1. Introducción
De acuerdo con el Instituto Nacional de Estadística y Geografía (INEGI), dentro de las muertes violentas se encuentran: accidentes, suicidios, operaciones legales y de guerra, así como homicidios (INEGI, 2016). Como se aprecia en la Gráfica 1, a partir del año 2008 los homicidios presentan un incremento notable, en tanto que los suicidios y accidentes muestran crecimientos menores en el mismo periodo. Con base en estos datos, entre 2000 y 2015 un total de 256 347 personas fueron víctimas de homicidio. De 2000 a 2007, la tasa de homicidios por cada 100 mil habitantes descendió de 10.6 a 8.5. Sin embargo, a partir de 2008 se produjo un aumento notable en la tasa, alcanzando 24.7 en 2010, para posteriormente descender y llegar a 17.7 en 2015. Del total de homicidios ocurridos entre 2000 y 2015, el 68.8% sucedieron entre 2008 y 2015.

Fuente: Elaboración propia con base en datos del INEGI.
Gráfica 1 Evolución de las muertes violentas en México, 2000 a 2015
En el caso de la población de edades entre 10 y 34 años, de 2000 a 2015 el total de homicidios ascendió a 132 647 personas. Es decir, las víctimas de homicidios representaron el 51.7% del total de los casos en México en este periodo. En la Gráfica 1 se observa que la evolución de los homicidios de la población en este rango de edad es similar a la general, lo que también ocurre con su tasa, pues se presenta un comportamiento descendente desde 12.5 en 2000 a 9.3 en 2007, y un aumento a partir de 2008 hasta 29.3 en 2010, para posteriormente descender y llegar a 18.4 en 2015. Del total de casos en esta población, 69.5% ocurrieron entre 2008 y 2015.
Asimismo, los datos muestran evidencia de que los homicidios en la población de 10 a 34 años afectan principalmente a los hombres (89.2% de los homicidios del periodo 2000-2015) y que dichos casos se han concentrado en algunos estados de la República Mexicana, principalmente en el norte del país. En 2010, 56.9% de los homicidios en este grupo de la población ocurrieron en Chihuahua, Estado de México, Guerrero, Sinaloa y Baja California. Tan sólo en Chihuahua se cometió el 28.4% de los asesinatos de la población de este rango de edad. Al comparar con años anteriores, se observa una modificación geográfica en los cinco estados con mayor número de homicidios de este grupo de la población. En 2005, 48.9% se cometieron en la parte central del país (Ciudad de México y Estado de México), en el sur (Michoacán y Guerrero) y sólo en Chihuahua en el norte. En el año 2000, 47.1% se cometieron en los mismos estados que en 2005, salvo que, en el sur, en lugar de Michoacán aparece Guerrero.
Los homicidios de la población de entre 10 y 34 años podrían explicar, en gran medida, el segundo patrón de comportamiento que se observa en la graduación de tasas específicas de mortalidad, conocido como joroba, y se interpreta como un periodo de exceso de mortalidad en un rango de edades que va desde el inicio de la pubertad y se extiende hasta edades adultas jóvenes, también llamada mortalidad media. Aunque todas las causas de muerte contribuyen, la mortalidad media está fuertemente relacionada con la conducta de riesgo de los hombres jóvenes (Camarda, Eilers y Hampe, 2016). Por otra parte, a partir de la denominada “guerra contra el narcotráfico” en México se tiene evidencia de que la esperanza de vida ha retrocedido, como se menciona en González, Vega y Cabrera (2012), Dávila y Pardo (2013) y Aburto et al. (2016). En los trabajos mencionados se hace énfasis en que tal comportamiento puede atribuirse a los homicidios como la causa de fallecimiento predominante dentro de las muertes violentas.
Bajo la premisa de que los homicidios y los accidentes son las muertes violentas que más impactan en la joroba, se puede afirmar que en las edades que la conforman es donde los individuos tienden a mostrar comportamientos potencialmente riesgosos, con implicaciones importantes tanto para su bienestar como para sus expectativas de vida. La posesión de armas, la participación en pandillas y en crímenes callejeros, así como beber alcohol o conducir bajo sus efectos y realizar actividades temerarias de manera “lúdica” o sin las precauciones pertinentes, así como cometer delitos relacionados con drogas, entre otras, son actividades de alto riesgo que incrementan la probabilidad de morir en eventos violentos.
El objetivo de este trabajo es estudiar la esperanza de vida temporal en torno a la joroba de mortalidad masculina en México, que se podría definir como una desviación positiva del ritmo constante de envejecimiento. En tal caso, la joroba es una característica tanto en la tasa de cambio con respecto a la edad, como en una trayectoria de edad absoluta (Remund, Camarda y Riffe, 2017). Es fundamental enfatizar que la joroba puede aparecer en contextos de alta o de baja mortalidad y que es posible que una curva de mortalidad sin joroba muestre mayor mortalidad en el mismo rango de edad que una curva de menor mortalidad con joroba.
El método de graduación de los datos que aquí se usa es el propuesto en Guerrero y Silva (2015), mismo que permite controlar el porcentaje de suavidad de la tendencia de una serie de tiempo, tanto globalmente como por segmentos, adecuada para el estudio del segmento de la joroba. El resto del trabajo está organizado de la siguiente manera. Para motivar el modelo de graduación de datos propuesto, en la sección 2 se presenta una breve revisión de la literatura sobre métodos de graduación de datos de mortalidad, destacando algunas de sus ventajas y desventajas con respecto a nuestra propuesta. La sección 3 presenta la metodología, con énfasis en el método de mínimos cuadrados penalizados, que se usa para estimar la tendencia segmentada de la mortalidad y que solamente requiere del uso de las diferencias de segundo orden de la serie en estudio, por lo que no es necesario verificar supuestos para validar sus resultados; también se explica cómo, a través de las tendencias estimadas, se calculan las esperanzas de vida en torno a la joroba. De igual manera, se señalan los modelos paramétricos de mortalidad con los que se contrasta la presente propuesta. La sección 4 se dedica a una aplicación de la metodología a datos de mortalidad de México para los años 2000 a 2015. Se presentan los resultados obtenidos, donde se ilustran estimaciones a nivel estatal. Por último, se señalan las principales conclusiones alcanzadas en el trabajo.
2. Revisión de la literatura
Al graduar tasas específicas de mortalidad, se observan de manera general tres patrones de comportamiento: una disminución durante los años de infancia; una joroba que es interpretada como un periodo de exceso de mortalidad en un rango de edades clasificado como de jóvenes adultos1 (característica visible entre los 10 y los 30 años, como lo mencionan Remund et al., 2017); y un crecimiento constante a partir del tercer patrón. Este hecho se observó desde hace tiempo, entre otros por Thiele (1871), Heligman y Pollard (1980) y Carriere (1992).
De acuerdo con Remund et al. (2017), algunas muertes de jóvenes adultos se deben atribuir a un proceso de envejecimiento regido por las mismas fuerzas que dan forma a la mortalidad por envejecimiento en personas de edades mayores a los 30 años. Si se acepta esta posibilidad, el patrón de envejecimiento de jóvenes adultos puede cumplir con las mismas leyes de Gompertz aplicables a edades más avanzadas, lo que permite interpretar a la joroba como un exceso de mortalidad identificable. Dicha joroba en la curva de mortalidad para jóvenes adultos se atribuye a las muertes que superan lo que debería esperarse en un patrón de mortalidad de referencia, la cual puede ser un perfil de mortalidad en diferentes puntos del tiempo, de otra población o de una subpoblación. La referencia que se usa en este trabajo es la tendencia estimada a partir de la graduación de las tasas específicas de mortalidad en diferentes puntos del tiempo, incluyendo todas las causas de muerte.
La graduación o suavizamiento de datos tiene dos características básicas: suavidad y ajuste a los datos observados. Estas dos características compiten entre sí, de manera que para lograr una de ellas se tiene que sacrificar a la otra. En la siguiente sección se muestra específicamente cómo se miden la suavidad y el ajuste en relación con el método de mínimos cuadrados penalizados, que tiene como caso particular al método conocido como de Whittaker y Henderson.
La graduación de datos de mortalidad se puede realizar sobre las estimaciones iniciales de la fuerza de mortalidad 𝜇
x
o las probabilidades de muerte q
x
(Haberman, 1988). Para graduar la fuerza de la mortalidad se supone que las defunciones se distribuyen como una Poisson con parámetro
Existen varios métodos para graduar datos, que se clasifican en paramétricos y no paramétricos. Los métodos que se incluyen en la categoría de paramétricos son los que se basan en modelos de mortalidad, modelos lineales generalizados, splines y métodos de interpolación suave. En la graduación de la mortalidad mediante enfoques paramétricos, se encuentran modelos como los de Gompertz (1825), Thiele (1871), Heligman y Pollard (1980) o Kostaki (1992), entre otros, y sus parámetros se pueden estimar mediante máxima verosimilitud. Algunos de éstos se refieren a la fuerza de mortalidad, mientras que otros a las probabilidades de muerte.
En la graduación a través de modelos lineales generalizados, se ajusta el modelo suponiendo que el número de muertes son realizaciones independientes de variables aleatorias Poisson con parámetro
Por otra parte, para graduar las probabilidades de muerte, se supone que las muertes se modelan como realizaciones independientes de variables aleatorias Binomial con parámetros l x y q x . En la graduación a través de splines, los polinomios cúbicos que se utilizan se ajustan sobre subintervalos de los datos, poniendo atención a la forma en que la función se ajusta a intervalos adyacentes que se unen entre sí. Los parámetros de la función spline son estimados mediante el método de mínimos cuadrados ordinarios. La interpolación de unión suave suele usarse cuando se dispone de un número limitado de observaciones, ajustando un arco de interpolación diferente en cada subintervalo de los datos.
Los métodos paramétricos que existen son los gráficos, los promedios móviles ponderados, el método de Whittaker y Henderson, el método de Kernel, y la graduación con referencia a tasas de mortalidad estándar. En el método gráfico, se ajusta a mano una curva suave que pase lo más cerca posible de los datos observados. En la graduación mediante promedios móviles ponderados, cada valor graduado se produce como un promedio ponderado de 2m+1 valores observados, mientras que en el método de Whittaker y Henderson se minimiza una función que considera los aspectos de ajuste y bondad de ajuste con respecto a los valores graduados, como se verá en la sección que sigue. El método de Kernel utiliza los estimadores de Kernel para graduar las probabilidades de muerte, mientras que en el método con referencia a las tasas de mortalidad estándar se supone que los valores graduados exhiben un patrón similar al de la tasa de probabilidad estándar.
Aunque en la bibliografía no se registra una respuesta explícita a la disyuntiva sobre cuál es el mejor método para graduar datos, particularmente datos de mortalidad, existen fuertes críticas a los modelos paramétricos, específicamente por el excesivo número de parámetros que usan. Por ejemplo, el modelo de Heligman y Pollard (1980) intenta describir las tasas de mortalidad con ocho o nueve parámetros, como en la extensión presentada por Kostaki (1992), ajustándose a todo el rango de edad. El modelo ha sido criticado por ser limitado, pues no se adapta a la diversidad de los esquemas de mortalidad y por la alta correlación entre sus parámetros estimados (Sharrow, 2012). La falta de flexibilidad se manifiesta particularmente cuando se trata de patrones de mortalidad de causa específica, como los que contribuyen a la formación de la joroba, que no se pueden describir fácilmente por leyes matemáticas fijas. De hecho, el modelo de Heligman y Pollard implica un ajuste de tipo lognormal para el segmento de la joroba, y es dicho ajuste el que no necesariamente brinda resultados adecuados en todos los contextos.
Además, en los métodos paramétricos el nivel de graduación o suavidad sólo puede cambiarse si se usa otro modelo, mientras que los métodos no paramétricos permiten variar la suavidad modificando el valor de algunos parámetros. Un factor a favor de los métodos paramétricos se presenta si las tasas de mortalidad están agrupadas y se desea graduar los datos en todo el rango de edad; en ese caso hay un funcionamiento adecuado. Por otra parte, si se dispone de estimaciones iniciales, el método gráfico y la graduación con referencia a tasas de mortalidad estándar son apropiados, mientras que el método de promedios móviles ponderados no es recomendable, puesto que no otorga graduaciones para los primeros y últimos valores de la serie.
En el presente documento se propone el uso del método de Guerrero y Silva (2015), que es un procedimiento de graduación de datos no paramétrico flexible y que se puede clasificar dentro de los métodos exploratorios, porque busca simplificar el análisis de los datos una vez que se han eliminado algunas fluctuaciones indeseables. Este método se enfoca en la idea de que es posible cuantificar la suavidad en la tendencia, tanto globalmente para toda la serie, como localmente para sus diferentes segmentos. Se controla la cantidad de suavidad en la tendencia para poder establecer comparaciones válidas entre tendencias para diferentes conjuntos de datos, así como para diferentes segmentos de la misma serie. La suavidad en la tendencia se mide usando un índice de suavidad para relacionar el parámetro de suavizamiento involucrado, con un porcentaje deseado de suavidad de la tendencia. El valor del parámetro de suavizamiento se obtiene resolviendo una ecuación que involucra el porcentaje deseado de suavidad y la longitud de la serie.
En este trabajo, el conjunto de las tasas específicas de mortalidad en orden creciente de edad se considera que es una serie de tiempo y, por lo tanto, estimar la tendencia de esa serie equivale a graduar dichas tasas, y a cuyo resultado se hará referencia indistintamente en lo subsecuente como tendencias de mortalidad o simplemente tendencias. La estimación de la tendencia de mortalidad se realiza con suavidad controlada para establecer comparaciones válidas entre ellas en diferentes rangos de edad o con distintos tamaños de muestra, como en Guerrero (2007), Guerrero y Silva (2015) y Guerrero, Islas-Camargo y Ramirez-Ramirez (2017). Este método considera el suavizamiento como un procedimiento para reducir las fluctuaciones que podrían distorsionar la tendencia de los datos observados.
3. Metodología
En la revisión que se hizo de la literatura, no se encontró ningún estudio previo sobre la estimación de la esperanza de vida temporal en torno a la joroba de mortalidad que fuera comparable, ni en el interior de las unidades geográficas que constituyan un país en situación de crisis de violencia y franca violación a los derechos humanos. La información de mortalidad utilizada corresponde exclusivamente a las defunciones ocurridas y registradas por parte del INEGI, de forma que no se considera lo ocurrido y no registrado, como podría ser el saldo acumulado de cerca de 40 000 desaparecidos y aproximadamente 26 000 cuerpos finados no identificados que se encuentran en los servicios forenses, según se reconoció de manera oficial en el año 2019 (véase https://bit.ly/2GenOxV). En breve, la información que aquí se analiza presenta en consecuencia un escenario optimista de lo ocurrido, aunque no necesariamente registrado.
Estimación de la tendencia de la mortalidad por segmentos
Se supone que los datos observados, en este caso las tasas específicas de mortalidad, pueden expresarse como un modelo de series de tiempo de señal más ruido, no porque se crea que los datos se generaron de esa manera, sino para considerar las regularidades empíricas de los datos, esto es, y i = 𝜏 i + 𝜂 i , con {𝜏 i } la tendencia (o señal) y {𝜂 i } el ruido de {y i }, para i = 1, 2..., N, donde i representa en el presente caso la edad alcanzada en el momento de la defunción. Entonces, se propone estimar la tendencia de la mortalidad por mínimos cuadrados penalizados, para lo cual se debe resolver el siguiente problema
donde
A veces, la tendencia cambia debido a cambios en la varianza de la serie, lo cual se refleja en su suavidad. Por ello, aquí se considera una extensión del problema de minimización [1] que permite diferentes comportamientos de la tendencia en distintos segmentos de los datos observados, que a su vez están vinculados a diferentes varianzas, una para cada régimen observado. En este caso, se plantea un problema de minimización que toma en cuenta las diferentes tendencias en tres segmentos adyacentes y, por lo tanto, se deben calibrar tres diferentes 𝜆’s. Por simplicidad, se presenta el método para el caso de dos segmentos, que se generaliza con facilidad a más de dos segmentos, como se muestra en Guerrero y Silva (2015). El problema con dos segmentos se plantea como:
donde
El modelo de componentes no observables que subyace en el problema [2] se representa de manera matricial como:
donde
con K (x, j) = 0 si j <x o j> 2 + x. Para mayores detalles del método, se recomienda consultar el artículo de Guerrero y Silva (2015). Entonces, al usar mínimos cuadrados generalizados (MCG) se obtiene el mejor estimador lineal e insesgado (MELI) del vector de tendencias, que tiene la siguiente expresión:
donde I
Ni
es la matriz identidad de dimensión N
j
y
El MELI también se puede llamar predictor, ya que de hecho se estima la realización de un vector aleatorio, en lugar del valor de un vector de constantes (una justificación para el uso de MCG en este contexto fue presentada por Guerrero, 2007). Además, la matriz de varianzas-covarianzas del estimador de MCG viene dada por
y los estimadores insesgados de las varianzas son
con SCR la suma de cuadrados de los residuos.
Para aplicar [3] - [6] se deben proporcionar los valores de 𝜆 1 y 𝜆 2 , así como el punto de corte N 1 . Los parámetros de suavizamiento se eligen con el enfoque de suavidad controlada propuesto por Guerrero (2007), que se basa en medir la precisión relativa atribuible a una suavidad especificada, esto es, la segunda ecuación del modelo [3]. Con este fin, debe notarse que la precisión que se logra al estimar la tendencia es la inversa de la matriz de varianza-covarianza, esto es, Γ-1. Por lo tanto, la cantidad de suavidad que alcanza la tendencia de los datos no segmentados es S = 1 - tr (I N + 𝜆K’K)-1/N. Es importante tener en mente que la suavidad que se puede alcanzar está limitada por 1 - 2 /N conforme 𝜆 → ∞.
El porcentaje de precisión en cada segmento se mide con el siguiente índice:
que cuantifica la suavidad lograda en el segmento j de los datos, donde
con
Por lo tanto, al fijar los valores de los índices Sj (𝜆 1, 𝜆 2; N), o equivalentemente, los porcentajes de suavidad, los parámetros de suavizamiento se obtienen al despejar en [8] los valores de 𝜆 1 y 𝜆 2 .
El punto de corte se elige con el procedimiento de búsqueda sugerido en Guerrero y Silva (2015). Para ello, se decide primero la suavidad global para la tendencia y posteriormente se elige el porcentaje de suavidad para el primer segmento, recordando que cuanta más variabilidad tienen los datos, más suavidad se requiere para estimar la tendencia. Finalmente, la suavidad para el segundo segmento se determina como S 2 = (NS - N 1 S 1 ) / (N - N 1 ), y el punto de corte óptimo es el valor de N 1 que minimiza la varianza estimada del error. En la práctica no existe garantía de que exista dicho punto de corte, y por ello Guerrero y Silva (2015) señalan la posibilidad de elegir el punto de corte de manera exógena. Dadas las condiciones propias de la presente aplicación, se sigue con dicha alternativa en la cual se eligen dos puntos de corte de acuerdo con el inicio y fin de la joroba de mortalidad.
Cuantificación de la mortalidad
Para resumir la mortalidad implícita en las tendencias estimadas por segmentos de edad, es decir en las curvas de mortalidad obtenidas, se emplea como elemento de análisis el indicador de la esperanza de vida temporal (Arriaga, 1984), entre las edades x y x + i, mismo que se denota por medio de i e x y que está dado por
con x = N 1 y x + i = N 2 , donde T x es el total de años por vivir para la totalidad de la cohorte y l x son los sobrevivientes, ambos a edad x. Asimismo, se calculan los cambios observados en las esperanzas de vida temporales con relación al cambio máximo posible. De hecho, es claro que si no hubiere mortalidad entre N 1 y N 2 , la esperanza de vida temporal sería entonces i = N 1 - N 2 . También para cada año se calcula i - i e x, que representa la brecha entre lo máximo posible, si no hubiera mortalidad, y lo estimado a partir de la mortalidad observada.
En este trabajo, primero se transforman las log (q
x
) graduadas por segmentos en q
x
, por medio de exp {log (q
x
)}; de éstas se obtienen las m
x
como
Todos los cálculos se realizaron en el software R versión 4.0.2. Asimismo, se desarrolló una aplicación en Shiny, que permite graduar algunos conjuntos de datos para México con tres segmentos, por sexo, para los años 1990, 1995, …, 2015, misma que se puede accesar en la liga: https://eliudsilva2020.shinyapps.io/shiny/. También se pueden calcular esperanzas de vida al nacer y temporal con sus respectivos intervalos de estimación, donde el analista tiene la posibilidad de utilizar distintas parametrizaciones para realizar graduaciones, o sea que se pueden controlar los parámetros de suavizamiento 𝜆 1, 𝜆 2, 𝜆 3 y los puntos de corte N 1 y N 2 .
Al comparar las estimaciones del indicador i e x, por entidades y a través del tiempo, se pueden cuantificar los años que se han venido perdiendo en torno a la joroba. Cabe notar que se consideran todas las causas de muerte que afectan a la población entre edades N 1 y N 2 . Es claro que lo idealmente esperable es que i e x crezca a través del tiempo, o que al menos se mantenga con un ritmo de crecimiento lento, pero mayor que cero.
El tipo de análisis que se realiza es distinto de lo que se podría hacer con la propuesta de Arriaga (1996), la cual permite, en esencia, realizar estimaciones de años de vida perdidos teniendo en consideración todas las edades y, en el caso clásico, para determinada causa de defunción. En cambio, con la presente se considera la esperanza de vida temporal bajo todas las causas de defunción en el periodo de la joroba de mortalidad.
Modelos paramétricos de mortalidad
Con la finalidad de contrastar la eficacia de la presente propuesta frente a algunos modelos paramétricos, se consideran (en este orden) tanto un criterio estadístico como un criterio demográfico. Para el primero, se toma en cuenta el ajuste entre cada modelo teórico elegido y los datos observados, para lo cual se emplea la raíz cuadrada de la suma de errores al cuadrado RSE (por sus siglas en inglés), misma que se obtiene en la escala original de las q x y está dada por
Debe notarse que las
Con base en Pascariu (2020), los modelos paramétricos de mortalidad se pueden clasificar con base en la cobertura etaria a la cual se destinan para el modelaje y posterior estimación. Se tienen seis categorías, que se enfocan a estimar: mortalidad infantil, joroba de accidentes, mortalidad adulta, mortalidad adulta y/o en edades avanzadas, mortalidad en edad avanzada y, por último, para todo rango de edades. Aun cuando se tienen varias propuestas para modelar ex profeso la joroba de accidentes -tales como Gompertz (1825), Weibull (1951), o más recientemente Remund, Camarda y Riffe (2018)-, se considera que se debe comparar la presente propuesta estadística bajo igualdad de circunstancias. O sea, con modelos que hagan una estimación de la mortalidad a lo largo de todas las edades. Se deja como futura línea de investigación el estudio comparativo entre la actual propuesta con modelos que se centran específicamente en la joroba de mortalidad. Asimismo, se estimará el conjunto de modelos con datos de 2015 y, a partir de ello, se utilizan los mismos parámetros de suavizamiento controlado para el resto de los años. Con ello se garantiza la comparabilidad desde una perspectiva estadística.
Los modelos paramétricos seleccionados que se usan para representar todo el rango de edades son los que se presentan en el Cuadro 1. Para detalles acerca de estos modelos se sugiere revisar Pascariu (2020) y las referencias ahí señaladas. Debe notarse que los modelos están expresados en términos, ya sea de q x , q x/ p x, 𝜇 x o l x . Asimismo, A, A 0 , A 1 , A 2 , A 3 , B, B 1 , B 2 , B 3 , C, D, E, E i , F, G, H, K, 𝜓 1 , 𝜓 2 y 𝜓 3 , así como S 1 , S 2 , y S 3 , son parámetros por estimar. Se procede entonces a realizar la medición del RSE para cada uno de los modelos, en forma similar a lo que se propone en Carriere (1992), donde se comparan las distintas RSE de los modelos que se contrastan. Posteriormente se retienen las mejores estimaciones para elegir aquella que manifieste un mejor comportamiento desde el punto de vista demográfico.
Cuadro 1 Modelos paramétricos de mortalidad seleccionados para todas las edades
| Autor (año) / modelo |
| Thiele (1871) |
|
|
| Wittstein y Bumstead (1883) WB |
|
|
| Siler (1979) |
|
|
| Heligman-Pollard (1980) HP1 |
|
|
| Heligman-Pollard (1980) HP2 |
|
|
| Heligman-Pollard (1980) HP3 |
|
|
| Heligman-Pollard (1980) HP4 |
|
|
| Rogers-Planck (1983) RP |
|
|
| Martinelle (1987) |
|
|
| Carriere (1992) Carriere1 |
|
|
| Carriere (1992) Carriere2 |
|
|
| Kostaki (1992) |
|
|
Fuente: Elaboración propia.
4. Resultados
En esta sección se muestra la utilidad del uso de la herramienta de suavizamiento por segmentos, aplicada a la serie de las log-tasas específicas de mortalidad log (q x ). Los datos que se usan corresponden a hombres en México, para edades que cubren el rango de 0 a 85 y más años cumplidos, con experiencias referidas a los años 2000, 2005, 2010 y 2015. La fuente de información de las defunciones son las estadísticas vitales consolidadas por el INEGI y la Secretaría de Salud (SS) (INEGI y SS, 2000-2015). Las poblaciones corresponden a los contingentes de censos y conteos de población de los años respectivos (INEGI, 2000; 2005; 2010; 2015). Se eligieron dichos años dado que es justo cuando se tiene el registro poblacional más reciente y observado a través de tales instrumentos en México.
Es importante notar que existen diferencias entre las estimaciones de la esperanza de vida temporal en torno a la joroba, si se usan datos suavizados o no suavizados (originales). Con el suavizamiento, tanto desde el punto de vista demográfico (por ejemplo, con promedios móviles de años contiguos al año objeto de estudio), como del estadístico (con la técnica aquí propuesta), se pretende mitigar el efecto que puedan tener observaciones extrañas, en función de lo esperable en cuanto a la mortalidad subyacente. Con la actual estrategia estadística, solamente se utiliza la experiencia de mortalidad del año en cuestión, a diferencia de lo que se hace con la óptica demográfica, que utiliza información de tres años adyacentes. Asimismo, desde la perspectiva de este trabajo, se puede medir y controlar la suavidad, así como obtener la mejor estimación de la tendencia (la curva de mortalidad) en términos del error cuadrático medio mínimo.
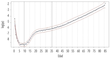
El primer paso en la aplicación de la metodología consiste en estimar la tendencia suavizada sin segmentar, para fijar el porcentaje de suavizamiento que se considere apropiado a fin de graduar los datos. Se decidió aplicar suavidad de 75%, de acuerdo con la sugerencia de Guerrero y Silva (2015), donde se fija este porcentaje para no perder de vista la interpretación demográfica de los resultados del suavizamiento, mismo que se alcanza con 𝜆 = 5.8. En la Gráfica 2 se observa la tendencia estimada obtenida con la experiencia de mortalidad de 2015, junto con sus límites de ±2 desviaciones estándar, donde la desviación estándar se obtiene como la raíz cuadrada de los elementos en la diagonal de la matriz (6) estimada. También se muestran los datos observados, así como la tendencia estimada con el modelo HP3 y la función de pérdida LF2 (véase el Anexo), misma que, como se verá más adelante, produjo el menor RSE, con un valor de 0.03925.

Fuente: Elaboración propia con base en datos del INEGI.
Gráfica 2 Graduación de las tasas de mortalidad para hombres en México en 2015, sin segmentar
Cabe resaltar que el objetivo primordial de este trabajo se enfoca en el estudio del segmento intermedio de la mortalidad, correspondiente a edades de jóvenes adultos y cuya tendencia no es capturada razonablemente bien con la mejor graduación paramétrica, mientras que la curva con 75% se ajusta mejor al patrón observado en los datos, según lo muestra la Gráfica 2. De hecho, el modelo HP3 implica un ajuste de tipo lognormal para el segmento de la joroba y es dicho ajuste el que no brinda resultados adecuados. En otras palabras, el supuesto del comportamiento de la mortalidad del modelo HP3 en torno a la joroba no se cumple al menos para el caso mexicano en el año 2015. Además, como se verá más adelante, la tendencia estimada por segmentos tiene un mejor ajuste que el modelo HP3, pues ahora se obtuvo un RSE de 0.0216. Es por ello que se sugiere estimar la tendencia por segmentos, como se ilustra a continuación.
La segmentación se realiza fijando primero los valores de los momentos de corte en la escala de edad, en N 1 = 11 y N 2 = 37, es decir de 10 y 36 años de edades alcanzadas, que son las edades en donde ocurren el mínimo y el máximo de las tasas específicas de mortalidad dentro del rango de 1 a 40 años.2 Con estos valores se realizó la estimación de la tendencia suavizada y se obtuvieron los resultados mostrados en la Gráfica 3. En esta figura se aprecia que, al calibrar distintos niveles de suavidad, uno para cada segmento, se puede obtener una mejor graduación para cada uno de los segmentos, particularmente en la joroba, que corresponde a hombres jóvenes, quienes están más expuestos a actos violentos en México.

Fuente: Elaboración propia con base en datos del INEGI.
Gráfica 3 Graduación de las tasas de mortalidad para hombres en México en 2015, con tres segmentos de edades: infantes (0-9), jóvenes (10-36) y adultos (37-85)
De hecho, la suavidad global se mantuvo en 75%, mientras que en el primer segmento se usó el índice de suavidad S
1
= 0.65 y en el segundo de S
2
= 0.75, por lo que para el tercero se obtuvo como resultado S
3
= 0.775, cuyas correspondientes constantes de suavizamiento resultaron ser 𝜆
1
= 2.5, 𝜆
2
= 4.9 y 𝜆
3
= 8.7 mientras que la varianza del error de la tendencia estimada fue

Fuente: Elaboración propia con base en datos del INEGI.
Gráfica 4 Graduación de las tasas de mortalidad para hombres en México en 2010, con tres segmentos de edades: infantes (0-9), jóvenes (10-36) y adultos (37-85)

Fuente: Elaboración propia con base en datos del INEGI.
Gráfica 5 Graduación de las tasas de mortalidad para hombres en México en 2005, con tres segmentos de edades: infantes (0-9), jóvenes (10-36) y adultos (37-85)

Fuente: Elaboración propia con base en datos del INEGI.
Gráfica 6 Graduación de las tasas de mortalidad para hombres en México en 2000, con tres segmentos de edades: infantes (0-9), jóvenes (10-36) y adultos (37-85)
Las graduaciones logradas con la misma suavidad de 75% para la tendencia global, al igual que para el segmento juvenil (con 65% para el segmento infantil y 77.5% para el de adultos) se aprecian más cercanas a los datos observados que las respectivas graduaciones logradas con el modelo HP3. De manera más extensa, para contrastar la eficacia de la presente propuesta frente al resto, en primer lugar, se inspeccionan los valores de RSE alcanzados y se identifican los mínimos por función de pérdida; en segundo lugar, se valora el eventual sentido demográfico que se genera entre lo observado y lo estimado.
Para el primer punto, en el Cuadro 2 se tienen los RSE provenientes de los doce modelos paramétricos de mortalidad y las ocho funciones de pérdida utilizadas. Como se puede apreciar, se identifican con negritas los respectivos mínimos alcanzados en cada combinación estimada y, en efecto, el modelo HP3 con LF2 es el más destacado. Los parámetros estimados se encuentran como nota al pie en el Cuadro 2.
Cuadro 2 Estadístico RSE por modelo paramétrico y función de pérdida, 2015
| Modelo | Función de pérdida | |||||||
| PoissonL | BinomialL | LF1 | LF2 | LF3 | LF4 | LF5 | LF6 | |
| Thiele | 0.05493 | 0.11375 | 0.04394 | 0.04470 | 0.03842 | 0.04421 | 0.04203 | 0.03470 |
| WB | 0.06229 | 0.07528 | 0.07691 | 0.06137 | 0.02716 | 0.03176 | 0.02647 | 0.02491 |
| Siler | 0.04035 | 0.04437 | 0.05495 | 0.06554 | 0.04159 | 0.03472 | 0.04435 | 0.04526 |
| HP1 | 0.04776 | 0.04479 | 0.04473 | 0.04361 | 0.03287 | 0.01167 | 0.03186 | 0.03802 |
| HP2 | 0.04775 | 0.04479 | 0.04472 | 0.04360 | 0.03282 | 0.01101 | 0.03167 | 0.04106 |
| HP3 | 0.04775 | 0.04399 | 0.04087 | 0.03925 | 0.03221 | 0.01103 | 0.03126 | 0.03589 |
| HP4 | 0.04697 | 0.05414 | 0.05025 | 0.04695 | 0.03245 | 0.01123 | 0.03139 | 0.03991 |
| RP | 0.03864 | 0.03804 | 0.05811 | 0.06171 | 0.03700 | 0.03238 | 0.03826 | 0.04033 |
| Martinelle | 0.03953 | 0.04410 | 0.05139 | 0.05787 | 0.04481 | 0.03573 | 0.03766 | 0.04260 |
| Carriere1 | 0.04771 | 0.04644 | 0.05390 | 0.06118 | 0.04378 | 0.03488 | 0.04371 | 0.04428 |
| Carriere2 | 0.04148 | 0.04158 | 0.04266 | 0.05971 | 0.04617 | 0.03474 | 0.04317 | 0.04380 |
| Kostaki | 0.03722 | 0.04342 | 0.04461 | 0.04243 | 0.03616 | 0.01162 | 0.03186 | 0.04340 |
Nota: Parámetros estimados.
Kostaki: Â = 0.0011,
RP: Â
0
= 0.0002, Â
1
= 0.0137, Â
2
= 0.0002, Â
3
= 0.0000, Â = 2.3477,
HP3 con LF1: Â = 0.0012,
HP3 con LF2: Â = 0.0013,
WB con LF3: Â = 1.8490,
HP2 con LF4: Â = 0.0020,
WB con LF5: Â = 1.9881,
WB con LF6: Â = 2.4057,
Fuente: Elaboración propia.
Ahora se ilustran las ocho mejores estimaciones para su valoración desde una mirada demográfica. Como se aprecia en la Gráfica 7, a pesar de haber alcanzado los mínimos RSE con base en diferentes funciones de pérdida, se tienen casos donde la estimación estadística óptima carece de lógica demográfica. De hecho, con fines ilustrativos, en cada caso se hace la comparación con la presente propuesta de suavizamiento controlado, que se distingue por brindar una mejor estimación en términos generales. También debe quedar manifiesto que a través de ella se pueden estimar intervalos de la propia curva (en este caso se presentan los de dos desviaciones estándar), hecho que ninguno de los modelos paramétricos roporciona. Asimismo, se debe reconocer que, a diferencia de los modelos paramétricos seleccionados, la presente propuesta no alcanza a captar la mortalidad para edades menores a un año, ni aun con el límite superior del intervalo de estimación; sin embargo, en torno a la joroba de mortalidad, sí se logra un mejor comportamiento ante los datos observados.
Adicionalmente, se puede analizar el patrón de la mortalidad al paso del tiempo, que, para la joroba, se aprecia mayor en 2010 que en los otros años en consideración. De hecho, el incremento en mortalidad, particularmente en mortalidad juvenil, puede medirse en términos de las esperanzas de vida al nacer: 73.52 años en 2015, 72.96 en 2010, 73.71 en 2005 y 73.59 en 2000. Hecho que proporciona evidencia de que el año con mayor mortalidad, 2010, produce menor expectativa de vida al nacer que en los quinquenios previos y el posterior.
Otra manera de medir el efecto de una mayor mortalidad consiste en calcular la esperanza de vida temporal. Los resultados obtenidos por entidad federativa se presentan en el Cuadro 3 (ordenado de manera decreciente en función de los resultados para 2010). Por otra parte, la esperanza de vida temporal masculina a nivel nacional en torno a la joroba fue de 25.61, 25.62, 25.51 y 25.58 respectivamente, para los años estudiados. Se tiene que el máximo se alcanzó en 2005 y el mínimo en 2010. Es notorio que, en 2015, el indicador es menor incluso que el de 2000. Las últimas tres columnas del Cuadro 3 muestran el cambio de la mortalidad en tres periodos de tiempo que, de acuerdo con Arriaga (1984), se calcula como el cambio observado en la esperanza de vida temporal con relación al máximo cambio posible, que se supone ocurre con respecto a la medición del año 2000.
Cuadro 3 Esperanza de vida temporal en torno a la joroba por entidad y año
| Cambio respecto a 2000* | |||||||
| Estado | 2000 | 2005 | 2010 | 2015 | 2005 | 2010 | 2015 |
| Baja California Sur | 25.70 | 25.68 | 25.72 | 25.62 | -0.05 | -0.05 | -0.26 |
| Tlaxcala | 25.70 | 25.74 | 25.71 | 25.69 | 0.13 | 0.04 | -0.03 |
| Yucatán | 25.69 | 25.71 | 25.70 | 25.71 | 0.04 | 0.01 | 0.06 |
| Campeche | 25.65 | 25.68 | 25.69 | 25.63 | 0.08 | 0.10 | -0.06 |
| Aguascalientes | 25.70 | 25.72 | 25.68 | 25.60 | 0.07 | -0.06 | -0.32 |
| Colima | 25.66 | 25.75 | 25.68 | 25.53 | 0.26 | 0.06 | -0.37 |
| Estado de México | 25.70 | 25.72 | 25.68 | 25.68 | 0.07 | -0.07 | -0.07 |
| Hidalgo | 25.70 | 25.70 | 25.66 | 25.70 | 0.01 | -0.12 | 0.03 |
| Quintana Roo | 25.70 | 25.65 | 25.65 | 25.64 | -0.16 | -0.17 | -0.18 |
| Puebla | 25.61 | 25.65 | 25.64 | 25.63 | 0.12 | 0.09 | 0.05 |
| Querétaro | 25.62 | 25.65 | 25.63 | 25.64 | 0.08 | 0.01 | 0.03 |
| Guanajuato | 25.66 | 25.65 | 25.60 | 23.72 | -0.03 | -0.15 | -0.38 |
| Veracruz | 25.62 | 25.62 | 25.58 | 25.64 | -0.03 | -0.10 | -0.14 |
| San Luis Potosí | 25.62 | 25.62 | 25.58 | 25.64 | 0.00 | -0.10 | 0.06 |
| Nuevo León | 25.72 | 25.72 | 25.58 | 25.68 | -0.01 | -0.51 | -0.16 |
| Coahuila | 25.68 | 25.70 | 25.58 | 25.67 | 0.05 | -0.33 | -0.03 |
| Oaxaca | 25.57 | 25.56 | 25.55 | 25.55 | -0.01 | -0.04 | -0.03 |
| Jalisco | 25.60 | 25.61 | 25.55 | 25.58 | 0.02 | -0.12 | -0.04 |
| Chiapas | 25.52 | 25.56 | 25.54 | 25.59 | 0.09 | 0.06 | 0.16 |
| Sonora | 25.61 | 25.60 | 25.53 | 25.55 | -0.03 | -0.21 | -0.14 |
| CDMX | 25.54 | 25.54 | 25.53 | 25.53 | 0.01 | -0.03 | -0.01 |
| Morelos | 25.64 | 25.64 | 25.53 | 25.58 | -0.02 | -0.33 | -0.17 |
| Zacatecas | 25.67 | 25.60 | 25.52 | 25.50 | -0.23 | -0.46 | -0.51 |
| Michoacán | 25.57 | 25.54 | 25.52 | 25.58 | -0.05 | -0.11 | 0.03 |
| Guerrero | 25.58 | 25.62 | 25.43 | 25.28 | 0.08 | -0.36 | -0.72 |
| Tabasco | 25.51 | 25.52 | 25.43 | 25.40 | 0.03 | -0.16 | -0.21 |
| Baja California | 25.47 | 25.55 | 25.43 | 25.58 | 0.13 | -0.09 | 0.20 |
| Tamaulipas | 25.60 | 25.64 | 25.42 | 25.60 | 0.10 | -0.46 | -0.01 |
| Nayarit | 25.63 | 25.55 | 25.31 | 25.67 | -0.24 | -0.88 | 0.09 |
| Durango | 25.69 | 25.69 | 25.18 | 25.64 | 0.00 | -1.63 | -0.15 |
| Sinaloa | 25.59 | 25.60 | 25.10 | 25.49 | 0.02 | -1.18 | -0.22 |
| Chihuahua | 25.48 | 25.48 | 24.24 | 25.38 | 0.01 | -2.38 | -0.19 |
| México | 25.61 | 25.62 | 25.51 | 25.58 | |||
* Las últimas tres columnas reportan el cambio de la mortalidad de 2005, 2010 y 2015 con respecto al año 2000.
Fuente: Elaboración propia.
Para efectos de visualización, la Gráfica 8 muestra los estados mexicanos ordenados de acuerdo con la brecha más grande con el punto de referencia de mortalidad nula entre los jóvenes adultos en 2010. Los colores rosa claro indican contribuciones no significativas, lo que implica que están muy cerca del punto de referencia de mortalidad nula, en nuestro caso i = 26 años (i = N 2 - N 1 ). Los tonos rosas más oscuros indican una mayor contribución a la brecha. Si un estado mejora durante el periodo, muestra una transición del rojo al rosa claro.

Fuente: Elaboración propia.
Gráfica 8 Brecha entre la esperanza de vida temporal observada y el punto de referencia de mortalidad nula para los jóvenes adultos, 2000 a 2015
La esperanza de vida temporal masculina mostró una caída después de 2005 en casi todos los estados de México. Se aprecia que, en 28 de los 32 estados del país, la esperanza de vida temporal en torno a la joroba en los cuatro quinquenios analizados disminuyó hasta alcanzar su mínimo; 17 estados lo alcanzaron en 2010 y 11 en 2015. Asimismo, se observa que en 2010 el número de estados con esperanza de vida temporal por debajo de la media nacional del 2005 se incrementó de 13 a 21 estados. De estos 21 estados, tres muestran una disminución de uno o más años en la esperanza de vida temporal alrededor de la joroba con respecto al nivel mostrado en 2000. Chihuahua, Sinaloa, Durango, Nayarit y Guerrero fueron, en ese orden, los estados con mayor disminución en la esperanza de vida. Chihuahua es el estado con mayor disminución, pues la cifra rebasa los dos años con respecto al nivel que tenía en 2000. Por otra parte, se debe destacar que Baja California Sur, Tlaxcala, Yucatán y Campeche son los estados que presentaron, en 2010, un aumento en la esperanza de vida alrededor de la joroba con respecto al nivel que tenían en 2000.
De los ocho estados que presentan esperanza de vida temporal por debajo de la media nacional en 2010, seis están localizados en el norte y noroeste del país (Chihuahua, Sinaloa, Durango, Nayarit, Baja California y Tamaulipas), y tres de estos estados comparten frontera con Estados Unidos; los otros dos estados están en el centro y sur del país (Guerrero y Tabasco). Un punto a destacar es que todos comparten orografía: están atravesados por la Sierra Madre del Sur, la Sierra Madre Occidental y la Sierra de Baja California.
Por otra parte, se sabe que la decisión de participar en un acto que implique un riesgo, como cometer un delito, no solamente obedece a factores económicos, sino que puede deberse a factores como la disminución en las medidas de disuasión -baja probabilidad de ser aprehendido o reducción en el castigo- y la disminución en la aversión al riesgo de los criminales, entre otros factores. En este contexto, no es extraño que, al ocupar México el cuarto lugar a nivel mundial en el índice global de impunidad (Le Clercq y Rodríguez, 2017), la impunidad sea un factor de riesgo y vulnerabilidad para el desarrollo del país. Esto se manifiesta con altos niveles de violencia y aumentos en las tasas de homicidios, particularmente en los estados que presentan esperanza de vida temporal en torno a la joroba por debajo de la media nacional y que, de acuerdo con IGI-MEX2018, presentan los niveles más altos de impunidad en el ámbito nacional. O sea, impunidad muy alta: Tamaulipas (78.87), Baja California (78.01), Guerrero (76.08); impunidad alta: Tabasco (69.98), Sinaloa (69.59), Chihuahua (61.11); e impunidad atípica: Nayarit (57.07) (véase Le Clercq y Rodríguez, 2018).
Conclusiones
El uso de la metodología de estimación de tendencias de mortalidad con suavidad controlada y por segmentos permitió en este trabajo estudiar con detalle el comportamiento de la mortalidad de hombres jóvenes, de manera que los resultados obtenidos son comparables para todas las entidades federativas que componen a México y para cuatro quinquenios recientes en los que se cuenta con datos oficiales sobre mortalidad. De hecho, se pone de manifiesto una mayor pertinencia de la actual propuesta tanto por el ajuste que se logra frente a la batería de modelos paramétricos de mortalidad, como por brindar un mejor comportamiento desde la perspectiva demográfica. Con estos resultados, simplemente se puede afirmar que, al menos para el caso de México, el suavizamiento controlado y por segmentos luce como una alternativa adecuada y eficaz para estimar curvas de mortalidad, así como algunos indicadores demográficos adicionales.
En todo el país se exhibe la inseguridad pública por medio de una sobremortalidad masculina y de su agudizamiento, la cual se manifiesta en la esperanza de vida temporal en torno a la joroba. Nuestros resultados muestran consistencia con los reportados en estudios previos que cuantifican el efecto de la mortalidad por homicidios sobre el estancamiento de la esperanza de vida al nacer a nivel nacional en los primeros diez años del siglo XXI, y con el retroceso experimentado, particularmente, de la esperanza de vida temporal alrededor de la joroba en la mayoría de los estados entre los años 2005 y 2010 (véase, por ejemplo, Aburto, Riffe y Canudas-Romo, 2018). Al estudiar a la población masculina en tal rango de edades, se tiene que tomar conciencia de la pérdida del llamado bono demográfico, al menos para el caso masculino. Se considera que un fenómeno similar podría estar ocurriendo en la población de sexo femenino, lo cual se perfila como una línea de investigación futura.
Otra línea de investigación que se vislumbra es tratar de cuantificar la pérdida de esperanza de vida temporal utilizando fuentes de información alternas y complementarias donde, por ejemplo, se indague el impacto que se tendría en pérdida de esperanza de vida al considerar a los desaparecidos y a los finados no identificados en las estimaciones. También sería interesante estudiar la mortalidad con la herramienta de análisis propuesta, pero clasificando las muertes por causa, con énfasis en las ocurridas por homicidio, de manera similar al estudio desarrollado por Aburto et al. (2018). Por último, se considera que resultaría interesante contrastar la metodología de suavizamiento controlado por segmentos, aquí expuesta, con otros métodos estadísticos existentes en la literatura.
Desde 2006 ha habido en México un crecimiento notable de la violencia, con alzas en las tasas de homicidios, como resultado directo del aumento de las confrontaciones por el combate a los grupos del crimen organizado. El incremento en el número de organizaciones de tráfico de drogas en México es, en gran medida, una respuesta a los choques ocurridos no sólo internamente, sino por la alta demanda de drogas en Estados Unidos, así como por el éxito de gobiernos, como el colombiano, para recuperar el control del país de manos del crimen organizado, y el cierre de las rutas del tráfico de drogas en el Caribe, logrado por el gobierno de Estados Unidos.
Se aprecia que la gravedad del fenómeno de la violencia es dinámica en términos espaciales, por lo que sería oportuno explorar estrategias de contención también dinámicas e integrales, en el sentido de preservar la vida de la población en general. Estimaciones como las aquí mostradas podrían ser útiles para ayudar a las autoridades en la materia a implementar políticas públicas cuyo diseño considere las características de las muertes violentas en general y de los homicidios en particular, en las diferentes regiones del país, así como los factores de riesgo que las pudieran potenciar.










nueva página del texto (beta)




