SciELO - Scientific Electronic Library Online

 
vol.32 número2Efecto de intensidad inicial de enfermedad en la caracterización temporal y espacial de la Mancha Negra del nopal (Opuntia ficus-indica) índice de autoresíndice de materiabúsqueda de artículos
Home Pagelista alfabética de revistas  

Servicios Personalizados

Revista

Articulo

Indicadores

Links relacionados

  • No hay artículos similaresSimilares en SciELO

Compartir


Revista mexicana de fitopatología

versión On-line ISSN 2007-8080versión impresa ISSN 0185-3309

Rev. mex. fitopatol vol.32 no.2 Texcoco  2014

 

Review articles

Epidemiological considerations of climate change on tropical crops health

G. Mora-Aguilera1 

G. Acevedo-Sánchez1 

G. Calderón-Estrada2 

J. Flores-Sánchez1 

S. Domínguez-Monge1 

Peter Baker3 

R. González-Gómez4 

1 Colegio de Postgraduados, Campus Montecillo-Fitopatología, Texcoco, Edo. de México.

2 Asociación Nacional del Café, Guatemala, Guatemala.

3 CABI, Bakeham Lane, Reino Unido.

4 Dirección de Protección Fitosanitaria-DGSV. México, D. F.


INTRODUCTION

Anthropogenic climate change is a phenomenon favored by the increase of "Greenhouse gases" (GG) in the atmosphere. It consists of changes in the concentration of ozone and other gases of industrial origin. Greenhouse gases have increased significantly in the last three decades due to the intense global industrial activity, and have a direct effect on the temperature increase, leading to alterations in climate regulatory processes, such as water cycles, variations in the ocean currents, and they influence the regularity and intensity of El Niño - Southern Oscillation (ENSO). In an attempt to revert this tendency, international agreements have been made to reduce the negative effects on the environment due to industrialization. Among these agreements, the Kyoto protocol in 1997, promoted by the United Nations Organization (UNO), which refers to the commitment of reducing GG by at least 5 % by 2012, in comparison with emissions in 1990 (ONU, 2009). Given that the Protocol expired in 2012, several attempts have been made to ratify it with diverse countries. During the recent summit in Rio de Janeiro, R+20, the main topic was sustainable and eco-friendly development; however, no significant advances were specified in relation to the Protocol. En December 2012, in the Doha summit in Qatar, a new period was agreed for the Kyoto protocol for another eight years. It is worth highlighting that some countries with a high implication in the GG emission refuse to ratify it, such as Japan, Russia, Canada, and New Zealand, whereas other countries that committed themselves to reduce their emissions during the second Kyoto protocol produce slightly more than 15 % of the total of the world's polluting agents. Experts have admitted that the final agreement does not satisfy the recommendations for the reduction of the temperature increase caused by heat waves, sandstorms, hurricanes, floods, droughts, or the rising of sea levels (UNFCCC, 2012).

There is extensive information on the consequences of climate change on diverse spheres, such as an increase in rates of desertification, increase in the frequency and intensity of hurricanes and tropical storms, and changes in the patterns of distribution and reproduction of flora and fauna (Table 1) (SMN, 2013).

Table 1 Websites related to the study of the effect of climate change on the weather, oceans, agriculture, biology, and society (migration rates). 

El Niño

One of the indicators of climate change due to intensive industrialization are the variations of the natural phenomenon known as El Niño-Southern Oscillation (ENSO). ENSO occurs where warm ocean waters reach the Pacific coasts of South America during the summer of the Southern Hemisphere (Niño) or with a strong trade wind system leading to equatorial temperatures to fall (Niña) (NOAA 2012). Any of these conditions, which could be caused by natural fluctuations, lasts for different periods of time and influence the weather variations in temperatures, and particularly in global rainfall systems. However, it has been widely admitted that the warming of the surface of the ocean due to anthropogenic activities is influencing the frequency of the ENSO, which is widely related to the occurrence of atmospheric disturbances, such as heavy rainfalls in the decade of 2001-2010, considered the most humid decade since 1901 (OMM, 2012).

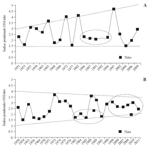
To indicate the presence of any of these phenomena, the National Oceanic and Atmospheric Administration (NOAA, of the U.S.A.), carries out tri-monthly estimations of the Oceanic Niño Index (ONI). The ONI is based on the variations of the average sub superficial temperature (SST) of the equatorial ocean or Niño 3.4 region. When the average tri-monthly estimation of the ONI is a positive value, higher or equal to 0.5 °C, the phenomenon is considered El Niño. On the other hand, when the ONI estimation is lower than or equal to -0.5 °C, the phenomenon is considered La Niña. Given that this phenomenon is a result of natural variations of the SST, the changes in the climate patterns would imply changes in the behavior of the ENSO. The intensity of the ONI can therefore be considered as an adequate explanation for its historical variations. Due to this, we propose the ONI Weighted Index:

ONI Weighted Index = ONImax-ij+ONIq.75-ij

where,

ONI = Oceanic Niño Index;

ONImax-ij = Maximum value of ONI in i=1950-2012 and j=month 1-month 12;

ONIq.75-ij =Quartile 75 of the ONI in i=1950-2012 and j = month 1 - month 12|( 4 months.

By applying this index to estimate the intensity of the events, it is possible to confirm that in the 80's and 90's there was a lower frequency of cold conditions in the tropical Pacific (Figure 1B) and a stabilization in the occurrence of warm phenomena (Figure 1A). However, since the late 1990's and the first decade of the 21st Century, colder conditions have prevailed in the Pacific and in the warm events that took place in this time have been weak.

Figure 1 Historical behavior of the ONI Weighted Index related to the El niño-Southern Oscillation. Data taken and analyzed from Changes to the Oceanic Niño Index (ONI), NWS, NOAA, U.S.A. 

Although fluctuating changes in the properties of the ENSO due to an anthropogenic climate change are to be expected, the tendency suggests that fluctuating and more variable occurrences of El Niño will increase in years to come, and La Niña will partially reduce its variability, possibly with a steady tendency (Figures 1A and 1B). The latter has clearly influenced the increase in the frequency of rainfalls, which affect biological pest events.

Implication of climate chance in pest occurrence

Variations in the duration and intensity of ENSO affects mainly the temperatures of the ocean surface, leading to an increase in rainfall and winds, favoring an increase in the frequency of events such as hurricanes and tropical storms. These phenomena are related to the occurrence and long-distance spreading of quarantine pests for Mexico (r2=0.97) (Figure 2). Since 1970, there have been approximately 10 hurricanes, 70 % of which were in categories 3-5 with winds of over 170-290 km/h (SMN, 2013). Two hurricanes were recorded before the year 2000 and eight, afterwards. These events have a direct relation with quarantine pests, 6 of which were found before the year 2000 and 13 afterwards (Table 2). This suggests the indirect effect of climate change on the occurrence of quarantine pests due to the increase in the frequency of these events.

Figure 2 Proportion of exotic pest findings (accumulated) in Mexico from 1977-2012 and hurricanes that have hit Mexico for the same period. 

Table 2 Historical description of the relation between hurricanes and exotic pests recorded in Mexico in the period 1977-2012. 

Similarly to Mexico, Central American countries observed an increase in the frequency of hurricanes and tropical storms. From 1990 to 2008, occurrence approximately tripled in comparison to the 1970 - 1989 period (Figure 3) (PROMECAFE, 2013).

Figure 3 Number of hurricanes and tropical storms in Central American countries from 1970 to 2008. 

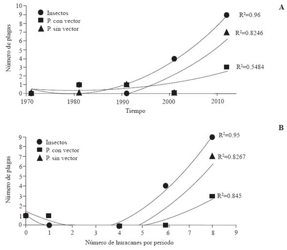
The proportion between exotic pests found historically and the number of hurricanes that hit Mexico was highly significant (r2=0.98). The occurrence of pests had a direct relation with time, presenting an exponential increase in the period between years 2000 and 2012 for insects (r2=0.96) and pathogens without an associated vector (r2=0.82). The occurrence of pathogens with a vector had no direct significant association (r2=0.55) (Figure 4A). The association between insect pests and the number of hurricanes was of r2 = 0.95, and between pathogens with and without vectors had an association of r2 = 0.84 y 0.82, respectively (Figure 4B).

Figure 4 Relation of the number of pests with detection period intervals of 10 years in Mexico according to official reports A. and relation with number of hurricanes occurred in equal time intervals between 1971 to 2012 B. With data from SENASICA and the National Weather Service, respectively. 

The study of the effect of climate change in plant diseases is an experimental and conceptual challenge, since the development and epidemic progress of a disease requires the interaction of various factors. These factors include the genetics of the host, the agronomic and plant health management, the pathogen itself, and weather. Therefore, the basic biological processes such as pathogenesis, survival, and dissemination, which mechanistically explain an epidemic process, are essentially multi-factorial and do not depend only on climate variables. In addition, this type of research requires historical evaluations to help understand possible climate variation patterns. Due to this, although the effects of climate change are undeniable, its estimation has not been entirely clarified by scientific studies. To date, this effect has been determined mainly by forecast models, which integrate mostly the climate factor as a component of the model. In addition, some requirements have been suggested for the study of climate change (Table 3) (Garret et al, 2009).

Table 3 Requirements for the study of the effect of climate change on plant diseases. (Source: Garret et al., 2009). 

In general terms, there are few studies on the impact of climate on plant health (Garret et al., 2013; Caubel et al, 2012 Garret et al, 2009), although there is a tendency towards changes in intensity and/or occurrence of regional epidemic events caused by the reemergence of plant health problems previously considered to be of low prevalence and economic impact. The effect of climate change on plant health is biologically feasible, given that microorganisms have brief cycles and their reproductive rates are heavily influenced by environmental variations. This would help forecast the increase and occurrence of pathogens, and to estimate their sanitary and economic importance. At the same time, it would be possible to prevent risks in regional food security. Likewise, microbiological indicators could be created of the effect of climate change in the environment under relatively short periods of time.

Tropical pathosystems, i.e. those made up of a pathogenic agent and a tropical species as a host, could provide clues of the effect of climate change through associated biological indicators. A factor that favors the identification of indicators is the association of the organism with perennial hosts, since it helps carry out historical studies of plant health processes. Epidemiological studies have been carried out in hosts such as coffee (Coffea arabica), avocado (Persea americana), banana (Musa spp), cocoa (Theobroma cacao), coconut (Cocos nucifera), and citrus fruits (Citrus spp.) in different periods of time and spaces that show changes in the intensity of the epidemics.

Coffee rust: A case study

Coffee rust is a current case of changes in epidemiological intensity, putatively related to climate change. In Mexico, this disease was first found in Chiapas in the 1980s, with a maximum incidence of 100 % (Figure 5A). The pathogen gradually adapted to the agro-system and the farmer preferred to coexist with the disease, due to the low impact regarding losses in production.

Figure 5 Incidence of Hemileia vastatrix. A. Cycles in 1982-1984 in Chiapas at 780 masl, B. Histogram of frequencies of rust incidence, which includes the curve of accumulated frequencies, obtained using national data from SICAFI from January 1 to March 8, 2013. 

An increase in the intensity of the epidemics was found, starting in 2008 in South American countries. This increase took place later, in years 2010-2012 in Central American coffee-producing countries. The increase of rust in Mexico became evident in late 2012 with epidemic rates of up to 100 % (Figure 5B). So far there has been no confirmation of a new breed of Hemileia vastatrix and the agronomic and plant health management of the crop is considered to be the same in the coffee-producing areas (CENICAFÉ, 2012). This suggests that climate is the factor that induces the increases reported, as several authors conclude.

In order to analyze the increase of the intensity and occurrence of the pathogens and pests, it is necessary to consider that historically variations show fluctuation, mainly in temperature with regard to the annual average. In general, from 1850 to 2000, there was an increasing tendency (r2=0.72). Figure 6 shows that from 1850 to 1870 there was a temperature reduction of 0.2 °C; however, after this, there was an increase in the historical average. Between 1870 and 1910, this temperature repeated itself in the following 50 years with similar periods and durations. Starting in 1950, a period of temperatures slightly below the average was observed, and followed by a tendency to increase until the year 2000.

Figure 6 Variations in temperature of the soil surface from 1850 to 2000. Source: IPCC, 2013 

Apparent variations between minimum and maximum temperatures can cause modifications in the phenology of plants, as well as in the biology and behavior of plants in general, which justifies the need to study the variations in time periods which help evaluate critical stages in pests, including those with low prevalence, but with epidemic potentials.

In coffee rust, to analyze the possible effect of such variations, it was necessary to combine climate variables that could favor specific events of the pathogenesis process. In particular, we studied the germination of spores and penetration of the fungus in coffee leaves with the purpose of developing early discovery models under the premise of the inductive effect of the climate (Figure 7).

Figure 7 Concept of the relation of the windows of climatic inductivity and biological processes of germination and penetration of Hemileia vastatrix in coffee. 

In coffee rust, these two processes require the combination of temperatures between 20 and 22 °C, the presence of liquid water, and a low light intensity (SENASICA, 2013); these conditions occur mainly between 1am and 9am. The combination of the climate variables described above, related to increases or decreases of rust estimated with the calculation of areas under the disease progress curve (AUDPC), was named "windows of climatic inductivity" (WCI) (Figure 7) (Mora-Aguilera et al., 2012). These WCI were studied in time intervals that related the amount of inoculum, amount of host leaves and the combinations of favorable climate conditions for the increase of the epidemic in the years 2009-2010.

It is important to consider that the independent study of variables can produce partial results on the increase of rust, and the effects of climate do not present themselves in short periods of time (Figure 8A). However, when adding variables based on the combination of conditions that favor the infection period such as favorable hours (T: 20-22 °C, HR: >90 %) in addition to the number of rainfalls and mm of rainfall accumulated per week, the biological event can be understood better. In this way, we found that during the years 2007 to 2009, favorable conditions were constant in comparison to the average, and presented no significant increases. However, in the year 2009 favorable conditions increased. The combined accumulated values were adjusted to a quadratic model that suggests that the favorable conditions will continue to increase in a constant manner in upcoming years (r2=0.71) (Figure 8B).

Figure 8 Study of the climate variables that favor the increase in intensity of coffee rust, A. accumulated favorable environmental conditions by week, and B. variations of the windows of climatic inductivity for the germination and penetration of coffee rust, under the conditions of the department of Coatepeque, Guatemala at 600 masl. 

This is congruent with the increases of rust intensity during the period of 2007-2012. Emphasis has been made on the fact that a study of climate change must be carried out with historical series of time, although biologically these analyses indicate that it is possible to study short timeframes, particularly if we calculate indices that combine the climate variables. These variations include changes in frequency, intensity, distribution, and duration of events, and therefore these changes can be evaluated with the distribution of data in historical periods. We must consider that the changes are perceptible in accumulated series of time, rather than independent events.

In addition, there is a natural variability that must be taken into account in climate studies in order to identify "extreme" climate changes, or changes in tendencies in time. The theoretical displacements of the average or normal climate displacements suggested by IPCC, 2013 (Figure 9A), stipulates that the average temperature undergoes a positive displacement effect, increasing the maximum temperatures. Other theoretical models include the increase of the variance, yet maintaining the regional normal.

Figure 9 A. Theoretical curve of the displacement of the historic average temperature due to climate change, and B. Curves for the displacement of the average and temperature variance, relative humidity, and frequency and intensity of the rainfall related to the germination of Hemileia vastatrix in coffee (Coffea arabica) in Coatepeque, Guatemala at 600 masl. Source: Castellanos, 2013

These theoretical models were analyzed in coffee rust by finding the annual WCI for 2007-2012. The average, and the variance, to a lesser extent, had a displacement effect for 2007-2012 which increased notoriously in the years 2009 to 2010, which was the last period of greatest productivity for the increase of coffee rust (Figure 9B). These calculations implied a 6-year period, although they required the use of 318,000 measurements of four climate variables from the National Coffee Association (ANACAFÉ) weather station network. These findings suggest negative effects of climate change in terms of a higher intensity and range of inductive windows, adequate for the induction of germination and penetration of fungal spores; a possible hypothesis could be that the occurrence of high to moderate epidemics in the future may be more frequent, and that current epidemic events regarding rust in Central America are not sporadic. Knowing the effect of climate on the increase of the occurrence and severity of rust helps understand the epidemic behavior for the conditions in Guatemala and other regions. With this it is possible to estimate forecast models based on epidemic inductivity levels. Figure 10 shows comparative maps of the damage intensity interpolations in the coffee-growing area of the Southwestern coast of Guatemala. The map on the left shows the real incidence in leaves with rust, and in comparison, map on the right shows the estimated incidence through the model of windows of climatic inductivity mentioned earlier. These results are currently under validation with data from epidemics from 2013 obtained through national monitoring programs in Mexico and Guatemala with rust management purposes.

Figure 10 Map comparing leaves with a real incidence of rust versus the incidence estimated using an estimation model named windows of climatic inductivity based on the variables in Figures 6 and 7. Source: G. Calderón et al., 2012. Not published. 

In general terms, the early alert systems aimed at implementing control methods estimate the increase of the organism in specific events, particularly those related to pathogenesis. The windows of climatic inductivity take these events into account for timely decision-making. However, it is necessary to consider that each system has its own climate requirements. Table 4 shows the temperature ranges for different pathogens that infect tropical crops, such as coffee rust, which has generally short ranges. This suggests that climate changes could influence the processes of pathogenesis, possibly increasing its epidemic level, and therefore its epidemiological surveillance.

Table 4 List of diseases in tropical crops and temperatures of germination of spores. 

Final Considerations

Tropical pathosystems are more susceptible to the effects of climate change, due specifically to changes in the variables related to dissemination, pathogenesis, and survival. The causal agents with a stronger interaction with the surroundings than with the host, i.e., non-systemic action, could be the most strongly influenced. A particular case is causal agents that depend on vector insects on which the environment operates most. Additionally, the effect of climate change on hosts is undeniable, in particular perennial hosts, inducing changes in periodicity, frequency and intensity of vegetative and reproductive stages, which contribute towards tissue availability for processes of infection by pathological agents or for the colonization of vectors.

Climate change influences tropical pathosystems in at least the following events or processes:

  1. Increase in rates of dispersion by changes in the frequency, intensity, and regionality of atmospheric factors, specifically winds related to hurricanes and cyclones. The occurrence of T. citricida, vector of the CTV, could illustrate this case.

  2. Increase in rates of survival due to increase in minimum seasonal temperatures, reducing the number of events that reach the survival thresholds. In some cases, the rise in maximum seasonal temperatures could be a restrictive factor. Examples: the reduction in the prevalence of CLam in HLB-citrics in Brazil and aggressive variations of citrus canker in Argentina could have climate-related causes, as well as competence factors.

  3. The increase in reproductive cycles due to inductive conditions regarding, basically, temperature and humidity; this is the case of coffee rust. Due to this, epidemic rates may display increases with a greater negative impact on the production and the cost-benefit relation in agricultural processes.

  4. The implication of the climate variations on the biological colonization, multiplication, and dissemination events of pests force an increase in biological studies in order to estimate regional epidemiological risks.

  5. Climatic variability and its global expression may increase the possibility of producing regional prediction models, an alternative for heterogeneous tropical production systems in general, and in which the parcel approach is limiting.

LITERATURA CITADA

Arias J., Espinosa J., Rico H., Miranda M., y Chávez, X. 2004. La cenicilla (Oidium mangiferae Berthet) del mango en Michoacán. INIFAP, CIRPAC. Campo Experimental Valle de Apatzingán. Folleto Técnico Núm. 1. Apatzingán, Michoacán, México. [ Links ]

Caubel, J., Launay, M., Brun, F., Huard, F. and Brisson, N. 2009. Utilisation D'un Modèle de Culture Couplé À un Modèle De Maladie Pour Quantifier Les Effets Indirects Du Changement Climatique Sur L'épidémie. 10e Conférence Internationale Sur Les Maladies Des Plantes tours 3, 4 et 5 décembre 2012. 434-737. [ Links ]

Castellanos E.J. 2013. Adaptación al Cambio Climático en los Grupos más Vulnerables en Centroamérica y Sudamérica. 5to Informe del IPCC. Seminario Internacional sobre Desplazamiento Ambiental, Derechos Humanos y Cambio Climático. Universidad de Caldas, Colombia. 6 de Noviembre. [ Links ]

CENICAFÉ. 2012. Programa de investigación científica. Guía técnica: Razas de roya; epidemias de 2008 a 2011. Colombia. Noviembre 2012:425. 8 p. [ Links ]

De Nadai, A. D., Goes, A., de Kuper, K.C., e Bellotte, J.A.M. 2002. Efeito do binômio temperatura e tempo de incubaçâo na germinação de Colletotrichum acutatum assoaciado a queda prematura dos frutos cítricos. Fitopatologia Brasileira 27:221. [ Links ]

Garret. K. A., Nita, M., De Wolf, E. D., Gomez, L., and Sparks, A. H. 2009. Plant pathogens as Indicators of Climate Change. Elsevier press. 425-437. [ Links ]

Garret, K. A., Dobson, A. D. M., Kroschel, J., Natarajan, B., Orlandini, S., Tonnang, H. E. Z. and Valdivia, C. 2013. The effects of climate variability and the color of weather time series on agricultural diseases and pests, and on decisions for their management. Agricultural and Forest Metereology. 170:216-227. [ Links ]

Góngora-Canúl, C. Pérez-Hernández, O. Pech-Cauich, O. Escamilla-Bencomo, J. Mora-Aguilera, G. 2004. Gradientes de Diseminación del Amarillamiento Letal en Cocotero (Cocos nucífera) en Yucatán, México. Revista Mexicana de Fitopatología. 22:370-376. [ Links ]

IPCC. 2012. Managing the Risks of Extreme Events and Disasters to Advance Climate Change Adaptation. A Special Report of Working Groups I and II of the Intergovernmental Panel on Climate Change [Field, C.B., V. Barros, T.F. Stocker, D. Qin, D.J. Dokken, K.L. Ebi, M.D. Mastrandrea, K.J. Mach, G.-K. Plattner, S.K. Allen, M. Tignor, and P.M. Midgley (eds.)]. Cambridge University Press, Cambridge, UK, and New York, NY, USA, 582 pp. [ Links ]

Margosian, M. L., Garret, K. A., Hutchinson, M. S. and With, K. A. 2009. Connectivity of the American Agricultural Landscape: Assesing the National Risk of Crop Pest and Disease Spread. BioScience. 59(2): 141-151. [ Links ]

Mora, A. Téliz, D. Mora, G. Sánchez, P. Mercardo, J. 2003. Proceso temporal de "escoba de bruja" (Fusarium oxysporum y F. subglutinans) en huertos de mango (Manguifera indica) CV. Haden en Michoacán, México. Revista Mexicana de Fitopatología . Ciudad Obregón, México. No. 23:1 - 12. [ Links ]

Mora, G. Flores, J. Domínguez, S. Gonzáles, R. Vallejo, M. Calderón, G. Orozco, E. 2012. Epidemiología de la roya del café Curso de Capacitación técnica de Roya del Cafeto en Chiapas: Plan de emergencia regional. 17 - 18 diciembre 2012. Tapachula, Chiapas, [ Links ]

Muiño, B. González, Y. 2009. Peronospora hyoscyami f. Sp. tabacina. Variabilidad de las poblaciones en Cuba (I). Revista Fitosanidad. Ciudad de la Habana, Cuba. No. 4:13. [ Links ]

National Oceanic and Atmospheric Administration - Climate Prediction Center. 2013. ENSO Cycle: Recent Evolution, Current Status and Predictions. University Research Court, Maryland, United States of America. [ Links ]

National Oceanic and Atmospheric Administration - Climate Prediction Center. 2013. ENSO Cold and warm episodes by season, Changes to the Oceanic Niño Index (ONI). University Research Court, Maryland, United States of America. [ Links ]

Organización de las Naciones Unidas (ONU). 2013. Revisado Junio, 2013. http://www.un.org/es/climatechange/. [ Links ]

Orozco, E. Figueroa, P. Pacheco, A. Calderón, G. 2011. El ojo de gallo: una enfermedad de época lluviosa que se previene en época seca. El Cafetal, la revista del caficultor (Colección 2011) No. 28:4 - 5. [ Links ]

Orozco, M. Robles, M. Vázquez, J. Manzo, G. Timmer, L. 2012. Biología y manejo integrado de antracnosis en cítricos. Instituto Nacional de Investigaciones Forestales, Agrícolas y Pecuarias. Campo Experimental Tecomán. Tecomán, Colima, México. In Simposium Internacional de Citricultura (07, 2012). Veracruz, México. s.p. [ Links ]

PROMECAFE. 2013. In Memoria: First International Coffee Rust Summit. Group 1 Guatemala, Guatemala. Abril 18-23. [ Links ]

Sánchez, G. Guzmán, S. Rodríguez, C. James, A. Orozco, M. 2005. Biología de Mycosphaerella fijiensis Morelet y su interacción con Musa spp. Revista Mexicana de Fitopatología . Ciudad Obregón, México. No. 23:87 - 96. [ Links ]

Servicio Meteorológico Nacional (SMN). 2013. Revisado Julio 2013. http://smn.cna.gob.mx/ . [ Links ]

SENASICA. 2013. Roya del cafeto (Hemileia vastatrix) Dirección General de Sanidad Vegetal - Sistema Nacional de Vigilancia Epidemiológica Fitosaniaria. México, D.F. Ficha Técnica No. 40. 22 p. http://senasica.gob.mx/?idioma=1&doc=19732. [ Links ]

SENASICA. 2013. Escoba de bruja en cacao (Moniliophthora perniciosa) Dirección General de Sanidad Vegetal - Sistema Nacional de Vigilancia Epidemiológica Fitosaniaria. México, D.F. Ficha Técnica. 24 p. http://senasica.gob.mx/?idioma=1&doc=19732. [ Links ]

SENASICA. 2013. Sarna de la naranja dulce (Elsinoë australis) Dirección General de Sanidad Vegetal - Sistema Nacional de Vigilancia Epidemiológica Fitosaniaria. México, D.F. Ficha Técnica. 16 p. http://senasica.gob.mx/?idioma=1&doc=19732. [ Links ]

SENASICA CNRF DGSV. 2012. Análisis de la condición epidemiológica de la roya del cafeto (Hemileia vastatrix) en el estado de Chiapas en el ciclo productivo del cafeto 2012. Informe Técnico. México, D.F. 32 p. [ Links ]

World Meteorological Organization. 2013. The global climate 2001 - 2010 A decade of climate extremes Summary Report.2012. Geneva 2, Switzerland. WMO - No. 1119. [ Links ]

Received: December 01, 2014; Accepted: January 28, 2016

*Corresponding author: Mora-Aguilera, G., email: morag@colpos.mx

Creative Commons License Este es un artículo publicado en acceso abierto bajo una licencia Creative Commons