Introducción
La disciplina fiscal, elemento fundamental en los planes económicos de México (Presidencia de la República, 2019a), requiere permanente vigilancia, por tal razón resultan interesantes las propuestas orientadas a salvaguardar recursos públicos, pero que también apoyen al sector empresarial, evaluando precios en el comercio internacional de mercancías. De esta manera sería posible que, aprovechando la estadística del comercio internacional, generada día con día en los reportes sistematizados para el despacho de mercancías, autoridades y particulares, puedan consultar precios por código arancelario ya sean observados a un tiempo determinado, en tiempo real o bien, obtener expectativas a futuro de acuerdo con trayectorias.
Por lo anterior, el objetivo del presente trabajo es utilizar cónicas como método de precios de transferencia, contribuyendo a la verificación del valor de mercancías en la aduana, como medida previa a revisiones fiscales y aduaneras (Mancilla-Rendón, 2010; Torres & Chávez, 2015). La hipótesis es que mediante cónicas, curvas que han sido usadas para la explicación de la teoría de oferta y demanda (Ruiz, 1997; Cómbita Mora, 2012), se obtiene una representación visual del comercio y de las expectativas de precios para cualquier código arancelario, dotando a los interesados de un método de precios alternativo.
Las cónicas ofrecen representaciones que se ajustan bien al comercio internacional (García-Pérez, et al, 2016); en cuanto a las hipérbolas, reflejan en dos cuadrantes, uno para el exportador y otro para el importador, la posición de un fenómeno (García-Fernández, et al, 2014), en este caso la cantidad de mercancías y el precio pactado. Por su parte, las parábolas al poder presentarse con apertura horizontal o vertical ofrecen distintos escenarios, con mayor o menor volatilidad para las operaciones y expectativas del comercio (Lagunas y Cervantes, 2021).
De esta manera, la autoridad podría concentrarse en las situaciones que sugieran presencia de precios distorsionados, optimizando los recursos públicos, pero al mismo tiempo también los recursos de los particulares, evitando gastos de gestión y probanza.
Para el año 2021, en México, de acuerdo con el artículo 180 de la Ley del Impuesto Sobre la Renta (LISR), existen 6 métodos para establecer precios de transferencia entre partes relacionadas. Por su parte, la Ley Aduanera (LA) en su artículo 70 establece tres métodos para valorar las mercancías cuando exista telación entre el importador y el exportador, por lo tanto, la propuesta del presente artículo es complementaria, ya que además de ser una metodología no aplicada, podría utilizarse en todo tipo de operaciones comerciales y no solo en las que se involucren partes relacionadas.
El trabajo inicia con los antecedentes de las operaciones cuyos precios internacionales podrían evaluarse, mencionando los conceptos esenciales y esbozo de la situación comercial, reglamentación e importancia para la dinámica económica y comercial de México, posteriormente se describe la metodología y se ejemplifica la propuesta.
Se concluye que se podría verificar un mayor número de operaciones internacionales a través de una misma metodología, con alcance a todo el Sistema Armonizado de Designación y Codificación de Mercancías (SADC), como también en las operaciones entre partes relacionadas de acuerdo con el interés de cada país en lo particular.
El comercio internacional de mercancías
En el comercio internacional de mercancías es imprescindible establecer el valor de transacción o valor en aduana, el cual constituye la base para el pago de contribuciones, dicho valor está conformado por el precio pagado, añadiendo en algunos casos conceptos conocidos como gastos incrementables. A este respecto, la Ley Aduanera mexicana prevé que, en caso de no identificarse claramente el valor, deban emplearse métodos alternativos hasta en tanto se logre obtener un valor aceptable, aplicándose solo uno de los métodos, pero procurando que sea en el orden siguiente: transacción de mercancías idénticas; transacción de mercancías similares; precio unitario de venta y; precio reconstruido de las mercancías (Congreso de la Unión, 2018)2.
Una vez determinado el valor en aduana, es necesario considerar lo dispuesto en el Impuesto General de Importación (IGI), respecto al pago de aranceles, que pueden expresarse como tasa porcentual sobre el valor en aduana, cuota fija establecida a cierta cantidad o por unidad de mercancía, o también mediante una combinación de las dos formas anteriores (mixto). Adicionalmente, las transacciones internacionales de mercancías pueden estar sujetas a requisitos no arancelarios, como, requerimientos fitosanitarios, cuotas compensatorias y derechos de trámite aduanero, lo que dependerá del tipo de mercancías, origen y destino.
Para conocer los requisitos en cada operación, desde el año 1988 entró en vigor el Convenio para implementar el Sistema Armonizado de Designación y Codificación de Mercancías (SADC), el cual estructura la codificación internacional del comercio mediante seis dígitos (World Custom Organization, 2017), denominados subpartidas arancelarias, bajo los cuales se clasifican todas las mercancías para su mejor identificación. Es importante señalar que, además del uso y estructura internacional, cada país en lo particular, de considerar necesaria una mayor especificidad para mejorar controles y análisis, puede agregar dígitos a los seis aceptados internacionalmente. Por ejemplo, México, adiciona dos más, conformando lo que se denomina Fracción Arancelaria cuya estructura es de ocho dígitos3.
Es importante mencionar que mediante el SADC se ha codificado más del 98% del comercio mundial (World Custom Organization, 2012), facilitando la identificación de mercancías, convirtiéndolo en elemento fundamental para la celebración de tratados o convenios internacionales (Asociación Latinoamericana de Integración, 2019). También, se irguió en herramienta para minimizar los errores en el cobro de contribuciones o bien ya sea para exigir o eximir incorrectamente determinados requisitos. La codificación del SADC ha logrado conformar importantes bases de datos, agrupando la dinámica comercial de transacciones país/país, país/países, país/socios comerciales e inclusive a nivel regional y mundial. En el caso específico de México, la estadística agrupada en códigos del SADC y Fracciones Arancelarias, puede ser consultada en el Sistema de Información Arancelaria Vía Internet (Secretaría de Economía, 2019), pero también en sitios internacionales como el International Trade Centre (ITC), constituido como punto de coordinación de la Organización de las Naciones Unidas (ONU), para asistencia técnica del comercio internacional (International Trade Centre, 2019).
De acuerdo con el ITC, en el año 2018 las importaciones mundiales de todos los productos alcanzaron la cantidad de 19,689,785,570 miles de dólares, mientras que para el caso de México sumaron 464,268,470 miles de dólares, las cuales provinieron principalmente de Estados Unidos de América, China, Japón, Alemania y Corea. Los cinco principales proveedores de mercancías internacionales para México se han consolidado a lo largo del tiempo, como así lo indican consultas al ITC por los años 2010 a 2017 (International Trade Centre, 2019), sin embargo, destaca el constante crecimiento de las importaciones desde China, marcada estabilidad de lo enviado desde Alemania, Japón y Corea, presentándose las variaciones más importantes en las mercancías enviadas desde los Estados Unidos de América.
Para el caso de las importaciones, es prioritario considerar que los recursos públicos que el comercio internacional genera para México se deben a esta actividad. Las importaciones permiten el cobro de: aranceles, Impuesto al Valor Agregado (IVA), Impuesto Especial sobre Producción y Servicios (IEPS), incluso por cuotas compensatorias. Para el año 2017 la recaudación total en las aduanas mexicanas alcanzó la cantidad de 845,294,070,727 pesos mexicanos, de los cuales el 74.33% correspondió al IVA, 18.84% al IEPS, 6.27% al IGI y el resto a los derechos de trámite aduanero (DTA), impuestos sobre automóviles nuevos (ISAN) y a otros conceptos (Servicio de Administración Tributaria, 2019).
De acuerdo con la Figura 1, en el año 2018 se incrementó la recaudación aduanera total, sin embargo, la composición no tuvo muchos cambios, alcanzó la cantidad de 949,707,203,206 pesos mexicanos, de los cuales 75.06% fue de IVA, 17.43% de IEPS, 6.93% de IGI y el resto a los demás conceptos (Servicio de Administración Tributaria, 2019).

Fuente: Elaboración propia, datos del Servicio de Administración Tributaria.
Figura 1 Recaudación total por operaciones aduaneras en México.
En cuanto a las exportaciones, independientemente que en algunos países como México se encuentran exentas del pago de aranceles y que se les aplica tasa 0% para el Impuesto al Valor Agregado (IVA), por motivos de eficiencia, competitividad y fortalecimiento de la producción nacional, su análisis no solo es necesario sino urgente, contribuyendo con la diversificación de los mercados (Presidencia de la República, 2019b; Secretaría de Relaciones Exteriores, 2019).
La Figura 2 representa la gran inequidad en la presencia comercial por regiones, en donde los Estados Unidos de América no solo es el principal destino de la exportación mexicana, sino que también es el primer proveedor, representando una oportunidad consolidada, pero al mismo tiempo un grave riesgo por el nivel de dependencia que esta situación genera.
El valor en aduana y la prevención de subvaluación
Para lograr recaudación adecuada, es necesario enfatizar que el elemento sustantivo para operaciones ad-valorem es el precio de adquisición, sin embargo, cuando el valor sea considerado distorsionado, se aplican 4 métodos alternativos en México4 (Congreso de la Unión, 2018), debiendo mencionar que de acuerdo con la Ley Aduanera, cuando se argumente la imposibilidad para determinar correctamente el valor, los interesados pueden formular consulta ante la Administración General Jurídica (Servicio de Administración Tributaria, 2020).
Por otra parte, la Organización Mundial de Aduanas (OMA), complementa los métodos de México, adicionando el denominado “última instancia”, indicando que “deberá basarse en los valores y métodos alternos, pero con una flexibilidad razonable en su aplicación”, es decir, una combinación de dos o más métodos con explicación fundamentada (Organización Mundial del Comercio, 2020).
La OMA publica anualmente el informe con los principales análisis mundiales, entre estos la detección de drogas ilícitas, armas, artículos farmacéuticos o compuestos químicos, pero con un elemento común que, de acuerdo al informe del año 2018, es la salvaguarda del pago de impuestos mediante la correcta valuación comercial (World Customs Organization, 2018). Este informe deja en claro que en el comercio internacional es imperativo vigilar que los precios correspondan a valores de mercado, ya sea en el país de origen o para un comercio en el país destino, y que también, puedan compararse con referencias en la estadística internacional (World Custom Organization, 2019).
Como se aprecia, es fundamental la conformación del valor, por ello, la comunidad académica ha estado abordando el tema desde distintos enfoques, convergiendo en la importancia del valor declarado o determinado. Así el autor González-Bianchi (2019) compara situaciones en que se puede identificar anomalías, denominándolas errores, mismos que son señalados y sancionados por leyes administrativas, fiscales y penales pero que, dada la naturaleza comercial, existe la posibilidad de llevar a cabo correcciones que permiten eximir responsabilidad, pero también, el cabal cumplimiento de las obligaciones derivadas de la operación comercial.
Es tal la importancia de una correcta valuación aduanera, que en algunos países y regiones se ha llegado a proponer no solo métodos de valuación sino una total reforma estructural para el comercio, que equipe a las autoridades con facultades y herramientas tecnológicas para comprender patrones de comportamiento y mejorar la recaudación fiscal, verificando precios, pero además procedimientos de reconocimiento de mercancías (Montagnat-Rentier, 2019).
Otros estudios proponen implementar herramientas tecnológicas para prevenir subvaluación, en este sentido los autores Vanhoeyveld, Martens y Peeters (2019), analizaron más de nueve millones de registros de operaciones, pretendiendo identificar patrones de comportamiento. Para ello tomaron de referencia mecanismos aplicados en el fraude genérico, sin embargo, concluyeron que el área internacional es más compleja, y que los algoritmos tradicionales necesitan ajustarse a los patrones con características mundiales por lo que propusieron una metodología basada en vectores a partir de los datos agrupados por el Sistema Armonizado de Designación y Codificación de Mercancías SADC. Por ello, consideramos a dicho estudio como un marco de referencia sustantivo para el presente artículo, pues se reconoce la misma intención, aunque no está basado en cónicas.
Otro estudio ligado íntimamente al presente artículo aborda una metodología que identifica productos que pueden presentar precios distorsionados, para luego hacer una búsqueda hacia operaciones similares que pudieran relacionar empresas que realizan habitualmente comercios de ese tipo. De esta manera los autores proponen discriminar los casos y enfocarse en que se detecte la relación entre partes comerciales; a diferencia del estudio de Vanhoeyveld, Martens y Peeters (2019) que consideran análisis por agrupación arancelaria, este otro se concentra en sectores y partes relacionadas (Choi, 2019), situación a la cual la metodología cónica propuesta en este artículo podría adaptarse.
Para algunos autores, en Latinoamérica, hasta ahora la verificación se ha concentrado en operaciones particulares, aplicando métodos que comparan o reconstruyen costos, precios o utilidades (Ilha, Mandía, & Pastor, 2011). Algunos con enfoque particular a la participación en cadenas productivas, buscando predecir y analizar escenarios que ayuden a la toma de decisiones, otros con énfasis en la incidencia de las políticas públicas, desempeño por nivel y determinación de precios (Masaro, 2019). Por lo anterior, también podría proponerse la metodología cónica expuesta en el presente artículo, estableciendo curvas en eslabones de cadenas productivas.
Por lo anterior, surge la oportunidad para presentar valoraciones previas, proporcionando intervalos comercialmente habituales. Ésto otorga a las autoridades e interesados opinión previa a la verificación o auditoría a particulares, permitiendo evaluar permanentemente la dinámica comercial, dirigiendo revisiones fiscales en aquellos casos fuera de los intervalos aceptables. Adicionalmente, se contribuiría con el fortalecimiento de la producción nacional evitando gastos innecesarios al mismo tiempo que se llevaría estricta vigilancia a los recursos públicos, situación de especial interés para el presidente de México (Presidencia de la República, 2019a).
Además de la importancia sustantiva del valor en la aduana, de la cual se constituyó el objetivo y propuesta del presente artículo, se alinea con el reconocimiento de organismos internacionales, como la Asociación Latinoamericana de Integración (ALADI), que reconocen la necesidad de armonizar mecanismos y procedimientos de evaluación y control en comercio internacional. Punto importante, pues ya que aún al año 2018, por mencionar algunos ejemplos, Colombia aún no armoniza los procedimientos para la evaluación y reconocimiento mutuo, o como Uruguay, país con quien tampoco los miembros de la región han logrado que se comparta formatos únicos de origen, o bien, la aún parcial propuesta para permitir que la facturación para la importación pueda ser realizada por terceros (Asociación Latinoamericana de Integración, 2019).
Metodología
Los modelos están sustentados en secciones cónicas de hipérbolas y parábolas (González-Mazuelo & Patiño-Jaramillo, 2007; Cantón, Fernández-Jambrina, & María, 2011), específicamente aquellas que expresan la esencia de una venta de mercancías, la de quien exporta y obtiene un ingreso, es decir, del cero a la derecha del eje horizontal o eje de x, expresado en unidades monetarias. En contra parte, para quienes adquieren mercancías (importación), la contraprestación es negativa por el pago que realizan, es decir, del cero a la izquierda sobre el eje de x (miles de dólares). Para ambos casos, las cantidades de mercancías son las mismas y están representadas en el eje vertical (eje y), en las unidades en que se expresa la subpartida arancelaria a la que pertenecen conforme al SADC.
Tomando en cuenta que el origen de una operación comercial requiere de la existencia de mercancías (valor positivo), se consideran únicamente las cónicas que pasan por los cuadrantes I y II como se muestra en la Figura 3, es decir, que tienen correspondencia para dos agentes económicos que participan esencialmente en cualquier operación internacional, uno como exportador que obtiene ingresos (cuadrante I), y la contraparte que adquiere y paga por la mercancía importada (cuadrante II).

Fuente: Elaboración propia mediante GeoGebra.
Figura 3 Elementos fundamentales para los modelos de cónicas.
Las hipérbolas ofrecen trayectorias más estables (Santiago, Alcalá, Ortiz, & Lozano, 2010), comúnmente son menos pronunciadas, lo que se debe interpretar como una menor elasticidad en la demanda (un cambio en los precios incide, pero débilmente en las cantidades de mercancías demandadas), previendo que el comercio no descienda más allá del vértice debido a un comercio habitual.
Por su parte, las parábolas ofrecen estimados para mercancías o mercados con mayor volatilidad (Fanelli & Jiménez, 2009), es decir, con mayor elasticidad (si se incrementan los precios incide con importancia en reducir la cantidad de mercancías vendidas o demandadas) lo que se aprecia en la Figura 3.
A continuación, se describe la obtención de los elementos para las parábolas e hipérbolas (González-Mazuelo & Patiño-Jaramillo, 2007), sugeridas para la valuación de operaciones de comercio internacional:
La forma siguiente expresa a las cónicas de manera general,
Para el caso de las parábolas, todas tienen eje focal vertical, en el vértice (0,0) por lo tanto,
Para ubicar los puntos en las gráficas se utiliza el cálculo diferencial donde la derivada es cero o bien es no definida,
dada la relación implícita
los vértices de las cónicas se encuentran en donde se cumpla lo siguiente
Los modelos de parábolas estarán definidos de la siguiente forma
Las rectas tangentes para las parábolas, con eje focal vertical
Para ubicar el valor de
Por lo tanto, el vértice estará conformado como sigue,
La posición del foco estará ubicada como se muestra a continuación,
Las coordenadas para el foco están conformadas por las siguientes coordenadas,
Ecuación de la directriz,
La ecuación para el eje focal,
El ancho focal se determina de la siguiente forma,
Con respecto a las hipérbolas, a partir de la ecuación (1) y de la forma para la derivada (4), se despeja de esta última la variable
La Ecuación (18) se sustituye en la Ecuación (1),
Por lo tanto,
Dado el tipo de hipérbola empleada para los modelos, es requisito que se cumpla con la siguiente característica
Los valores para vértices están determinados de la siguiente forma
En consecuencia, las coordenadas para los vértices serán,
Punto medio entre los vértices,
En consecuencia, las coordenadas para ubicar en centro de la hipérbola están determinados con base en las formas (18) y (26), es decir
Distancia entre C y cada uno de los vértices se obtiene
Distancia entre C y cada uno de los puntos en el eje conjugado o imaginario (ordenadas) se determina de la siguiente manera
Por lo tanto, la distancia entre C y cada uno de los focos se determina como sigue
Modelado para precios de referencia
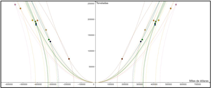
A continuación, se presentan el modelo estructurado en GeoGebra, para obtener precios de referencia a partir de la exportación total de café brasileño hacia todo el mundo (Vacca, Acosta, & Rodriguez, 2011; Andrade & Petri, 2008).
Los puntos señalados en la Figura 4 representan observaciones de períodos anteriores, están situados en la intersección de las cónicas, siendo estas las posibles trayectorias que pudo haber seguido el comercio de haberse mantenido las condiciones comerciales.

Fuente: Elaboración propia mediante GeoGebra.
Figura 4 Modelado a partir de períodos comerciales acontecidos.
Se emplea cada una de las ecuaciones para obtener el valor, es decir, dada una cantidad de mercancías que se comercializara, inclusive en tiempo real (por ejemplo, lo registrado por las aduanas), mediante cada ecuación se obtendría el valor monetario y, en consecuencia, estimando los precios unitarios (valor monetario / cantidad de mercancías), se identifican el mínimo, el máximo, mediana, primer y tercer cuartil, con los cuales se establecen dos intervalos de referencia (Arteaga, Granados, & Joya, 2013), uno conformado por los resultados de las hipérbolas y otro con los de las parábolas.
Es importante señalar que se debe evitar confundir el propósito del presente trabajo, el cual sí radica en presentar intervalos de referencia, que, de automatizarse, se podrían obtener en tiempo real para preevaluar operaciones que sugieran distorsión en precios, no buscando estimar valores futuros como sucede con las regresiones.
A continuación, se presentan datos para obtener precios de referencia para una mercancía5, esta información corresponde a las exportaciones totales de café brasileño, información agrupada mensualmente6 a partir de junio 2018 y hasta mayo del 2019 (International Trade Centre, 2019).
Con los datos anteriores, al modelo de la Figura 4 se le agrega un punto adicional, TIEMPO REAL, dinámico y que forma sus propias cónicas, para evaluar diversas cantidades de mercancía, verificando previo inicio de facultades aduaneras exhaustivas, dejando estas últimas solo a los casos que sugieran precios anómalos. La información simulada en tiempo real es el registro del comercio real al cierre del año 2019 en que se exportó un total de 202,315 toneladas con valor, en miles de dólares, de 424,000 (International Trade Centre, 2020).
Se incluye el registro real de las toneladas y valor en miles de dólares al cierre del 2019 (Figura 5), los resultados obtenidos mediante las cónicas de períodos anteriores se presentan en la Tabla 2 incluyendo en las últimas dos columnas, diferencias o errores al comparar los precios reales con respecto a los precios que se hubieran obtenido mediante el patrón de comportamiento comercial de períodos anteriores.

Fuente: Elaboración propia mediante GeoGebra.
Figura 5 Modelo dinámico para evaluar la exportación de café brasileño.
Tabla 1 Exportaciones de Brasil para el mundo Café, incluyendo tostado o descafeinado; cáscara y cascarilla de café.
| Mes / año | Miles de dólares | Toneladas | Precio Unitario |
|---|---|---|---|
| Junio 2018 | 311 149.00 | 129 563.33 | 2.40 |
| Julio 2018 | 182 804.00 | 74 738.42 | 2.44 |
| Agosto 2018 | 321 347.00 | 135 646.29 | 2.36 |
| Septiembre 2018 | 403 362.00 | 179 861.20 | 2.24 |
| Octubre 2018 | 434 313.00 | 196 814.51 | 2.20 |
| Noviembre 2018 | 517 099.00 | 234 076.34 | 2.21 |
| Diciembre 2018 | 553 516.00 | 246 239.32 | 2.25 |
| Enero 2019 | 409 541.00 | 182 270.22 | 2.25 |
| Febrero 2019 | 409 903.00 | 186 799.18 | 2.19 |
| Marzo 2019 | 414 125.00 | 192 855.77 | 2.15 |
| Abril 2019 | 340 633.00 | 166 181.64 | 2.05 |
| Mayo 2019 | 400 000.00 | 196 012.56 | 2.04 |
Capítulo, partida, subpartida arancelaria: 09 01 11 (International Trade Centre, 2019).
Fuente: Elaboración propia con datos de INTRACEN
Tabla 2 Diferencias entre precio real y precios de referencia en miles de dólares
| Meses | Precio de referencia | Precio Unitario Real a diciembre 2019 | Diferencia (error) | ||
|---|---|---|---|---|---|
| Hipérbola | Parábola | Hipérbola | Parábola | ||
| Enero | 2.11 | 2.13 | 2.09 | -0.02 | -0.04 |
| Febrero | 2.09 | 2.11 | 2.09 | - | -0.02 |
| Marzo | 2.08 | 2.10 | 2.09 | 0.01 | -0.01 |
| Abril | 1.83 | 1.86 | 2.09 | 0.26 | 0.23 |
| Mayo | 2.00 | 2.01 | 2.09 | 0.09 | 0.08 |
| Junio | 1.88 | 1.92 | 2.09 | 0.21 | 0.17 |
| Julio | 1.59 | 1.92 | 2.09 | 0.50 | 0.17 |
| Agosto | 1.89 | 1.94 | 2.09 | 0.20 | 0.15 |
| Septiembre | 2.09 | 2.11 | 2.09 | - | -0.02 |
| Octubre | 2.17 | 2.18 | 2.09 | -0.08 | -0.09 |
| Noviembre | 2.44 | 2.38 | 2.09 | -0.35 | -0.29 |
| Diciembre | 2.57 | 2.48 | 2.09 | -0.48 | -0.39 |
Fuente: Elaboración propia.
Con los precios de referencia de la Tabla 2, se forman los intervalos siguientes.
La Figura 6 muestra que, conforme a hipérbolas, por cada tonelada de café, el precio menor aceptable sería 1.59, considerando el primer cuartil 1.89, la mediana 2.09 con valor máximo aceptable de 2.57; de acuerdo con estimados de parábolas, el precio mínimo sería de 1.86, de acuerdo al primer cuartil 1.94, con la mediana 2.11 y con precio máximo aceptable de 2.48.

Fuente: Elaboración propia mediante Minitab17.
Figura 6 Intervalos de precio mundial de referencia para el café brasileño.
Además, si se consideran los precios unitarios históricos contenidos en la Tabla 1 como también que el café no puede considerarse volátil por su poca elasticidad en la demanda (Martínez & Salinas, 2004), se identifica fácilmente que el intervalo a partir de los modelos de hipérbola (color negro) contendrían al 100% de todos los valores históricos, lo que en un sentido general establecería el ajuste de la propuesta.
Conclusiones
En la explicación de las leyes de oferta y demanda, como también en la elasticidad en los precios, la economía ha adoptado tradicionalmente el uso de curvas para representar el desplazamiento de precios y cantidades de bienes o servicios. Lo anterior incluye, por supuesto, los comercializados internacionalmente. Sin embargo, con visión de mayor alcance las curvas o cónicas, específicamente hipérbolas y parábolas con distinta forma matemática de notación y figura, pero, con el mismo objetivo que los modelos lineales constituyen métodos matemáticamente válidos para obtener expectativas.
Puede decirse que, la adopción de curvas en la economía obedece a una cuestión de su origen, es decir, que los agentes económicos no necesariamente al aumentar en una determinada proporción un precio, obtendrán de manera equivalente una disminución de la cantidad demandada. Es decir, un comportamiento cuasi lineal, esto se debe a que el valor o utilidad, entendida esta última como el propósito de adquirir un bien o servicio (algunos para uso, otros casos para reventa), no siempre se comparte ya que incide inclusive la moda o costumbre, siendo estas características bien modeladas mediante cónicas. Éstas ofrecen trayectorias de lo que podría denominarse “comportamiento comercial”, en ocasiones con mayor o menor curvatura, de acuerdo con el patrón de comportamiento de los agentes económicos y el valor que le estén asignando a ciertos productos o servicios.
De ahí que las propuestas presentadas en este trabajo, bajo formas cónicas, no solo son distintas a los modelos que esperan un dato centralizado o linealizado, como las regresiones. Aquí se consideran en su forma geométrica original, representando el comportamiento de la oferta y demanda en ciertos mercados con ciertos productos, pronunciando o contrayendo sus curvas, en una adaptación del patrón de comportamiento en los mercados.
Es pues entonces que las cónicas y sus propiedades, otorgan cualidad de ajuste para situaciones económicas complejas, que no pueden (ni deben) en la mayoría de los casos, tratar de estimarse bajo criterios lineales. La razón es que los compradores o vendedores en el mercado internacional deben ajustarse a las políticas públicas y de sus propios intereses, imponiendo límites u otorgando facultades, pero algunas solo de aplicación en el lugar donde se encuentren domiciliados, haciendo que no sean compartidas las mismas condiciones por todos los participantes del comercio internacional.
Por tales circunstancias, es posible la identificación de patrones o trayectorias, representando la manera en cómo se desenvuelve el comercio mundial en distintos momentos, constituyendo elementos de fortaleza para prevenir o preevaluar operaciones internacionales que sugieran distorsión en los precios. Por una parte, contribuye a que las autoridades fiscales y aduaneras optimicen los recursos públicos, verificando o auditando las operaciones con mayor riesgo, o bien, por otra parte, exigiendo a los particulares probanza de precios de transferencia, con mayor énfasis en las operaciones que sugieran mayor riesgo de distorsión.
La posibilidad de aplicación para evaluar operaciones internacionales, sin duda puede ampliarse, inclusive a la totalidad de los 99 capítulos del SADC o su desagregación de partidas y subpartidas, sin omitir mencionar que para los productos con precios más estables, el mejor ajuste en las estimaciones lo proporcionan las hipérbolas, mientras que para aquellos productos o servicios más volátiles o con incidencia importante de elasticidad, la recomendación sería emplear los estimados obtenidos por parábolas.
Respecto a operaciones de servicios entre partes relacionadas, estas podrían evaluarse, de forma similar a las mercancías, eligiendo a juicio de las autoridades fiscales las operaciones de mayor importancia, o bien, de acuerdo con el interés del sector empresarial, cuando se identifique daño o amenaza de daño a un determinado tipo de servicios en un mercado local.
Para los estimados de este trabajo se desarrolló un conjunto de modelos cónicos, conformando un prototipo, mediante el cual fueron evaluadas operaciones de doce meses, no obstante, este prototipo puede adaptarse ya sea a períodos más amplios (trimestres o años) o más cortos (día o semana). La temporalidad también puede ampliarse, sin estar sujeta a doce observaciones sino a cualquier otro número de períodos de tiempo. Por esta razón, de adoptarse estas medidas de evaluación preventiva, la sugerencia general es que la implementación se concertara en las distintas aduanas y con las autoridades fiscalizadoras de los países interesados, con la finalidad de que exista correspondencia en resultados y detección de anomalías.
Finalmente, se debe agregar que las propuestas descritas en este trabajo no buscan suplir los métodos para determinar el valor en aduana de México o de cualquier otro país, así como tampoco suplir los métodos para determinar precios de transferencia. Por el contrario, la intención es completar los mecanismos convencionales con evaluaciones automáticas previas, que sugieran precios internacionales fuera de patrones observados anteriormente. De esta manera tanto autoridades fiscales como empresas multinacionales podrían llevar a cabo preevaluaciones para verificar la validez en precios internacionales.










texto en 



