siendo el principal compartimento el subterráneo y, los menores lo de tipo chaparro, aunque no difieren significativamente de los resultados de manglares de tipo cuenca (Figura 4). Los manglares ribereños se relacionan con aportes frecuentes de agua que reciben de sus principales fuentes (ríos). Los tiempos de inundación se correlacionan con la conexión lluvias-escorrentías-nivel del río y el nivel de inundación llega a ser de varios metros (Krauss et al., 2009).
Es probable que debido a la variabilidad climática, geomorfológica e hidrológica, entre otras características, se puedan encontrar tipos ecológicos especiales de manglar. Uno de ellos son los manglares tipo petén. Este tipo de vegetación es raro en México, pero muy común en la PY. Sus almacenes de Corg son de los más altos. Este tipo de vegetación se relaciona con fuentes puntuales de agua dulce (manantiales) proveniente de fracturas del suelo cárstico. El agua subterránea de esta región es de bajo contenido de sales, lo que propicia condiciones de menos estrés hídrico, además de contener altas concentraciones de nitrógeno (Herrera-Silveira et al., 2014), favoreciendo el buen desarrollo estructural de esta vegetación que puede estar mezclada con asociaciones vegetales de agua dulce.
El hidroperíodo también es uno de los factores que controla los nutrimentos y los estresores. Sin embargo, en los estudios revisados, estas variables no se reportan con frecuencia. En los trabajos de la PY, algunos del GM y uno del PS, incluyen datos de nutrimentos en sedimentos, pero no son suficientes para hacer relaciones y extraer patrones. Lo que sí parece ser una constante, es que los manglares de la PY están limitados por fósforo (Adame et al., 2013; Adame et al., 2015b).
Flujos de carbono
Los estudios flujos de Corg en manglares de México se relacionan principalmente con la dinámica de hojarasca (caída y descomposición), productividad de raíces, y son muy escasos los que abordan el intercambio de carbono orgánico particulado y disuelto entre el manglar y el ecosistema acuático al que está asociado. Por otra parte, no hay resultados publicados de flujos de C en forma de gas, ya sea por respiración como CO2 del ecosistema y libración de CH4 (Figura 1), lo cual sucede con mayor intensidad en manglares en condición de disturbio (Pendleton et al., 2012). El flujo de Corg más comúnmente reportado en los estudios revisados de México es la caída de hojarasca. Sin embargo, estas investigaciones tenían como objetivo principal la evaluación de este proceso como un indicador de la productividad del manglar en un contexto de variación espacial y temporal.
El flujo de Corg por caída de hojarasca es mayor en la región del PS y menor en los manglares del PC (Figura 6). Este resultado concuerda con la premisa de que los manglares con mayor desarrollo estructural y, por consiguiente, con mayores almacenes de Corg aéreo, son los más productivos (Pool et al., 1977; Singh et al., 1987; Twilley, 1988), lo cual sucede en el PS.
Con relación a la caída de hojarasca por tipo de manglar, los resultados siguen el patrón que se ha descrito ya con anterioridad en la literatura, en donde los manglares de tipo ribereño son los más productivos y los menos, los de tipo chaparro (Figura 6).
Por otra parte, datos de otros tipos de flujos (descomposición, intercambio, productividad de raíces, flujos de metano) son muy escasos como para hacer un análisis a nivel regional o de tipo de manglar.
Además de esta carencia, se pudo observar que los estudios no incluyen variables que ayudan a explicar los resultados bajo un enfoque ecosistémico. En muchos de los casos no se reportan datos de salinidad intersticial y nutrimentos (nitrógeno total, fósforo total) en los sedimentos y prácticamente en ninguno de ellos se incluyen datos o información del hidroperíodo.
Carbono total de los manglares de México
Es evidente que son muy escasos los datos de almacenes de Corg para los manglares de México, pero hay buenas estimaciones de su extensión. Esta revisión es una oportunidad para proponer una primera estimación del almacén de Corg de los manglares de México utilizando información de Nivel 2 y 3 de acuerdo a los estándares del IPCC. Los resultados estimados a través de la revisión indican que el promedio de Corg total en los manglares de México es similar al sugerido por el IPCC (2013) para las estimaciones de Nivel 1 (Cuadro 1). De acuerdo a Valderrama et al. (2014) la extensión de manglares en México es de 764 486 ha, por lo que el contenido de Corg almacenado por este ecosistema es de 278 x 106 Mg Corg ó 1021 x 106 Mg CO2 equivalente.
Cuadro 1 Promedio de carbono orgánico almacenado por diferentes tipos de ecosistemas de acuerdo con reportes de la literatura y los estimados en este estudio.

†IPCC (2013); ‡ Vega-López (2009); § Este estudio.
Para poner en contexto la relevancia del almacén de Corg de los manglares en México, y su potencial para estar considerado en los esquemas del programa REDD+ o pago por servicios ambientales, se hizo la comparación con el promedio de CO2 almacenado por los principales ecosistemas terrestres de México (Cuadro 1). El resultado indica que el promedio de almacén de Corg (CO2 equivalente) en los manglares es casi 6 veces mayor que el promedio de Corg de otros tipos de bosques en México, demostrando el potencial que tiene este ecosistema para establecer un programa de pagos por servicios ambientales.
Además de los valores actuales de almacén de Corg en los manglares de México, hay que considerar las pérdidas que a lo largo de los últimos años se han dado en este ecosistema, y lo que han significado en emisiones de gases de efecto invernadero, de lo cual no hay ningún dato disponible en la actualidad.
Conclusiones
-. Los resultados de la recopilación y análisis de las publicaciones sobre almacenes y flujos de carbono en los manglares de México, indican que actualmente son muy escasos (5) los estudios que evalúan todos los almacenes de Corg en diferentes tipos de manglar. Es necesario contar con más datos de campo y mapas detallados (clasificados de acuerdo a algún criterio) de los manglares por regiones y localidades.
-. La región con mayor número de estudios es la PY. Sin embargo, en la clasificación de CONABIO en esta región se mezclan localidades de características geomorfológicas distintas. Por una parte, la calizo-cárstica (parte norte de Campeche, Yucatán y Quintana Roo) y, por otra, la ribereña-deltaica (parte sur de Campeche). Es probable que se requiera una regionalización de los manglares de México basada en la integración de criterios climáticos, geomorfológicos, hidrológicos y ecológicos.
-. Los almacenes de Corg total son mayores en la región del GM y en los manglares de tipo ribereño. El compartimento más importante está en los sedimentos. Sin embargo, hay muy pocos datos de mediciones directas. Las mediciones de Corg subterráneo son difíciles en suelos orgánicos profundos (>1 m). En todo caso se requieren muchos más datos para hacer mejores estimaciones que contribuyan a los inventarios nacionales.
-. La gran mayoría de los estudios revisados se refieren a investigaciones de estructura de la vegetación y caída de hojarasca con enfoque de las variaciones espaciales o temporales. Salvo casos excepcionales, los estudios no incluyen datos o información sobre variables ambientales (salinidad intersticial, pH, redox) o procesos con los que se relacionan los patrones observados (hidroperíodo).
-. A través de la revisión de los estudios recopilados, se pudo detectar que hay múltiples causas de alteraciones y perturbaciones en los manglares de México con pérdidas de cobertura significativas. Estas se pueden incrementar por inundaciones, erosión, incremento del nivel medio del mar, intrusión salina, entre otros. Por lo tanto, mejores estrategias de conservación y restauración de componentes estructurales, funcionales y de paisaje, no solo podrían asegurar la conservación e incrementar de forma significativa los almacenes de Corg en los manglares de México, sino que también repercutiría en otros servicios ambientales.
Perspectivas y líneas de investigación
- Si bien son escasos los estudios de almacenes de Corg en los manglares de México, lo son aún más los que se relacionan con flujos. Investigaciones sobre la dinámica de hojarasca (caída, descomposición y exportación) permitirían avanzar en el papel que estos ecosistemas juegan en la productividad de ecosistemas costeros adyacentes, y el grado de conectividad que tienen con ellos. Otro tipo de estudio que está creciendo en interés por el tipo de información a nivel del ecosistema que provee, es el de flujos de CO2 y CH4 mediante el uso de las torres de covarianza de torbellinos (Eddy Covariance) e incubaciones “in situ”.
- La importancia del almacén de Corg en sedimentos de manglares y el papel de las características del hidroperíodo en el funcionamiento de estos ecosistemas, es una oportunidad para futuras investigaciones. Una de ellas está relacionada con la diversidad de grupos funcionales y procesos microbiológicos, para avanzar en el entendimiento del papel que las bacterias y hongos tienen no solo en la dinámica del C, sino también en la de otros elementos (N, P, S), y cómo se conectan entre ellos.
- Actualmente, las técnicas de caracterización de la composición molecular de las fuentes de materia orgánica y las de trazadores isotópicos, ofrecen la oportunidad de rastrear el origen de la materia orgánica (alóctono, autóctono) y entender los cambios que estos ambientes han experimentado en el largo plazo. Los resultados de este tipo de investigaciones se pueden asociar con el actual funcionamiento ecosistémico e incorporar esta información en modelos ecológicos para simulaciones de escenarios futuros, cuyos resultados pueden orientar acciones de adaptación y mitigación.
-. La escases de estudios relacionados no solo de los almacenes y flujos de carbono, sino de otros elementos (N y P) en los manglares de México, implica que están abiertas múltiples líneas de investigación relacionadas con los ciclos biogeoquímicos en estos ecosistemas.
-. La variabilidad de climas, geoformas, condiciones hidrológicas, niveles y tipos de impacto, son oportunidad para estudios de variabilidad espacial y temporal de procesos que se relacionan con el almacenamiento y flujos de carbono en manglares con un enfoque ecosistémico. Detectar variaciones de acuerdo con gradientes ambientales, tipos ecológicos y perturbaciones, ayudaría a definir patrones relacionados con los recursos, estresores e hidrología, de acuerdo con diferentes ambientes geomorfológicos e impactos.










nueva página del texto (beta)




