Introducción
La urbanización es el proceso de concentración de la población en áreas urbanas y conlleva la transformación dicotómica de las conductas sociales y culturales de la población (Pacione, 2001, p. 67). Esta concentración es producto de un complejo proceso histórico que explica la localización de las actividades económicas, su dinámica de crecimiento, y la distribución y cambio poblacional. La urbanización ha sido estudiada por la concentración de inversión productiva, de infraestructura y equipamiento, y de oportunidades de empleo en las áreas urbanas. Las ciudades son nodos de concentración de capital y de empleo, pero también son generadoras de ideas, innovaciones y usos productivos de la tecnología (United Nations, 2012). Además, la ciudad debe entenderse de dos maneras: i) como fuerza productiva, es decir, la producción, acumulación y concentración de un medio construido para atender las actividades humanas y el desarrollo de las funciones de producción, distribución, intercambio y consumo; y ii) como sede de la cristalización y evolución de un espacio socialmente construido, en donde las relaciones sociales se expresan en términos de innovación, creatividad, desigualdad e inequidad (Lezama, 2014, pp. 17-35).
La distribución territorial de la población y su cambio en el tiempo han sido temas de análisis en los campos de la demografía y en los estudios urbanos, en los cuales se han tratado de modelar y explicar los patrones emergentes de la organización de la población y sus actividades. La urbanización y las grandes ciudades ofrecen oportunidades para el desarrollo, pero también retos para procurar disminuir la pobreza y la desigualdad (UN-Habitat, 2008). La dinámica demográfica y la expansión territorial de estas grandes ciudades se han caracterizado por dos grandes procesos (Adolphson, 2009; Ismael, 2021): i) formas diferenciales del crecimiento físico; y ii) conformación de nodos alternativos de concentración del empleo. En este artículo se abunda en el primer aspecto, y su propósito consiste en ofrecer evidencia empírica sobre las características de la dinámica demográfica y de la expansión física del desarrollo urbano en México entre 1990 y 2020, con el fin de identificar patrones de uso y organización del suelo urbano. Se utiliza información estadística y cartográfica que proviene de los censos de población y vivienda a escalas municipal, localidad urbana y área geoestadística básica.
Para cumplir con los propósitos, este artículo se divide en cinco secciones, además de esta introducción. En el acápite siguiente se ofrece una breve discusión de la bibliografía. Posteriormente, se describe el procedimiento metodológico y la información utilizada. Más adelante, se estudia la dinámica demográfica del país y el cambio en la distribución territorial de la población en las principales ciudades para identificar posibles procesos de concentración o de dispersión del crecimiento urbano. Enseguida, se analiza la organización intraurbana e intrametropolitana de la población, utilizando a la densidad de población como indicador. Por último, se ofrecen unas notas finales.
Revisión bibliográfica
El grado de urbanización es un indicador que mide el porcentaje de la población que reside en áreas urbanas con respecto a la población total (Gottdiener et al., 2016, pp. 162-164). El cambio en el tiempo de esta medida es resultado del crecimiento natural de la población que habita en ciudades, de los flujos de migración con origen en comunidades rurales y destino en las ciudades, y del aumento en el número de localidades urbanas. La población urbana se distribuye entre un conjunto de localidades que conforman el sistema urbano nacional, las cuales son de diferente tamaño y van en un continuum desde pequeñas ciudades, pasando por las ciudades intermedias, hasta las de gran tamaño. Para el caso mexicano, se ha propuesto que las ciudades pequeñas son aquellas con población entre 15 000 y 99 000 habitantes; las intermedias oscilan entre 100 000 y 999 000 habitantes, mientras que las grandes ciudades, o millonarias, contienen una población de un millón o más habitantes (Poder Ejecutivo Federal, 1989; Ruiz, 1989).
Las ciudades son economías abiertas, por lo que desarrollan flujos entre ellas con diversos propósitos, que se expresan en el sistema urbano nacional y en la red global de metrópolis (McCann, 2013, pp. 154-192). La interacción entre ciudades puede ser evaluada en términos de flujos de personas, de bienes, de información o monetarios (Simmons, 1974). La distancia física y la fricción de la distancia tienen mayor efecto en los flujos de personas y de bienes, mientras que son de menor relevancia en los flujos monetarios y prácticamente inexistentes en los flujos de información, los cuales están anclados y potenciados al desarrollo de las tecnologías de la información y del acceso a internet (Cheshire et al., 2014, pp. 30-35).
El concepto de sistema urbano o sistema de ciudades fue introducido por Brian Berry, quien propuso que las urbes podían ser estudiadas a partir de sus interacciones e interdependencias con otras ciudades del sistema urbano, interrelaciones que abarcan elementos estructurales, funcionales o de dinámica, y que conforman un sistema urbano nacional y conjuntos de subsistemas regionales (Berry, 1964). Por su parte, Allan Pred señaló que cualquier área urbana en un país o región está económicamente vinculada a una o a más áreas urbanas en el mismo país o región (Pred, 1977); tales vínculos están estrechamente relacionados con elementos de costos, precios, oferta, demanda o tecnología.
El sistema de ciudades se refiere a las interrelaciones o interdependencias existentes entre las localidades, por lo que alude a un conjunto de asentamientos urbanos, a los atributos de estos asentamientos y a las relaciones entre ellos (Racionero, 1978, p. 16). Los sistemas urbanos se caracterizan por los siguientes elementos: i) jerarquía, en términos de la organización y posición geográfica de las ciudades según su tamaño de población; ii) función, tal como la económica, social, política o cultural que desempeña cada una de las ciudades que forman parte del sistema; y iii) interacción, determinada por su posición geográfica y expresada en términos de movimientos migratorios, movilidad de bienes y de servicios, o movilidad cotidiana por motivo laboral, de estudios u otro (Bourne, 1975, pp. 11-39; Zelinsky, 1971).
América Latina y el Caribe se caracterizan por la elevada concentración de su población en ciudades, urbanización que sólo es superada por América del Norte, así como por la existencia en 2020 de diez aglomeraciones metropolitanas con población de cinco millones o más de habitantes. La metropolización conlleva al surgimiento de una forma urbana territorialmente más amplia y funcionalmente más compleja que las tradicionales áreas urbanas (Delgado, 2003; Lencioni, 2013). En los procesos de reestructuración interna de una región metropolitana destacan la dispersión del crecimiento poblacional, las tendencias de los movimientos migratorios y la localización de las actividades económicas, elementos influenciados por la globalización y la fragmentación territorial de la producción manufacturera (Aguilar, 1999) que dan lugar a la consolidación de fuerzas centrípetas para la concentración espacial, o centrífugas para la dispersión, en función de las ventajas comparativas y competitivas de las localidades urbanas de la región.
En los análisis de la dinámica socioespacial de las ciudades en América Latina y el Caribe se deben tener presentes las características de la movilidad espacial de la población, los procesos de concentración o desconcentración de las aglomeraciones metropolitanas, la división cada vez más difusa entre campo y ciudad, y la segregación socioespacial en la trama intrametropolitana (Pinto, 2013). De manera paralela, se ha evidenciado una disminución en la intensidad y el volumen de la migración interna, restando su papel como mecanismo de redistribución territorial de la población, además de la lenta dispersión de la población y del empleo desde las ciudades centrales hacia las periferias metropolitanas, y la emergencia y conformación de regiones urbanas (Rodríguez, 2016; Sobrino, 2021).
Urban sprawl, o simplemente sprawl, según su connotación en inglés, se refiere al crecimiento y a la distribución intraurbana de la población y sus actividades que han ocurrido principalmente en ciudades de Estados Unidos, y se caracteriza por una dispersión del tejido urbano, ocupación del suelo con bajas densidades de población y conformación de asentamientos discontinuos al área urbanizada (Kaplan et al., 2009, pp. 160-161; Gillham, 2002; Tsai, 2005, p. 142). Constituye un desarrollo urbano disperso, dependiente del automóvil, fuera del área urbana compacta y a lo largo de vialidades y carreteras.
Sprawl tiene que ver con la manera en la que se utiliza el suelo, en la que se desplaza la población y en la que se interpreta el lugar (Howard et al., 2004, p. 2).
Desde una perspectiva más general, este tipo de desarrollo urbano contribuye al desenvolvimiento de la urbanización difusa, aunque hay que tener en cuenta que en ésta se interrelacionan dinámicas propias de las ciudades y de los espacios periurbanos que se van anexando a las aglomeraciones urbanas (Indovina, 1998; Zebadúa, 2021, pp. 17-19).
Entre las causas que dan origen a este tipo de forma urbana aparecen los bajos costos de transporte, el aumento en el ingreso real de la población y los hogares, la mejora en la infraestructura vial y los sistemas de transporte, los diferenciales en la renta del suelo e impuestos prediales, la violencia o inseguridad que existe en las zonas centrales de la ciudad, las políticas de fomento o de tolerancia a este tipo de desarrollos, y las preferencias individuales o de los hogares en sus decisiones de selección residencial. La inclinación por la tenencia de suelo en propiedad, no necesariamente regular, así como de vivienda propia por parte de hogares residentes de ciudades de México y de América Latina, ha conducido a la movilidad residencial intraurbana o intrametropolitana hacia las periferias, siendo uno de los elementos centrales para la expansión de los tejidos urbanos (Schteingart et al., 2023, pp. 24-30).
Las consecuencias del sprawl se expresan en: diferencias socioeconómicas y pautas para la segregación, diferente provisión de servicios públicos, no consecución de economías de escala en su prestación, reducidas oportunidades para el intercambio de ideas y conocimiento, apropiación de suelo anteriormente de uso agropecuario para el desarrollo urbano, utilización de suelo no apto para el crecimiento urbano, irregularidad en la tenencia de la tierra, desplazamientos cotidianos por diferentes motivos de mayor distancia y duración, y deterioro ambiental y obstáculos al desarrollo sostenible (Connolly, 2012; Fallah et al., 2011).
La densidad de población mide el número de habitantes por unidad de superficie. Este sencillo indicador se ha utilizado para conocer y explicar los patrones de uso y de ocupación del suelo urbano (Gottdiener et al., 2016, pp. 3-9); la formación de los gradientes de renta en el interior de las ciudades (Fujita, 1989, pp. 200-2010; Mills y Hamilton, 1994, pp. 131-154); las tendencias de la desconcentración intrametropolitana de la población (Millward y Bunting, 2008; Tsai, 2005); el análisis de la expansión urbana (urban sprawl) (Glaeser y Khan, 2004), o la composición topológica y de política territorial (McFarlane, 2016). Una limitante para este indicador consiste en la manera en la que se delimita el área urbana o el tejido construido de la ciudad, así como la cuantificación de esta superficie. Otra salvedad es que no considera la manera en la que se distribuye la población dentro de la ciudad o de la zona metropolitana. Se deben tomar en cuenta tres elementos para su cuantificación y análisis: i) escala geográfica; ii) uso de una medida simple de densidad; y iii) variable apropiada de interés para el estudio de la densidad: población, empleo, producción (Duranton y Puga, 2020).
Estudios empíricos han mostrado que, a mayor tamaño de la ciudad, mayor densidad de población (García et al., 2017); además de que, a mayor distancia del centro de la ciudad, menor densidad de población (Balchin et al., 2000, pp. 80-82), hecho vinculado a la fricción de la distancia o la relación inversa entre distancia e interacción (Castree et al., 2013, p. 111). Otros trabajos han comprobado que las ciudades con mayor productividad tienen mayor densidad de población (Fallah et al., 2011; Li y Liu, 2018; Rappaport, 2008), lo que significa que las ciudades compactas son más eficientes para el desempeño de las actividades económicas debido al uso y aprovechamiento de economías de aglomeración y de proximidad. Del mismo modo, el gradiente de densidad en aglomeraciones urbanas de Estados Unidos con estructura monocéntrica disminuía a razón de 20% al aumentar la distancia en una milla (Mills y Hamilton, 1994, pp. 135-137).
Las ciudades compactas presentan densidades de población generalmente mayores con respecto a las ciudades dispersas, además de tener ventajas ambientales tales como menor dependencia de movilidad motorizada (Piatkowski et al., 2019), o mejor protección, adaptación y/o transformación ante riesgos naturales (Lennon et al., 2014). En un estudio para Gran Bretaña se encontró que, a mayor densidad de población, mayores problemas e insatisfacción vecinal; pero al mismo tiempo, mejor acceso a servicios públicos, por lo que los efectos de la densidad de población en las dimensiones de sostenibilidad social y de equidad social trabajan en direcciones opuestas (Bramley y Power, 2009). Del mismo modo, otros estudios sugieren que la densidad de población está relacionada con el precio del suelo, de tal forma que el gradiente de renta a partir del centro de la ciudad fortalece la mayor intensidad de uso del suelo en los espacios centrales (Duranton y Puga, 2020).
Datos y métodos
El punto de partida del presente artículo consiste en identificar y delimitar al sistema urbano nacional o sistema nacional de ciudades. Para su delimitación en 2020, se utilizó información estadística y cartográfica del censo de población y vivienda, en específico la de localidades urbanas según tamaño de población y posición geográfica.1 Por ciudad se entiende aquella localidad censal o conjunto de localidades urbanas censales contiguas con al menos 15 000 habitantes. En el caso de localidades contiguas, es decir, localidades con unión física, se encontraron ejemplos en los que la aglomeración urbana comprendía localidades ubicadas en el mismo municipio, pero también en donde éstas pertenecían a dos o más municipios distintos y su población conjunta era menor a 50 000 habitantes.2
La unión física de las localidades se verificó con el uso de los sistemas de información geográfica ArcGis (dissolve) y GeoDa (matriz de vecindad según principio de reina).
El sistema urbano se complementó con la definición y delimitación de zonas metropolitanas elaborada por Isela Orihuela y Jaime Sobrino (2023), que se sustenta en tres criterios: i) suma de municipios contiguos y continuos en donde hay una localidad censal de al menos 50 000 habitantes con unión física a otra u otras localidades urbanas ubicadas en municipios contiguos y continuos; ii) suma de municipios en donde hay localidades urbanas unidas físicamente y que en conjunto suman más de 50 000 habitantes; o iii) suma de municipios contiguos en donde hay al menos una localidad de 50 000 o más habitantes y que contiene nexos funcionales con localidades de 15 000 y más habitantes ubicadas en uno o más municipios contiguos.
Este ejercicio de delimitación del sistema urbano nacional en 2020 se replicó para 1990, 2000 y 2010, de tal manera que se logró tener una serie de tiempo con ciudades y zonas metropolitanas delimitadas con criterios homologados (Cuadro 1).
Cuadro 1 México, sistema urbano nacional, 1990-2020
| Concepto | 1990 | 2000 | 2010 | 2020 |
| Población del país (miles) | 81 250 | 97 483 | 112 337 | 126 014 |
| Población del sistema urbano (miles) | 51 210 | 65 886 | 79 878 | 92 671 |
| Grado de urbanización | 63.0 | 67.6 | 71.1 | 73.5 |
| Ciudades y zonas metropolitanas | 303 | 339 | 382 | 410 |
| Ciudades | 262 | 289 | 325 | 348 |
| Zonas metropolitanas | 41 | 50 | 57 | 62 |
| Ciudades según tamaño de población | ||||
| Millonarias | 5 | 9 | 12 | 15 |
| Intermedias | 59 | 69 | 81 | 85 |
| Pequeñas | 239 | 261 | 289 | 310 |
| Área urbana (km2)a | 10 998 | 13 746 | 16 120 | 17 738 |
aSe refiere a la superficie de la o las localidades urbanas censales pertenecientes a una ciudad o a una zona metropolitana.
Fuente: Elaboración propia con información de los Censos de Población y Vivienda y del Marco Geoestadístico (INEGI, 1990, 2000, 2010, 2020a, 2020b).
El número de ciudades y zonas metropolitanas en el país se incrementó de 303 en 1990 a 410 en 2020, mientras que su población avanzó de 51.2 a 92.6 millones de habitantes. En 2020 el sistema urbano del país estuvo compuesto por 15 metrópolis con más de un millón de habitantes, 85 ciudades y zonas metropolitanas con población entre 100 000 y 999 000 habitantes, y 310 ciudades con rango de población entre 15 000 y 99 000 habitantes. La Ciudad de México rebasó 21 millones de habitantes, en tanto que Monterrey superó a Guadalajara para convertirse en la segunda metrópoli más poblada del país. En este artículo se denomina principales ciudades a las 100 ciudades y zonas metropolitanas con población de 100 000 y más habitantes en 2020.
En 1990 el grado de urbanización fue de 63%, mientras que en 2020 se ubicó en 73.5%. La mayor concentración de la población en ciudades se explica principalmente por los flujos de migración interna con origen en comunidades rurales y destino en ciudades. Otro elemento que lo explica, aunque en menor medida, es el aumento en el número de ciudades. Por su parte, el área urbana sumó 10 998 kilómetros cuadrados en 1990, lo que da una densidad promedio de 47 habitantes por hectárea (hab./ha), indicador que aumentó a 52 hab./ha en 2020.3
El estudio de la dinámica demográfica se llevó a cabo con el uso de la tasa geométrica de crecimiento poblacional, la cual evalúa el cambio relativo de una población (Anderson, 2015, ppH. 32-39).4 Este cambio en una ciudad o zona metropolitana es producto de la conjugación del componente natural (diferencia entre nacimientos menos defunciones) y del componente social (inmigrantes menos emigrantes). En el presente artículo no se abunda sobre la descomposición del cambio demográfico, pero hay que tomar en cuenta que, a mayor tasa de crecimiento poblacional, mayor saldo positivo del balance migratorio (Sobrino, 2021). El análisis de la dinámica demográfica se centra en las principales ciudades del país y se utiliza una delimitación fija para todo el periodo de estudio. Esta delimitación fija consiste en mantener el mismo número de municipios para cada zona metropolitana, a partir de su configuración en 2020, así como en considerar la población municipal en la que se ubica la ciudad.
Para valorar la forma urbana de la ciudad o de la zona metropolitana se comparó el volumen de su población concentrada frente al de la población dispersa. La población concentrada se estimó con la suma de las áreas geoestadísticas básicas (AGEB) unidas físicamente en la aglomeración urbana de mayor tamaño de población, con respecto del resto de la población municipal o del resto de la población de la zona metropolitana. En otras palabras, se contrastó la población concentrada en una aglomeración urbana continua con relación a la población total municipal, si se trataba de una ciudad, o de la zona metropolitana.5 Dicho ejercicio se llevó a cabo con el uso de ArcGis (dissolve; union). La información sobre población por AGEB estuvo disponible para los años de 1990, 2010 y 2020, en tanto que para 2000 se tuvo información de población por localidad urbana censal.
Por ejemplo, la Zona Metropolitana de la Ciudad de México se delimitó en 2020 con las 16 alcaldías de la Ciudad de México, un municipio de Hidalgo y 41 municipios del Estado de México. Su población sumó 21.2 millones de personas, de la cual 20.7 millones residían en 296 localidades urbanas censales. Estas localidades se agrupaban en 79 aglomeraciones urbanas, siendo la de mayor tamaño aquella con un volumen de 19.1 millones de habitantes y correspondiendo a la notación de población concentrada. La población dispersa se estimó con la resta de la población total, 21.2 millones de personas, menos la población concentrada, 19.1 millones de personas; esto es, 2.1 millones de habitantes.
Por último, el análisis de la densidad de población permitió abundar sobre el patrón de distribución territorial de la población en el interior de una ciudad o de una zona metropolitana. Este indicador mide el número de habitantes por unidad de superficie:
En la bibliografía especializada se apuntan medidas complementarias para su estudio, las cuales requieren de datos no sólo del total de la población y de la superficie de la ciudad, sino también de su desagregación geográfica. El grupo interinstitucional para la delimitación de las zonas metropolitanas de México cuantificó la densidad media urbana (Sedesol, Conapo e INEGI, 2012, pp. 33-34) a partir de la densidad de población, o densidad bruta de cada una de las AGEB urbanas, ponderada por su tamaño de población:
En donde pobi y supi es la población y la superficie del AGEB i, respectivamente. El valor de la densidad media urbana es mayor que el de la densidad de población. En 2020, la densidad media urbana fue, en promedio, 1.52 veces mayor con respecto a la densidad de población entre las principales ciudades del país.
Otro indicador es la medida de expansión urbana (sprawl measure), que considera la distribución intraurbana o intrametropolitana de la población. Este indicador incorpora las diferencias que existen en la densidad de población dentro de una ciudad o de una zona metropolitana (Fallah et al., 2011). Su fórmula es:
En donde %B es la proporción de la población total de la ciudad o de la zona metropolitana que vive en unidades territoriales con baja densidad de población, y %A es la proporción de la población total que vive en unidades territoriales con alta densidad de población. El punto de corte de la densidad de población en las unidades territoriales puede ser la media, la mediana o algún otro valor que hable sobre un patrón estándar de urbanización en el sistema urbano nacional. Esta medida tiene valores entre 0 y 1, siendo que los valores cercanos a 0 indican dispersión de la población en unidades territoriales de baja densidad de población, y los cercanos a 1 muestran concentración territorial de la población. Para el cálculo de la medida de expansión urbana de las principales ciudades en 2010 y en 2020, se utilizó como punto de corte una densidad de población de 50 hab./ha.
Un indicador adicional es el índice de disparidad territorial, que retoma la formulación del coeficiente de Gini y se expresa de la siguiente manera:
En donde pobi y supi es la población y la superficie del AGEB i, respectivamente, mientras que pob es la población total de la ciudad o la zona metropolitana y sup es la superficie urbana o metropolitana total. El índice tiene valores de 0 a 1, siendo que 0 indica una distribución homogénea de la población, es decir, que todas las unidades territoriales tienen la misma densidad de población, mientras que valores cercanos a 1 se refieren a la concentración de la población en pocas unidades territoriales. A mayor valor del índice, mayor diferencia en la densidad de población entre unidades territoriales. El valor del índice se interpreta como el porcentaje de la población que se tendría que redistribuir en el interior de la ciudad para lograr una misma densidad de población en todas las unidades territoriales.
Finalmente, el gradiente de densidad es un instrumento estadístico que permite estimar la manera en la que disminuye la densidad de población conforme se incrementa la distancia al centro o al centroide de la ciudad. La fórmula es:
En donde dx es la densidad de población en la distancia x, d0 es la densidad de población en el centro o en el centroide de la ciudad, e es la constante neperiana y α muestra la razón de cambio en la densidad de población conforme se incrementa la distancia. Esta fórmula se puede expresar en términos de logaritmos para operativizar en un modelo de regresión lineal simple.
Como se mencionó previamente, para que el análisis en el tiempo se llevara a cabo en unidades territoriales homologadas, la definición y delimitación de ciudades y zonas metropolitanas de 2020 se mantuvo fija para los años de 1990, 2000 y 2010. En las siguientes secciones se presentan los hallazgos más representativos.
Dinámica y distribución territorial de la población
La población del país creció de 81.2 a 126 millones de habitantes entre 1990 y 2020, lo que establece una tasa de crecimiento promedio anual (TCPA) de 1.5% y crecimiento relativo de 55%. Por su parte, la población residente en las principales ciudades, según delimitación fija, avanzó de 49.9 millones en 1990 a 84.9 millones en 2020, con TCPA de 1.8% y crecimiento relativo de 70%. Debido a que la población de las principales ciudades tuvo mayor dinamismo con respecto a la población en su conjunto, su participación demográfica avanzó de 61.5% en 1990 a 67.4% en 2020 (Gráfica 1 ). Las principales ciudades sumaron cien.

Fuente: Elaboración propia con información de los Censos de Población y Vivienda (INEGI, 1990, 2010, 2020a).
Gráfica 1 México: población total y de las principales ciudades, 1990-2020
La dinámica demográfica de México entre 1990 y 2020 se caracterizó por su desaceleración, siendo que entre 1990 y 2000 la TCPA fue de 1.9%, mientras que para el decenio 2010-2020 se ubicó en 1.2%. Esta desaceleración obedeció, fundamentalmente, a la última etapa de la transición demográfica, caracterizada por la caída en la fecundidad (Lee y Reher, 2011). Según datos de la Conciliación demográfica 1950-2015,6 la tasa global de fecundidad en 1990 se estimó en 3.5 hijos nacidos vivos por mujer durante su edad reproductiva, indicador que disminuyó a 2.3 en 2010 y a 2.1 en 2020. Por su parte, la tasa bruta de mortalidad fue de 5.3 defunciones por cada mil habitantes al año en 1990, cayendo hasta 4.5 en 2001, y aumentando a partir de ese año por efecto del envejecimiento demográfico, por el cambio en las causas de muerte por enfermedades y por la violencia e inseguridad (Mina, 2020). Las defunciones alcanzaron 6.1 por cada mil habitantes al año en 2020.
Otro elemento que interviene en la dinámica demográfica es el crecimiento social, en este caso el saldo de la migración internacional del país. A partir de las estimaciones de la conciliación demográfica, el crecimiento natural de México entre 1991 y 2020 fue de 52.2 millones de personas, derivadas de un total de 68.8 millones de nacimientos y 16.6 millones de defunciones. El crecimiento total fue de 44.8 millones de personas, es decir, la diferencia entre la población de 2020 menos la de 1990, por lo que el saldo migratorio fue de -7.4 millones de personas, emigrantes que se fueron a residir de manera preponderante a Estados Unidos (véase Giorguli y Angoa, 2020). La tasa de migración neta en el periodo 1990-2020 fue de -2.4 personas por cada mil habitantes al año.
La población conjunta de las principales ciudades, según delimitación fija, fue de 49.9 millones de personas en 1990, y en 2020 aumentó a 84.9 millones (Gráfica 2). Su TCPA también fue en descenso durante el periodo y de un valor de 2.3% en la década 1990-2000 a 1.4% entre 2010 y 2020. El ritmo de crecimiento superó al del país en su conjunto, situación que se explica por el saldo positivo en la migración interna. La redistribución de la población desde comunidades rurales hacia estas ciudades y zonas metropolitanas entre 1990 y 2020 se estima en 6.2 millones de personas, más un monto de 1.2 millones atribuible al crecimiento natural de la población migrante en su ciudad de destino.

Fuente: Elaboración propia con información de los Censos de Población y Vivienda y del Marco Geoestadístico (INEGI, 1990, 2000, 2010, 2020a, 2020b).
Gráfica 2 México: crecimiento de población, viviendas y superficie en las principales ciudades, 1990-2020
Desde el punto de vista del crecimiento absoluto, entre 1990 y 2020 la población total en las principales ciudades del país aumentó en 35 millones de personas: de 49.9 a 84.9 millones de habitantes. En términos generales, a mayor tamaño de población, mayor aumento demográfico, debido a que el motor de la urbanización ha sido el componente natural del cambio demográfico. De los 35 millones de incremento poblacional, 28 fueron resultado de los nacimientos menos las defunciones, mientras que siete millones correspondieron al saldo migratorio más su componente reproductivo.
El número de viviendas particulares se elevó de 9.3 millones en 1990 a 22.6 millones en 2020, con un incremento absoluto de 13.3 millones de nuevas moradas. Para el primer año había en promedio 4.9 habitantes por vivienda, indicador que se redujo a 3.5 en 2020 por los efectos de la primera y la segunda transición demográfica: la primera relacionada con la disminución de la fecundidad (Benítez-Zenteno, 2004); la segunda por la diversificación de los arreglos familiares y la emergencia de otros tipos de hogares (Ariza y de Oliveira, 2006; Lesthaeghe, 2010).
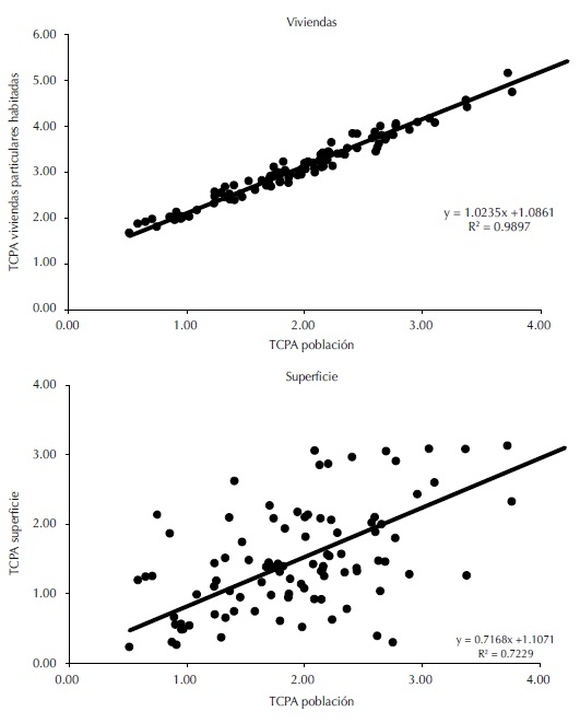
La superficie urbanizada creció de 9 697 kilómetros cuadrados (km2) en 1990 a 14 775 km2 en 2020; una expansión de 5 078 km2, o 507 800 hectáreas (ha), con un promedio de incorporación de 16 927 ha por año. Al aumentar la población en 100 habitantes, el número de viviendas se incrementó en 45 unidades. Esta población y estas viviendas ocuparon 1.08 ha para el nuevo desarrollo urbano. El incremento poblacional explicó en 98% y en 88% el cambio en el número de viviendas y en la expansión de la superficie, respectivamente.
Las ciudades de estudio registraron en conjunto una TCPA de su población del orden de 1.8% anual promedio entre 1990 y 2020, mientras que las viviendas crecieron a una tasa de 2.9%, y la superficie lo hizo al 1.4% (Gráfica 3). Estos valores marcan tres procesos diferenciales: i) las viviendas particulares habitadas se incrementaron a mayor ritmo con respecto de la población, gracias a los efectos de las transiciones demográficas antes descritas; ii) la producción de vivienda ocurrió a mucho mayor dinamismo con respecto al crecimiento de la superficie urbana, por lo que hubo mayor intensidad en la ocupación y en la utilización del suelo urbano;7 y iii) la población creció a mayor ritmo con respecto a la superficie utilizada para el desarrollo urbano, por lo que hubo un aumento en la densidad de población.

Fuente: Elaboración propia con información de los Censos de Población y Vivienda y del Marco Geoestadístico (INEGI, 1990, 2000, 2010, 2020a, 2020b).
Gráfica 3 México: tasa de crecimiento de la población, las viviendas y la superficie en las principales ciudades, 1990-2020
El ritmo de crecimiento de las viviendas se explica en gran medida por la dinámica poblacional. La función de regresión lineal de ajuste estima que la tasa de crecimiento de las viviendas fue de 1%, independientemente de la dinámica demográfica y como resultado de los ajustes en los hogares, además de crecer a una tasa de crecimiento similar a la de la población. En otras palabras, si alguna ciudad habría tenido crecimiento poblacional cero, las viviendas habrían crecido a una tasa promedio anual del 1%. Por su parte, la función de ajuste para la superficie muestra que el dinamismo de la superficie urbana independiente del cambio demográfico fue de 0.10% promedio anual, en tanto que, al aumentar en un punto porcentual la tasa de crecimiento poblacional, la tasa de crecimiento del suelo utilizado para el desarrollo urbano avanzó a razón de 0.72 puntos porcentuales.
Las ciudades y zonas metropolitanas de mayor crecimiento poblacional no necesariamente tuvieron una expansión física más allá de lo esperado: las urbes fronterizas de Acuña y Tijuana, los destinos turísticos de Cancún, Los Cabos, Playa del Carmen y Puerto Vallarta, así como las ciudades industriales de Querétaro y San Juan del Río atestiguaron el mayor dinamismo poblacional entre 1990 y 2020; en todas ellas su expansión urbana fue muy cercana a la estimada según el modelo de regresión lineal. En cambio, La Paz, Lázaro Cárdenas, Parral y San Luis Río Colorado, así como las zonas metropolitanas de León, Rioverde, Sabinas y Toluca, registraron una expansión urbana más allá de la esperada según su crecimiento poblacional. Tuvieron un dinamismo poblacional de 2.3% anual promedio, pero la superficie urbanizada se incrementó en 2.8% anual promedio. Quizá el único atributo que comparten es su tamaño de población, ya que, salvo León y Toluca, las seis restantes tenían menos de 300 000 habitantes en 2020. El desarrollo urbano más allá del esperado pudo ser respuesta de decisiones de los gobiernos municipales para permitir desarrollos habitacionales periféricos y de baja densidad de población, o también pudo deberse a la imposibilidad de estos gobiernos para inhibir dicho tipo de crecimiento.
Por el contrario, en las zonas metropolitanas de Aguascalientes, Nuevo Laredo, Puebla, Puerto Vallarta, Saltillo, Tijuana, Tlaxcala y Tuxtla Gutiérrez la expansión urbana fue menor a la estimada según la función de ajuste. Acusaron una TCPA conjunta de 2.6%, sin embargo, la superficie urbanizada sólo se incrementó a un ritmo 0.7% anual promedio. Su tamaño de población era de al menos 400 000 habitantes en 2020, pero sin algún otro rasgo común. Es probable que la expansión física en estas metrópolis estuvo supeditada a acciones de planeación territorial.
Las principales ciudades del país tenían una densidad conjunta de 47 hab./ha y de 9.7 viviendas por hectárea (viv./ha) en 1990. La dinámica diferencial de la población, la producción de vivienda y la superficie urbanizada repercutió en una densidad de población de 53 hab./ha, y de 15.3 viv./ha en 2020. Esto significa que en las principales ciudades del país habría ocurrido una tendencia general hacia la urbanización compacta, a decir del aumento en la densidad de población y en el número de viviendas por unidad de superficie. A continuación se abunda sobre las características de esta urbanización, siendo que en la siguiente sección se estudia la forma urbana, mientras que la densidad de población es tema del acápite posterior.
Forma urbana
La forma urbana se corresponde con la geografía urbana o metropolitana de la población y sus actividades, es decir, con su distribución intraurbana o intrametropolitana. La forma urbana tiene que ver con la materialidad de la ciudad, o la manera en la que se lleva a cabo la producción social del espacio urbano (Harvey, 1994; Latham et al., 2009, pp. 54-69). Otro elemento que interviene al respecto consiste en las condiciones físico-geográficas del lugar en donde se ubica la ciudad. Un tercer aspecto se relaciona con las funciones económicas de producción, distribución y consumo que se llevan a cabo (Sassen, 2000, pp. 59-85). El estudio de la forma urbana generalmente se ha llevado a cabo a partir de la contrastación entre una forma compacta o una dispersa (sprawl). Para concretizar el análisis, en este artículo se compara la población del municipio o de la zona metropolitana que residía en el área urbana continua de mayor tamaño con respecto a la población total del municipio o de la zona metropolitana; esta comparación se lleva a cabo en el tiempo (Cuadro 2). Con el procedimiento metodológico propuesto, se tiene que en 1990 había 41 millones de personas que residían en las aglomeraciones urbanas de mayor tamaño de población, mientras que 8.9 millones se distribuían de manera dispersa. Para 2020 los montos cambiaron a 68.1 millones de habitantes concentrados contra 16.8 millones de habitantes que residían de manera dispersa. En términos relativos, la población concentrada se incrementó en 66%, pero la dispersa lo hizo en 89%.
Cuadro 2 México: geografía de la población en las principales ciudades, 1990-2020
| Rubro | 1990 | 2000 | 2010 | 2020 |
| Población México (miles) | 81 250 | 97 483 | 112 337 | 126 014 |
| Población principales ciudades (miles)a | 49 973 | 62 616 | 74 130 | 84 950 |
| Población urbana (miles)b | 45 196 | 57 487 | 68 237 | 78 553 |
| Concentrada (miles)c | 41 043 | 51 154 | 60 130 | 68 114 |
| Dispersa (miles) | 4 153 | 6 333 | 8 107 | 10 439 |
| Resto población dispersa (miles) | 4 777 | 5 129 | 5 893 | 6 397 |
| Participación población urbana concentrada | 82.1 | 81.7 | 81.1 | 80.2 |
| Participación población dispersa | 17.9 | 18.3 | 18.9 | 19.8 |
| Superficie urbana (km2)b | 9 697 | 11 897 | 13 622 | 14 775 |
| Concentrada (km2)c | 7 850 | 9 548 | 10 773 | 11 473 |
| Dispersa (km2) | 1 847 | 2 349 | 2 849 | 3 302 |
| Participación superficie urbana concentrada | 81.0 | 80.3 | 79.1 | 77.7 |
| Participación superficie urbana dispersa | 19.0 | 19.7 | 20.9 | 22.3 |
a Corresponde a la población total municipal.
b Se refiere a la población y a la superficie de las localidades urbanas.
c Consiste en la población y la superficie de la principal aglomeración urbana.
Fuente: Elaboración propia con información de los Censos de Población y Vivienda y del Marco Geoestadístico (INEGI, 1990, 2000, 2010, 2020a, 2020b).
Desde el punto de vista participativo, cuatro de cada cinco residentes en las principales ciudades del país en 2020 se concentraban en la principal aglomeración urbana de la ciudad o de la zona metropolitana respectiva, mientras que el 20% restante era población que vivía de manera dispersa. Asimismo, entre 1990 y 2020 la participación de la población dispersa avanzó de 18 a 20%, lo que infiere una cierta tendencia a la urbanización dispersa en el país. Esta dispersión entre 1990 y 2020 fue del orden de ocho millones de personas y de una ganancia de dos puntos porcentuales en el patrón de distribución territorial de la población.
Por su parte, el área urbana de las principales aglomeraciones, es decir, de la población concentrada, sumó 7 850 km2 en 1990 y 11 473 km2 en 2020, lo que implicó un aumento absoluto por 3 623 km2 y relativo de 46%. La superficie de las áreas urbanas dispersas creció de 1 847 a 3 302 km2, una expansión de 1 455 km2 y crecimiento relativo de 79%. Por cada 100 ha de aumento en la urbanización concentrada, hubo 40 ha que se incorporaron a la urbanización dispersa. Como resultado del mayor crecimiento relativo de la población urbana con respecto al área urbana, la densidad de población aumentó de 47 hab./ha en 1990 a 53 hab./ha en 2020. Asimismo, la densidad de población en las áreas concentradas fue significativamente mayor con respecto a la de las áreas dispersas, siendo que en las primeras el indicador subió de 52 a 59 hab./ha entre 1990 y 2020, mientras que en las segundas el incremento fue de 23 a 32 hab./ha. En el marco de la urbanización dispersa, hubo un incremento generalizado de la densidad de población.
Las principales ciudades del país exhibían diferenciales en su forma urbana y en el patrón de cambio durante el periodo de estudio. En Acuña, Cancún, Ciudad Guzmán, Ciudad Juárez, Nuevo Laredo, Parral y Saltillo, al menos el 95% de su población estaba concentrada; mientras que en Cuautla, Jojutla, La Piedad, Puerto Vallarta, Salina Cruz, Santiago Tianguistenco, Tula de Allende y Villahermosa, menos de la mitad de su población residía en la aglomeración urbana principal. En el Mapa 1 se muestran ejemplos de ciudades compactas, intermedias y dispersas. Las primeras son aquellas en donde 85% o más de su población total se concentraba en la aglomeración principal; la forma urbana intermedia corresponde a ciudades y zonas metropolitanas en donde la aglomeración principal concentraba entre 70 y 84% de la población total, mientras que en las dispersas menos de 70% de la población total residía en la aglomeración principal.

Fuente: Elaboración propia con información del Censo de Población y Vivienda 2020 y del Marco Geoestadístico (INEGI, 2020a, 2020b).
Mapa 1 México: ciudades según forma urbana, 2020
En el territorio nacional coexisten las ciudades compactas y las dispersas. Por número de ciudades, en 1990 las ciudades compactas eran 26 y aumentaron a 29 en 2020; las intermedias se incrementaron de 31 a 36, mientras que las dispersas se redujeron de 43 a 35. Este cambio muestra un patrón distinto con respecto al observado según la participación de la población dispersa en las principales ciudades, en donde hubo una ganancia de dos puntos porcentuales, de 18 a 20%.
El cambio en la geografía de la población fue diferencial entre las ciudades de estudio. Lázaro Cárdenas, Los Cabos, Orizaba, Rioverde y Tlaxcala experimentaron significativos procesos de concentración de población en torno a su aglomeración más importante, en tanto que el mayor avance en la dispersión se registró en Guadalajara, Monterrey, Morelia, Puerto Vallarta, Tijuana, Tulancingo, Veracruz y Villahermosa. El primer grupo tendió hacia un patrón compacto, y el segundo hacia uno disperso.
En términos generales, las ciudades compactas eran de mayor tamaño de población con respecto a las dispersas. Las urbes fronterizas tendían hacia una estructura compacta, en tanto que las dispersas se ubicaban preferentemente en el interior del territorio nacional. La dinámica demográfica 1990-2020 fue independiente de la forma compacta o dispersa de la ciudad. A continuación se discute la distribución intraurbana o intrametropolitana de la población.
Densidad de población
La densidad de población corresponde al cociente de la población entre la superficie ocupada, lo que indica el volumen de habitantes por unidad de superficie. La densidad de población de las aglomeraciones urbanas existentes en el planeta con 500 000 y más habitantes se estimó en 43 hab./ha, y con rango de variación desde 5 hab./ha en Knoxville, Estados Unidos, a 301 hab./ha en Dhaka, Bangladesh. Por subcontinentes, el rango iba de 16 hab./ha en América del Norte, a 30 en Europa, 56 en América del Sur, y 124 en el sur de Asia (Demographia, 2022).
En las ciudades de estudio se delimitó y cuantificó la población y la superficie de sus AGEB en 2010 y en 2020. El AGEB urbana es una superficie ocupada por un conjunto de manzanas perfectamente delimitadas por calles, avenidas, andadores o cualquier otro rasgo de fácil identificación en el terreno y cuyo uso del suelo es principalmente habitacional, industrial, de servicios, comercial o espacios abiertos. En 2010, las 100 aglomeraciones urbanas se desagregaban en 33 075 AGEB, con población conjunta de 68.2 millones de personas y superficie total de 13 622 km2. Los valores para 2020 fueron 38 030 AGEB, 78.5 millones de habitantes, y 14 775 km2.
En 2020 había 1 335 AGEB sin población y abarcaban 437 km2. Estas unidades geográficas se ubicaban principalmente en anillos interiores de las ciudades, por lo que se presume que se trata de áreas de localización de grandes infraestructuras, equipamientos o espacios abiertos. Del mismo modo, 2 361 AGEB tenían entre 1 y 34 habitantes, es decir, no más de diez viviendas particulares habitadas. La superficie de estas unidades sumó 300 km2.
En el Cuadro 3 se presentan los resultados de los indicadores de la distribución intraurbana de la población en 2010 y en 2020 que se discutieron en la sección metodológica: densidad de población, densidad media urbana, medida de expansión urbana, índice de disparidad territorial y gradiente de densidad.
Cuadro 3 México: indicadores de la distribución intraurbana de la población en ciudades seleccionadas, 2010-2020
| 2010 | 2020 | |||||||||
| Ciudades | Densidad población | Densidad media urbana | Medida expansión urbana | Índice disparidad territorial | Densidad población | Densidad media urbana | Medida expansión urbana | Índice disparidad territorial | Gradiente densidad | |
| Total 100 ciudades | 50 | 108 | 0.238 | 0.394 | 53 | 108 | 0.229 | 0.379 | ||
| Ciudades con mayor densidad de población | ||||||||||
| Ciudad de México | 90 | 164 | 0.105 | 0.368 | 94 | 163 | 0.095 | 0.350 | -0.039 | |
| Guadalajara | 70 | 125 | 0.144 | 0.356 | 74 | 122 | 0.139 | 0.330 | -0.061 | |
| León | 67 | 126 | 0.125 | 0.377 | 70 | 127 | 0.134 | 0.369 | -0.061 | |
| Veracruz | 71 | 107 | 0.126 | 0.289 | 69 | 109 | 0.136 | 0.302 | -0.158 | |
| Aguascalientes | 65 | 106 | 0.167 | 0.322 | 68 | 109 | 0.168 | 0.313 | n.s. | |
| Tepic | 63 | 89 | 0.160 | 0.265 | 66 | 95 | 0.157 | 0.263 | n.s. | |
| Xalapa | 59 | 97 | 0.187 | 0.330 | 63 | 98 | 0.192 | 0.307 | -0.274 | |
| Playa del Carmen | 37 | 123 | 0.143 | 0.601 | 62 | 159 | 0.095 | 0.509 | -0.464 | |
| Ciudad Guzmán | 56 | 80 | 0.206 | 0.261 | 62 | 83 | 0.188 | 0.232 | n.s. | |
| Irapuato | 60 | 107 | 0.141 | 0.341 | 61 | 103 | 0.167 | 0.329 | -0.720 | |
| Uruapan | 55 | 84 | 0.228 | 0.269 | 61 | 91 | 0.199 | 0.250 | -0.204 | |
| Cancún | 44 | 104 | 0.152 | 0.496 | 59 | 135 | 0.127 | 0.436 | -0.302 | |
| Ciudades con densidad de población intermedia | ||||||||||
| Torreón | 40 | 78 | 0.306 | 0.386 | 44 | 80 | 0.289 | 0.361 | -0.047 | |
| Matamoros | 41 | 71 | 0.363 | 0.335 | 44 | 80 | 0.351 | 0.348 | -0.394 | |
| Tampico | 40 | 81 | 0.236 | 0.409 | 44 | 88 | 0.231 | 0.395 | n.s. | |
| Apatzingán | 44 | 59 | 0.337 | 0.240 | 43 | 58 | 0.374 | 0.222 | -0.417 | |
| Tapachula | 41 | 68 | 0.344 | 0.341 | 43 | 69 | 0.355 | 0.319 | n.s. | |
| Tuxtla Gutiérrez | 38 | 81 | 0.267 | 0.439 | 43 | 82 | 0.292 | 0.396 | -0.099 | |
| Toluca | 39 | 65 | 0.433 | 0.302 | 42 | 66 | 0.399 | 0.276 | n.s. | |
| Ciudad del Carmen | 41 | 79 | 0.325 | 0.397 | 42 | 82 | 0.242 | 0.407 | -0.439 | |
| Campeche | 40 | 70 | 0.245 | 0.360 | 42 | 73 | 0.214 | 0.363 | -0.312 | |
| Tianguistenco | 39 | 58 | 0.370 | 0.274 | 42 | 59 | 0.407 | 0.243 | n.s. | |
| Pachuca | 36 | 83 | 0.314 | 0.449 | 42 | 83 | 0.284 | 0.427 | -0.073 | |
| Juárez | 37 | 67 | 0.339 | 0.368 | 42 | 71 | 0.304 | 0.339 | -0.131 | |
| Ciudades con menor densidad de población | ||||||||||
| Tulancingo | 25 | 64 | 0.539 | 0.412 | 27 | 61 | 0.535 | 0.385 | -0.130 | |
| La Paz | 32 | 61 | 0.430 | 0.356 | 26 | 60 | 0.486 | 0.417 | -0.206 | |
| Piedras Negras | 24 | 54 | 0.541 | 0.402 | 26 | 61 | 0.551 | 0.387 | n.s. | |
| Tuxtepec | 24 | 52 | 0.542 | 0.392 | 25 | 50 | 0.591 | 0.371 | n.s. | |
| Guaymas | 30 | 53 | 0.556 | 0.324 | 25 | 51 | 0.626 | 0.370 | -0.227 | |
| San Luis Río Colorado | 23 | 33 | 0.899 | 0.251 | 24 | 37 | 0.868 | 0.230 | -0.717 | |
| Cuauhtémoc | 21 | 48 | 0.558 | 0.442 | 24 | 50 | 0.551 | 0.405 | -0.324 | |
| Rioverde | 20 | 30 | 0.894 | 0.244 | 23 | 33 | 0.858 | 0.237 | n.s. | |
| Tepeji del Río | 19 | 32 | 0.812 | 0.290 | 22 | 39 | 0.739 | 0.290 | n.s. | |
| Lázaro Cárdenas | 19 | 71 | 0.316 | 0.598 | 20 | 70 | 0.345 | 0.589 | n.s. | |
| Sabinas | 20 | 43 | 0.643 | 0.432 | 20 | 44 | 0.630 | 0.419 | -0.610 | |
| Tlaxcala | 16 | 34 | 0.758 | 0.370 | 18 | 35 | 0.753 | 0.354 | -0.093 | |
n.s.: Función no estadísticamente significativa.
Fuente: Elaboración propia con información de los Censos de Población y Vivienda (INEGI, 2010, 2020a).
La densidad de población en las principales ciudades de México se caracteriza por dos hechos: i) al aumentar el tamaño de población aumenta la densidad de población, y ii) la densidad de población se incrementó con el paso del tiempo. La densidad de población en las principales ciudades del país fue de 50 hab./ha en 2010, aumentando a 53 hab./ha en 2020; este último valor estuvo por encima del registrado en las metrópolis del planeta con 500 000 y más habitantes, que fue 43 hab./ha (Demographia, 2022, p. 20).
La densidad de población entre las principales ciudades de México observó grandes diferencias según tamaño de población. La Ciudad de México registró 94 hab./ha en 2020, mientras que las metrópolis millonarias alcanzaron una densidad promedio de 53 hab./ ha, y de 41 hab./ha en las ciudades intermedias. En cambio, las pequeñas ciudades tuvieron 28 hab./ha. Se comprueba que en 2020 a mayor tamaño demográfico, mayor densidad de población. Esta relación entre tamaño y densidad aplica de la misma manera a las ciudades y a las zonas metropolitanas, lo que significa que la conformación de un tejido metropolitano no incide en la intensidad de uso del suelo. Las funciones estadísticas de ajuste muestran que, al aumentar el tamaño de población en un millón de personas, la densidad de población se elevaba en 3.1 hab./ha.
Las urbes con mayor densidad de población en 2020 eran Ciudad de México, Guadalajara, León, Veracruz y Aguascalientes; todas ellas zonas metropolitanas. Salvo Veracruz, las otras cuatro tenían más de un millón de habitantes. Otras ciudades con alta densidad de población eran Cancún y Playa del Carmen, destinos de playa en el Caribe mexicano, así como Ciudad Guzmán, Irapuato y Uruapan, ubicadas en la región occidente del país, y Tepic y Xalapa, zonas metropolitanas y capitales estatales.
En el polo opuesto, las zonas metropolitanas de Tulancingo, Piedras Negras, Guaymas, Rioverde, Tepeji del Río, Sabinas y Tlaxcala, así como las ciudades de La Paz, Tuxtepec, San Luis Río Colorado, Cuauhtémoc y Lázaro Cárdenas ostentaron las menores densidades de población. A excepción de Tlaxcala, las otras once tenían no más de 270 000 habitantes en 2020.
La densidad de población de las ciudades de estudio guardaba estrecha relación con la densidad media urbana y con la medida de expansión urbana. Con base en los valores de 2020, a mayor densidad de población, mayor densidad media urbana y menor medida de expansión urbana. Asimismo, a mayor densidad de población, menor índice de disparidad territorial, aunque esta relación no era estadísticamente significativa.
La densidad media urbana es un indicador de la organización de la población en el interior de la ciudad, en el cual se pondera el tamaño de las unidades espaciales en las que se desagrega a la ciudad, en este caso las AGEB. Este indicador alcanzó un valor de 108 hab./ha en 2010 y en 2020 para el conjunto de las 100 ciudades y zonas metropolitanas de estudio, lo que habla de la permanencia de la concentración de población en las unidades territoriales con mayor tamaño de población. En términos generales, al aumentar la densidad de población en una unidad, la densidad media urbana se incrementaba en 1.5 unidades. El rango de variación en 2020 iba de 33 hab./ha en Rioverde, a 163 en la Ciudad de México. Después de la esta última, seguían Playa del Carmen, Cancún, León, Guadalajara, Veracruz, Aguascalientes, San Luis Potosí, Monterrey, Irapuato, Tijuana y Querétaro, todas ellas con más de 100 hab./ha. En sentido contrario, las aglomeraciones con menor densidad media urbana eran Cuauhtémoc, Navojoa, Zacatepec, Sabinas, Tepeji del Río, San Luis Río Colorado, Tlaxcala y Rioverde, cuyos valores eran inferiores a 50 hab./ha.
La medida de expansión urbana muestra el porcentaje de la población total que residía en unidades territoriales de baja densidad de población. Para su cálculo se asumió que las AGEB con baja densidad de población eran aquellas en donde había menos de 50 hab./ha (menos de 14 viviendas por hectárea); es decir, que en ellas la distancia entre una y otra vivienda era de al menos 700 metros lineales.
Este indicador se ubicó en 0.238 en 2010 y en 0.229 en 2020, lo que significa que poco más del 20% de los residentes en la ciudad habitaba en una unidad territorial de baja densidad de población, además de no haber habido cambio sustantivo entre 2010 y 2020. A mayor densidad de población y a mayor densidad media urbana, menor medida de expansión urbana, lo que significa que, mientras más compacta era una ciudad, menor porcentaje de su población residía en unidades territoriales (AGEB) de baja densidad de población. En 2020 las aglomeraciones con menor medida de expansión urbana fueron Playa del Carmen, Ciudad de México, Cancún, León, Veracruz y Guadalajara, en donde a lo más el 15% de su población total residía en alguna AGEB de baja densidad de población. Por el contrario, en Tepeji del Río, Zacatepec, Sabinas, Tlaxcala, San Luis Río Colorado y Rioverde, más del 70% de su población total habitaba en unidades territoriales de baja densidad de población. En términos generales, a mayor medida de expansión urbana, mayor porcentaje de la población residía de manera dispersa.
El índice de disparidad territorial estima el porcentaje de la población que se tendría que redistribuir en el interior de la aglomeración urbana para lograr una densidad de población uniforme. En 2010 se tenía que redistribuir al 39% de la población de las principales ciudades del sistema urbano nacional para alcanzar una densidad de 50 hab./ha en todas las AGEB, mientras que en 2020 el porcentaje se redujo a 38% para obtener una densidad de 53 hab./ha. Al igual que con los indicadores anteriores, el índice de disparidad territorial mostró un cambio muy pequeño entre 2010 y 2020.
Los valores de este índice no tienen asociación con los de la densidad de población, pero sí con la densidad media urbana. A mayor densidad media urbana, mayor índice de disparidad territorial; lo que significa que, mientras más compacta es la ciudad, mayor porcentaje de la población se tendría que redistribuir para alcanzar una densidad homogénea. Esta relación establece la elevada densidad de población que existe en ciertas unidades territoriales de las ciudades, las cuales generalmente se ubican en la parte central de la urbe.
Apatzingán, San Luis Río Colorado, Ciudad Guzmán, Rioverde, Capulhuac, Ciudad Victoria y Poza Rica eran las aglomeraciones urbanas en donde se requería menor redistribución interna de la población para alcanzar una misma densidad de población en toda la ciudad, un porcentaje de menos del 25%. En cambio, en Playa del Carmen, Los Cabos y Lázaro Cárdenas se debía redistribuir a más del 50% de su población, buena parte de la cual habitaba en unidades territoriales de muy alta densidad de población.
Al igual que otros indicadores estudiados, el gradiente de renta se encuentra asociado al tamaño de población. A mayor tamaño de la aglomeración urbana, menor gradiente de renta. De acuerdo con los resultados obtenidos para 2020, en la Ciudad de México la densidad de población disminuía en 4% al aumentar la distancia al centroide en un kilómetro. Este gradiente pasó a 5% en Guadalajara y Monterrey, 11% en las metrópolis millonarias, 20% en las de entre 250 000 y 999 000 habitantes, y en 45% en las de 100 000 a 249 000 habitantes. Asimismo, 40 de las 100 principales ciudades no consiguieron una función de ajuste estadísticamente significativa, aspecto que se explica por sus patrones de conformación, caracterizados por la eventual unión y fusión de centros de población con poblamientos originales independientes.
Del mismo modo, a mayor tamaño de la aglomeración urbana, mayor volumen de población que residía en un radio de cinco kilómetros del centroide. En la Ciudad de México había más de un millón de personas viviendo cinco kilómetros a la redonda del centroide, contra poco más de 500 000 habitantes en Cancún, Guadalajara, León, Puebla y San Luis Potosí. En cambio, toda la población de las ciudades con menos de 200 000 habitantes residía en un radio menor a cinco kilómetros del centroide.
Notas finales
La urbanización consiste en la tendencia en el tiempo de la concentración de la población y de sus actividades en áreas urbanas. La dinámica demográfica y la expansión territorial de las ciudades se han caracterizado por dos grandes procesos: i) formas diferenciales del crecimiento físico hacia patrones concentrados o dispersos; y ii) conformación de nodos alternativos de concentración del empleo. En este artículo se discute el primer aspecto con la pregunta si la urbanización contemporánea en México ha sido compacta o dispersa, analizándose y discutiendo indicadores relacionados con la dinámica de crecimiento, forma urbana y geografía intraurbana o intrametropolitana de la población. El segundo tema será objeto de estudio en un próximo texto.
La información y el marco geoestadístico de los censos de población y vivienda ofrecen elementos para establecer que la dinámica demográfica en México entre 1990 y 2020 se caracterizó por la disminución del ritmo de crecimiento y por su tendencia a concentrar cada vez mayor proporción de la población en ciudades y zonas metropolitanas. La población total aumentó de 81.2 a 126 millones de personas, marcando un incremento absoluto de 44.8 millones de personas y TCPA de 1.5%, siendo de 1.9% entre 1990 y 2000, y de 1.2% para el decenio 2010-2020. Por su parte, la población en las 100 principales ciudades, según delimitación fija, creció de 49.9 a 84.9 millones, es decir 35 millones de personas adicionales y TCPA de 1.8%.
El área urbana en las principales ciudades se incrementó de 9 697 a 14 775 km2, un aumento absoluto en 5 078 km2 y TCPA de 1.4%. En promedio, la incorporación de suelo urbano se hizo a un ritmo anual de 220 km2 en la década de 1990, y de 115 km2 durante la segunda década del nuevo milenio. No sólo hubo desaceleración en el crecimiento de la población, sino también en la utilización de suelo urbano.
Debido a que la población tuvo un crecimiento relativo mayor al de la superficie, la densidad de población aumentó de 47 a 53 hab./ha. Sin embargo, en 1990 el 82% de la población de las principales ciudades residía en la aglomeración principal, porcentaje que disminuyó a 80% en 2020. Si bien la pérdida participativa es de apenas dos puntos porcentuales, en términos absolutos la población que residía en asentamientos dispersos se incrementó de 8.9 millones de personas en 1990 a 16.8 millones en 2020. Su TCPA fue de 2.1% y el crecimiento relativo de 88%.
La densidad de población en las ciudades de México se caracteriza porque a mayor tamaño de la ciudad, mayor densidad de población; además de que dicha densidad aumenta con el tiempo. Estas relaciones ponen de manifiesto un acompañamiento en los procesos de crecimiento y de concentración intraurbana de la población en el sistema urbano del país. En forma adicional, a mayor tamaño de la ciudad, menor gradiente de densidad, por lo que los diferenciales intraurbanos en la densidad de población van disminuyendo conforme la ciudad va aumentando de población. Los cálculos realizados dan cuenta de que en 2020 el 23% de la población urbana del país residía en alguna AGEB de baja densidad de población, además de que se requería redistribuir al 38% de la población para lograr una densidad uniforme en cada una de las cien ciudades de estudio.
Estos indicadores muestran un aparente desacuerdo para contestar la pregunta principal de este artículo, ya que el aumento en la densidad de población hablaría de una tendencia hacia la urbanización compacta, pero el discreto decremento en la participación de la población residente en la aglomeración principal indicaría una tendencia hacia la urbanización dispersa. En México coexisten ciudades compactas y ciudades dispersas (Mapa 2).

Fuente: Elaboración propia con información del Censo de Población y Vivienda 2020 y del Marco Geoestadístico (INEGI, 2020a, 2020b).
Mapa 2 México: ciudades según estructura compacta y dispersa, 2020
El análisis realizado pone de manifiesto tres elementos para valorar la estructura compacta o dispersa de una ciudad: i) porcentaje de la población que reside en la aglomeración principal; ii) densidad de población, y iii) complemento del índice de expansión urbana. Al aplicar un análisis factorial con los valores de estas tres variables en 2020, se encuentra que Ciudad de México, Guadalajara, León, Playa del Carmen, Veracruz, Tepic y Aguascalientes contenían los atributos para ser consideradas las urbes más compactas del sistema urbano nacional.8 Si bien Ciudad de México y Guadalajara aparecen como ciudades con forma intermedia en el Mapa 1, en cambio sus altos valores en la densidad de población y en el complemento del índice de expansión urbana les permitió ubicarse en este grupo. Por el contrario, Guaymas, Navojoa, Sabinas, Tlaxcala, Tula, San Luis Río Colorado y Rioverde obtuvieron las más bajas puntuaciones de factor y con ello serían las urbes con mayores características de una estructura dispersa.
Con el propósito de ofrecer variables explicativas de la forma compacta o dispersa de las ciudades de México, se corrió un ejercicio de regresión lineal múltiple y de regresión logística binaria. La variable dependiente en el primer modelo fue la puntuación del análisis factorial en 2020, mientras que en el segundo fue la categoría de ciudad compacta, si la puntuación de factor era positiva, o dispersa, con negativa puntuación de factor. Las variables de control fueron aquellas que se mencionan en la bibliografía como representativas de la expansión urbana: i) tamaño de población; ii) dinámica demográfica; iii) topografía; iv) posición geográfica (costera, fronteriza o del interior); v) especialización ocupacional (industria, comercio o servicios), y vi) porcentaje de la población en condición de pobreza. Los resultados de los ejercicios estadísticos muestran que las ciudades con atributos hacia una estructura compacta eran de mayor tamaño de población, mayor dinámica demográfica y mayor pendiente en su topografía con relación a las urbes con atributos hacia una estructura dispersa. Las ciudades compactas tenían estructura ocupacional con mayor preponderancia del sector servicios, mientras que en las dispersas aparecía una mayor proporción de capitales estatales.
La distribución territorial de la población dispersa era más propensa en urbes del interior del país y con especialización productiva en el comercio. Las zonas metropolitanas definidas por el principio de relación funcional también mostraban una forma dispersa de organización territorial. Otra variable a destacar es que en las ciudades y zonas metropolitanas dispersas había mayor porcentaje de población en condición de pobreza, por lo que la falta de ingresos y las carencias sociales motivan patrones dispersos de localización residencial, comportamiento similar al ocurrido en los últimos años en ciudades norteamericanas (Metropolitan Policy Program, 2010, pp. 132-143).
La manera en la que se organiza y se distribuye la población dentro de las aglomeraciones urbanas de México impacta en las características de sus mercados urbanos. Sin embargo, no hay evidencia empírica suficiente para precisar la relación entre forma urbana y eficiencia económica entre las principales ciudades del sistema urbano nacional. Al controlar el tamaño de población, el coeficiente de regresión entre la puntuación de factor en 2020 y la estimación del producto interno por habitante en 2018 fue positivo, pero carente de significancia estadística. La eficiencia económica urbana es independiente de la organización compacta o dispersa de la población en su interior. No obstante, esta distribución intraurbana de la población sí tenía efecto en el mercado urbano de trabajo, ya que, controlando nuevamente el tamaño de población, a mayor puntuación de factor, mayor sueldo promedio de la población ocupada. Una ciudad compacta ofrece ventajas para el desempeño del mercado urbano o metropolitano de trabajo. La densidad de población coadyuva a la concentración de la demanda en el mercado urbano y metropolitano de trabajo hacia las áreas centrales de la ciudad, pero esta concentración pone en desventaja a la población que reside en las áreas periféricas de la ciudad, situación que ha sido conceptualizada como el desajuste espacial (spatial mismatch) (Gobillon, Selod y Zenou, 2007; Kain, 1992).
Las ciudades más compactas, evaluadas en términos de su densidad de población y concentración en la principal aglomeración urbana, contienen mayor oferta relativa de viviendas en departamentos y vecindades, así como mayor proporción de viviendas en renta con respecto a las ciudades más dispersas. Sin embargo, a mayor densidad de población, mayor tamaño promedio de la vivienda, estimada en función del número de focos. Las ciudades más compactas en México no lo son por tener viviendas de menor tamaño, sino por hacer un uso más intensivo del suelo habitacional: tienen un mayor coeficiente de utilización del suelo a partir de megaproyectos con asociación pública-privada, en donde se construyen inmuebles de varios niveles que incorporan mezcla de usos, tales como habitacional, comercial y de oficinas.
Por último, a mayor densidad media urbana, menor porcentaje de viviendas con automóvil particular. La tenencia del automóvil en casa estimula la dispersión, mientras que la contaminación atmosférica es más asunto del tamaño de población y de la posición geográfica de la ciudad. El estudio realizado da pauta para argumentar que la distribución territorial y la organización de la población en el interior de las ciudades y zonas metropolitanas de México no son obstáculo para el desarrollo urbano sostenible.










nueva página del texto (beta)



