Introducción
A menudo se ha asociado la volatilidad electoral con la inestabilidad de los sistemas de partidos y se ha argumentado que, cuando existen altos niveles de volatilidad, se afecta negativamente la capacidad de los votantes para identificar a los actores que conforman el sistema y de las élites para establecer compromisos creíbles e intertemporalmente consistentes (Roberts y Wibbels, 1999: 575). La volatilidad electoral, de hecho, constituye la principal medida para la institucionalización de los sistemas de partidos, tanto a nivel nacional como subnacional (Mainwaring y Scully, 1995; Mainwaring y Torcal, 2002; Mainwaring y Zoco, 2007; Torcal, 2015). Sin embargo, pese a esta caracterización, la volatilidad electoral también puede ser vista como un atributo deseable de los sistemas de partidos, en la medida en que expresa la consecuencia de los cambios en la decisión de voto de los electores y de las decisiones de entrada de las élites políticas. Así vista, la volatilidad electoral puede ser el resultado, al menos en parte, del mecanismo de rendición de cuentas de tipo electoral (accountability vertical) (O’Donnell, 1996), entre la ciudadanía y el gobierno, en la medida en que se espera que los ciudadanos puedan premiar o castigar al partido (o coalición) de gobierno, mediante el cambio en sus decisiones de voto y, por tanto, redundar en cierto nivel de volatilidad electoral. En consecuencia, la volatilidad electoral puede ser reflejo de dos fenómenos muy diferentes: por un lado, de la inestabilidad y de los problemas derivados de ella, que afectan negativamente a las democracias representativas (tal como la literatura ha destacado casi unánimemente); por otro lado, del adecuado funcionamiento del mecanismo de rendición de cuentas electoral entre la ciudadanía y el partido de gobierno (Torcal y Lago, 2015).
El sistema de partidos uruguayo es uno de los más estables de América Latina (Buquet y Piñeiro, 2014). Pese a esto, el sistema registra niveles de volatilidad moderados, que han implicado a lo largo del tiempo importantes cambios electorales. Desde 1971, el tradicional bipartidismo conformado por el Partido Colorado (PC) y el Partido Nacional (PN), ha dado paso a un formato de pluralismo moderado, a partir de la irrupción del Frente Amplio (FA) en el sistema. A nivel subnacional, el grado de volatilidad electoral también es moderado, aunque se han dado importantes variaciones a lo largo del tiempo y entre unidades subnacionales.
Habrá que ver, entonces, cómo se ha comportado la volatilidad electoral a nivel subnacional en Uruguay, y más importante, si son estos grados de volatilidad electoral un síntoma de los problemas enunciados en el párrafo anterior o, por el contrario, han estado relacionados con el proceso de rendición de cuentas (accountability) entre el electorado y el gobierno.
Este trabajo sostiene que la volatilidad electoral a nivel subnacional en Uruguay ha estado asociada principalmente con el mecanismo de rendición de cuentas vertical, y no es, por tanto, un síntoma de inestabilidad que pueda deberse a problemas de identificabilidad y débil institucionalización del sistema de partidos. En las últimas cuatro elecciones subnacionales la volatilidad ha estado relacionada fundamentalmente con la alternancia del partido de gobierno, lo cual permite desestimar el argumento según el cual la volatilidad electoral es per se un atributo indeseable de los sistemas de partidos y de los regímenes democráticos.
Para desarrollar este tema el presente artículo se divide en cuatro secciones. En la primera se presentan los principales enfoques d teóricos y metodológicos para el estudio de la volatilidad electoral y se introduce el argumento principal del trabajo. En la segunda sección se repasan los principales aspectos del sistema electoral subnacional en Uruguay y se presentan datos sobre volatilidad electoral en las 76 elecciones subnacionales que tuvieron lugar en los últimos cuatro ciclos electorales. La tercera sección ofrece el análisis empírico a partir de distintos modelos estadísticos, para esclarecer el vínculo entre volatilidad electoral y alternancia a nivel subnacional en Uruguay. Esta sección también presenta distintos escenarios mediante simulaciones de Monte Carlo, con el fin de determinar en qué medida escenarios con y sin alternancia dan lugar a distintos niveles de volatilidad y, en sentido inverso, cómo escenarios más o menos volátiles se relacionan con la probabilidad de alternancia. Por último, la cuarta sección resume los principales aportes de la investigación y destaca sus implicaciones para el estudio de la relación entre volatilidad y alternancia.
Volatilidad electoral, rendición de cuentas e identificabilidad
Existen varios estudios sobre volatilidad electoral en naciones de América Latina (Mainwaring y Scully, 1995; Roberts y Wibbels, 1999; Mainwaring y Torcal, 2002; Madrid, 2005; Mainwaring y Zoco, 2007). A nivel subnacional, en cambio, los estudios sobre las causas y las consecuencias de la volatilidad electoral son escasos, en general enfocados en países desarrollados e interesados principalmente en el efecto de las elecciones subnacionales sobre la volatilidad a nivel nacional, o volatility spillovers (Bechtel, 2012). Esta escasez es llamativa, pues -como ya señalamos- la volatilidad electoral puede ser un síntoma problemático de los sistemas de partidos, pero también puede ser el resultado de los cambios en las decisiones de voto de los ciudadanos, en línea con el modelo de partido responsable (APSA, 1950; Thomassen, 1994; Mair, 2009). Esto se debe a que el principal mecanismo que la ciudadanía tiene para mantener a los políticos responsables ante ella es el vínculo electoral (rendición de cuentas vertical), basado en el supuesto de que el objetivo de los políticos es acceder o mantenerse en el cargo (Pitkin, 1967; Manin, Przeworski y Stokes, 1999; Powell, 2004).
Por otra parte, más recientemente algunos estudios han abordado teórica y empíricamente la relación entre la alternancia de partidos en los cargos de gobierno y la volatilidad electoral (Matland y Studlar, 2004; Sikk, 2005; Gschwend, 2007; Shair-Rosenfield, 2008; Bechtel, 2012). Como ya hemos señalado, de acuerdo con ciertos enfoques, la competencia partidaria debe presentar cierta estabilidad para lograr resultados satisfactorios. La extensa literatura sobre institucionalización ha señalado que el principal atributo de sistemas de partidos institucionalizados es su estabilidad (Mainwaring y Scully, 1995; Mainwaring y Torcal, 2002; Mainwaring y Zocco, 2007; Torcal, 2015). Pese a que el concepto no se agota en ese atributo, la estabilidad permite que la oferta partidaria sea reconocida por los votantes (identificabilidad) y, por tanto, permite vínculos sustantivos entre partidos y electores (Torcal y Lago, 2015: 54). En consecuencia, la identificabilidad de los agentes que conforman el sistema requiere de ciertos niveles de estabilidad, tanto en la oferta de partidos y candidatos, como en las preferencias de los ciudadanos. Sin embargo, el exceso de estabilidad puede también ser un problema.1
Cuando los resultados electorales no sufren cambios a lo largo del tiempo un mecanismo esencial de la democracia representativa se ve afectado negativamente: la rendición de cuentas entre partidos y votantes. Como tal, es la pieza clave que permite sostener a la democracia representativa como un sistema en el cual el gobierno es responsable ante los ciudadanos por las decisiones que ha tomado. Sin este vínculo, la democracia representativa no lograría establecer una relación lógica entre las preferencias de la ciudadanía y la motivación privada de los políticos, como es la (re)elección en sus cargos (Manin, Przeworski y Stokes, 1999). Como señalan Torcal y Lago (2015), cuando no existe volatilidad en absoluto, el gobierno no es controlado. Los autores sostienen que “cuanto mayor sea la volatilidad, mayor será el control y mayor la competitividad del sistema” (Torcal y Lago, 2015: 55). Esta afirmación parece algo excesiva, pues, como señalamos antes, si la volatilidad es demasiado alta, el control ciudadano puede verse dificultado por la falta de identificabilidad. Es decir, niveles moderados de volatilidad pueden efectivamente asociarse con un mayor control, pero a niveles muy altos de volatilidad la relación se vuelve negativa, ya que la falta de identificabilidad impide a los ciudadanos controlar adecuadamente a los partidos.2
En suma, la identificabilidad es una precondición del control ciudadano y no es posible sancionar o premiar a los partidos cuando la volatilidad es alta y sostenida a lo largo del tiempo, pues esto impide al electorado identificar cabalmente la oferta partidaria. Lo que parece existir, entonces, es un tipo de balance entre identificabilidad y rendición de cuentas, en lo que a volatilidad electoral se refiere. Este trade-off o contraposición implica que, ante niveles muy altos de volatilidad, el sistema sufre de problemas de identificabilidad. En contraste, ante niveles muy bajos de volatilidad, existen problemas de rendición de cuentas, tal como sostienen Torcal y Lago (2015). Cuando identificabilidad y rendición de cuentas están en equilibrio, la volatilidad estará principalmente asociada con la alternancia de los partidos en el gobierno, como expresión última del mecanismo de rendición de cuentas.
En el plano subnacional, esta contraposición entre identificabilidad y rendición de cuentas puede ser aún más notoria en virtud de la cercanía espacial entre candidatos y votantes. Precisamente, a nivel subnacional es donde el vínculo entre gobierno y ciudadanía debería ser más próximo y en donde debería darse con mayor intensidad la conexión entre volatilidad electoral y rendición de cuentas. El problema pasa a ser, entonces, cómo medir apropiadamente tanto la volatilidad electoral (cuestión que abordamos en la siguiente sección) como el nivel de rendición de cuentas electoral. Esta última puede ser aproximada por la alternancia del partido en el gobierno, en la medida en que, si una porción relevante de la ciudadanía percibe como insatisfactoria la gestión del gobierno, es probable que se produzca alternancia. Desde luego, también es posible que se produzca alternancia con cambios mínimos en el electorado, especialmente en mercados electorales muy competitivos.3 Desde el punto de vista del funcionamiento democrático, podemos establecer la siguiente relación entre alternancia y volatilidad: cuando existe alta volatilidad y no se produce alternancia, el resultado es negativo para el funcionamiento de la democracia, debido a que la volatilidad no está expresando sanción al partido de gobierno, sino principalmente fluidez en la oferta o cambio en las preferencias que no logran desplazar al partido en el gobierno. Cuando, en cambio, se da la alternancia, es posible que el nivel de volatilidad exprese el funcionamiento del mecanismo de rendición de cuentas y, por tanto, redunde positivamente en el funcionamiento de la democracia. Por tal motivo, es importante definir tanto teórica como empíricamente en cuál de los escenarios se encuentra un sistema de partidos en una determinada elección.
Así, este artículo aborda dicha cuestión mediante un estudio de las últimas cuatro elecciones departamentales en Uruguay. La selección del caso obedece a dos motivos centrales. En primer lugar y en línea con lo señalado antes, la volatilidad promedio en Uruguay (tanto a nivel nacional como subnacional) se encuentra en niveles moderados. Sin embargo, esa moderación media presenta variación sincrónica y diacrónica, esto es, a lo largo de las cuatro elecciones consideradas se presentan variaciones significativas en los niveles de volatilidad y dentro de una misma elección existen diferencias entre cada uno de los 19 departamentos del país (gráfico 1).

Fuente: elaboración propia con base en datos de la Corte Electoral de Uruguay (s/f).
Gráfico 1. Volatilidad electoral a nivel subnacional en Uruguay, por elección (2000-2015)
Esto significa que los votantes uruguayos identifican claramente cuáles son los partidos que compiten en las elecciones y qué pueden esperar de ellos desde el punto de vista programático o ideológico.4 Del mismo modo, la alternancia también ha tenido un comportamiento moderado, aunque con una interesante variación sincrónica y diacrónica. En general, se han verificado bajos niveles de alternancia en tres de las cuatro elecciones consideradas, pero en la elección de 2005 se verificó un nivel relativamente alto de alternancia en el partido de gobierno. También en este caso existe variación temporal y entre departamentos. En segundo lugar, la identificabilidad no parece presentar problemas en el sistema político uruguayo. Desde el punto de vista empírico, en Uruguay existe una oferta de partidos marcadamente estable a nivel nacional y subnacional, y la misma se encuentra casi totalmente nacionalizada. Esto nos permite concentrarnos en la volatilidad como variaciones en la demanda, pues la oferta se encuentra estabilizada y nacionalizada. De hecho, restringir el análisis empírico a las elecciones subnacionales en Uruguay nos permite dejar relativamente “fija” la oferta, lo cual asegura que la volatilidad registrada sea producto de cambios en la demanda. Esto no es posible cuando se analizan mercados electorales en los que la oferta es fluida, ya que se dificulta hacer el cálculo de la volatilidad. Como veremos a continuación, el índice de Pedersen no distingue entre la volatilidad causada por cambios en la oferta (debido a la aparición de nuevos partidos, la extinción, las fusiones y las separaciones) (Sikk, 2005; Tavits, 2008), de aquella causada por cambios en la demanda (debido a modificaciones en las decisiones de voto, y en menor medida, por la entrada de nuevos votantes y la salida de otros). Pese a esto y tratándose de un caso en el cual la oferta se encuentra relativamente “fija” el índice de Pedersen se constituye como una medida adecuada de volatilidad electoral para los propósitos del presente estudio.
Medición de la volatilidad: principales indicadores y sus variantes
La volatilidad electoral señala el cambio electoral neto entre dos elecciones sucesivas que se deben a transferencias individuales del voto (Pedersen, 1979, 1983; Bartolini y Mair, 1990; Ocaña y Oñate, 1999). El indicador más usual para medir este fenómeno es conocido como índice de Pedersen (1979) y se calcula del siguiente modo:
en donde V es la volatilidad total y
Pese a sus virtudes para estimar la variación entre elecciones, el índice de Pedersen no dice nada acerca de los cambios en las preferencias de voto a nivel individual, pues podría darse el caso de un valor 0 del índice en el que todos los electores hubieran modificado sus preferencias. El caso más extremo de esto es cuando todos los electores cambian en forma cruzada, de tal manera que se compensan mutuamente y el efecto neto de dichos cambios es cero. Esto se debe a que el índice de Pedersen toma como universo al electorado como una unidad, y no a los individuos. Por lo tanto, el valor del índice no puede ser una medida de la estabilidad de las preferencias de los votantes tomados individualmente. Antes bien, el índice es una medida sistémica de las variaciones en la proporción de votos que los distintos partidos reciben elección tras elección. Desde el punto de vista teórico, el índice de Pedersen fue creado con el propósito de poner a prueba las hipótesis de congelamiento de los sistemas de partidos de Europa occidental, tal como se desprendía de los estudios de Lipset y Rokkan (1967). En ese sentido, el índice está pensado para sistemas de partidos relativamente estables, no tanto en las preferencias electorales de los ciudadanos, sino en la oferta de etiquetas partidarias constantes a lo largo del tiempo.5
La fluidez de la oferta partidaria introduce una dificultad adicional en el cálculo del índice de Pedersen, pues no es sencillo encontrar una regla para imputar a un partido nuevo la historia electoral de sus integrantes. La entrada de nuevos partidos a la competencia electoral también supone un problema para el cálculo de la volatilidad electoral, dado que la sola entrada de un nuevo partido implica necesariamente algún nivel de volatilidad (Lago y Martínez, 2011). Estos inconvenientes, que surgen cuando es necesario hacer el cálculo del índice de Pedersen, son abordados por Bartolini y Mair (1990) y por Ocaña (2007), entre otros. Por estos motivos, existen variaciones del índice que pretenden medir la volatilidad causada por la entrada de etiquetas partidarias nuevas y distinguirla de aquella volatilidad que se produce entre las etiquetas ya existentes. Al respecto, existen variaciones interesantes del índice de Pedersen que abordan este problema (Mainwaring, Gervasioni y España-Nájera, 2010; Powell y Tucker 2014). La variante desarrollada por Powell y Tucker permite distinguir analíticamente la volatilidad que es producto de la entrada de nuevos partidos y la salida de partidos ya existentes (los autores la llaman Tipo A), de aquella volatilidad que es producto de la variación electoral entre partidos estables (Tipo B). Dado que la noción misma de sistema de partidos supone un patrón estable de interacciones entre partidos políticos (Sartori, 1976; Mainwaring y Zoco, 2007), la constante aparición y desaparición de etiquetas partidarias imposibilita la consolidación del sistema de partidos, y se corresponde con una caracterización que, según Sartori, podría ser de sistema de partidos no estructurado.
Hechos estos comentarios, cabe reiterar que debido a la relativa estabilidad que presentan las etiquetas partidarias en Uruguay, el índice de Pedersen básico es un buen indicador de la volatilidad sistémica. De hecho, dado que el argumento desarrollado tiene especial interés en el cambio de las preferencias entre los votantes que podría dar lugar a la activación del mecanismo de rendición de cuentas, el índice nos permite capturar los cambios en la demanda cuando existe una oferta estable de partidos políticos, que es precisamente la situación que presenta la competencia subnacional en Uruguay. Los índices alternativos como el desarrollado por Powell y Tucker (2014) tienen una gran utilidad en contextos de oferta fluida, pero en escenarios de oferta constante y nacionalizada, como el uruguayo, el índice de Pedersen permite medir adecuadamente el cambio electoral originado en la demanda. En la siguiente sección se presenta la volatilidad electoral en las cuatro elecciones departamentales consideradas en el estudio (2000, 2005, 2010 y 2015) y un breve análisis de los mismos, en particular las consecuencias que sobre la competencia electoral pueden tener dichos valores.
Volatilidad electoral y alternancia política a nivel subnacional en Uruguay
Principales rasgos del sistema electoral subnacional en Uruguay
De acuerdo con su organización política, Uruguay es un país unitario, a lo cual debe agregarse otra característica: una excesiva centralización política y administrativa en su capital, Montevideo. Con estos rasgos generales, el territorio se encuentra dividido en diecinueve departamentos, que funcionan como subsistemas políticos, en la medida en que seleccionan y controlan a sus respectivos gobernantes, tanto en el Poder Ejecutivo como en el Legislativo. Recientemente, producto de la ley de “Descentralización Política y Participación Ciudadana” (N°. 18.567), Uruguay incorporó un tercer nivel de gobierno (los “municipios”), el cual no se está aún muy desarrollado, y ha dado lugar a dos instancias electorales en las que ha predominado la desinformación y la escasa participación ciudadana (Magri y Freigedo, 2010).
Desde el punto de vista político, cada uno de los diecinueve departamentos cuenta con un Poder Ejecutivo, que es ejercido por el Intendente, electo por mayoría relativa, mediante el sistema de doble voto simultáneo (DVS), que ha caracterizado a Uruguay desde el período de instauración de la poliarquía, a comienzos del siglo XX. El Poder Legislativo es ejercido por la Junta Departamental, integrada por un sistema de mayoría automática que le asigna la mayoría al partido del Intendente y reparte el resto por representación proporcional entre el resto de los partidos (Moraes, 1997). El sistema de DVS (que fue eliminado para el cargo de Presidente de la República en ocasión de la reforma constitucional de 1996) favorece la competencia inter e intrapartidaria, al permitir múltiples candidaturas por partido, de modo que las distintas candidaturas acumulan sus votos dentro de un mismo partido, resultando electo el candidato más votado del partido más votado. Existen varios estudios que indagan en las dinámicas de la competencia electoral subnacional en Uruguay. Sin embargo, estos trabajos no se enfocan en la volatilidad electoral, sino que analizan otros aspectos relevantes, como la integración del Legislativo, la reelección de los Intendentes, o el carácter “local” de las elecciones departamentales, entre otras cuestiones (Moraes, 1997; Cardarello, 2005, 2011; López, 2007).
Hasta la reforma constitucional de 1996, las elecciones departamentales tenían lugar simultáneamente con las elecciones nacionales (cada cinco años), lo cual incentivaba el voto conjunto para ambos niveles en la elección del Poder Ejecutivo nacional y departamental. Sin embargo, la reforma separó temporalmente las elecciones nacionales de las departamentales, permitiendo entonces que el electorado pueda optar por distintos partidos en ambos niveles, y jerarquizando los temas estrictamente locales en la campaña departamental. Asimismo, esta reforma estableció un límite para la multiplicidad de candidaturas que puede presentar cada partido, atenuando el efecto a la fraccionalización de la regla de DVS, al permitir sólo tres candidaturas por partido. Este conjunto de reformas rediseñó buena parte de los incentivos institucionales que presenta la competencia electoral a nivel subnacional en Uruguay. Desde la entrada en vigor de la reforma, han tenido lugar cuatro procesos electorales, que son los considerados en este estudio.
Volatilidad electoral en elecciones subnacionales en Uruguay 2000-2015
En las cuatro elecciones departamentales que tuvieron lugar con posterioridad a la reforma constitucional del año 1996, se verificaron niveles de volatilidad electoral muy variados entre los diecinueve departamentos que componen el país.
En el gráfico 1 antes presentado se observan los niveles de volatilidad en cada una de las cuatro elecciones contempladas en el estudio. Como puede apreciarse, en promedio la elección con mayor nivel de volatilidad general fue la de 2005 (22.69), considerablemente mayor que la de 2000 (11.29) y que las de 2010 y 2015, que presentaron un nivel de volatilidad casi idéntico (8.57 y 8.80, respectivamente). Asimismo, tanto la elección de 2000 como la de 2005 son las que mayor variación presentan entre los departamentos, mientras que la volatilidad registrada en las elecciones de 2010 y 2015 están más concentradas sobre el valor promedio.
Por otra parte, además de la variación en los niveles de volatilidad electoral, resulta importante conocer los niveles de alternancia en cada elección. La alternancia se produce cuando el partido en el gobierno pierde la elección y el Poder Ejecutivo departamental es ocupado por un partido distinto al saliente. Como se observa en el cuadro 1, en la elección del año 2005 se produjo alternancia en nueve departamentos (Artigas, Canelones, Florida, Maldonado, Paysandú, Río Negro, Rocha, Salto, Treinta y Tres), siete de los cuales pasaron de manos de los partidos tradicionales (PC y PN) al FA. Mientras, en la elección del año 2000 sólo hubo alternancia en dos departamentos (Florida y Rocha), que pasaron del PC al PN, y en las elecciones de 2010 y 2015 se produjo alternancia en cinco departamentos en cada elección. Esto constata la idea de que, en general, los procesos electorales con mayor nivel de volatilidad deberían estar asociados a un mayor nivel de alternancia, aunque esta relación -como veremos en detalle más adelante- dista de ser automática. De hecho, este trabajo sostiene que los niveles de volatilidad están linealmente relacionados con la alternancia (como resultado de la rendición de cuentas), pero esta relación es condicional al nivel de volatilidad y se encuentra mediada por factores como la competitividad del mercado electoral.
Cuadro 1. Alternancia y Volatilidad Electoral a nivel subnacional, por elección
| Elección | Cantidad de alternancias | Volatilidad (promedio) |
|---|---|---|
| 2000 | 2 | 11.29 |
| 2005 | 9 | 22.69 |
| 2010 | 5 | 8.57 |
| 2015 | 5 | 8.8 |
| TOTAL | 21 | 12.84 |
Fuente: elaboración propia.
Empíricamente, la elección de 2005 presentó una volatilidad promedio de 22.69 y se produjeron nueve cambios de partido en el gobierno departamental, mientras que con una volatilidad promedio de 9 puntos en las elecciones de 2010 y 2015, se produjeron cinco cambios de partido en el gobierno, en cada una. Esta comparación abona la idea de que, a más volatilidad debemos esperar en promedio más alternancia.
A su vez, en el gráfico 2 se puede visualizar esta relación. La alternancia es una variable discreta que asume el valor 1 cuando hay cambio en el partido de gobierno y 0 en caso contrario. Mientras, la volatilidad es una variable continua, medida por el índice de Pedersen. En este gráfico se observa que hay más casos de no alternancia (55 contra 21). Sustantivamente, la distribución de los puntos en el gráfico refleja que la relación entre estas dos variables no es automática. Por el contrario, si bien existen casos de alternancia con alta y baja volatilidad, la concentración de puntos en el cuadrante inferior izquierdo del gráfico 2 muestra que es claro que con baja volatilidad la alternancia es muy poco probable.

Nota: se incorporó un pequeño error aleatorio con la función jitter de R para que los puntos no se solaparan completamente y se pueda observar mejor la dispersión.
Fuente: elaboración propia.
Gráfico 2. Relación entre volatilidad y alternancia a nivel subnacional en Uruguay (2000-2015)
Ahora bien, si observamos la relación entre alternancia y volatilidad por departamento, en vez de observar medidas agregadas por elección, veremos que sucede lo mismo de manera aún más marcada. En el gráfico 3 se presentan ordenados los departamentos por nivel de volatilidad para cada elección. La línea punteada es la media de los datos por elección. Este gráfico permite visualizar la evolución de la volatilidad de cada departamento a lo largo de las cuatro elecciones consideradas en este estudio.

Fuente: elaboración propia con base en datos de la Corte Electoral de Uruguay (s/f).
Gráfico 3. Volatilidad electoral por Departamento y por elección (2000-2015)
En suma, la relación teórica que se presentó en la primera sección entre volatilidad y alternancia tiene un correlato empírico con los datos de las cuatro últimas elecciones subnacionales en Uruguay. En la próxima sección se presentan un conjunto de modelos estadísticos para testear el tipo y la fuerza del vínculo entre estas dos variables.
Una estimación empírica del vínculo entre volatilidad electoral y alternancia política a nivel subnacional
Esta sección presentará evidencia empírica que permite relacionar la volatilidad electoral en elecciones subnacionales con la alternancia política en los diecinueve departamentos de Uruguay. En contra de la hipótesis que señala a la volatilidad electoral como un problema para el funcionamiento de las democracias, en este trabajo sostenemos que en Uruguay la volatilidad electoral ha estado asociada, en el ámbito subnacional, al mecanismo de rendición de cuentas mediante el cual los electores premian o castigan al partido en el gobierno. Por ello, el cambio electoral neto (que es lo que mide finalmente el índice de volatilidad electoral) ha ido acompañado, en promedio, de alternancia política.
El cuadro 2 presenta los estadísticos descriptivos de las variables utilizadas en los distintos modelos estimados. La volatilidad electoral, medida por el índice de Pedersen, tiene una considerable variación a través de las 76 elecciones consideradas en este estudio. A su vez, la alternancia está medida como una variable dummy que vale 0 en caso de que el partido a cargo del gobierno departamental resulte reelecto, y 1 si ocurre un cambio en el partido de gobierno. Como se observa, la media de la variable es de 0.28, lo cual muestra que aproximadamente en una de cada tres elecciones se produce alternancia.
Cuadro 2. Estadísticos descriptivos de las variables utilizadas
| Min. | 1er. Qu. | Mediana | Media | 3er. Qu. | Max. | |
|---|---|---|---|---|---|---|
| Volatilidad | 0.40 | 4.73 | 11.30 | 12.8 | 17.02 | 38.95 |
| Alternancia | 0 | 0 | 0 | 0.28 | 1 | 1 |
| Competitividad | 0.30 | 0.70 | 0.79 | 0.79 | 0.95 | 0.99 |
| Reelección | 0 | 0 | 1 | 0.56 | 1 | 1 |
| Numero efectivo de partidos | 1.49 | 2.20 | 2.46 | 2.45 | 2.72 | 3.53 |
| Coordinación (SF Ratio, Cox) | 0.13 | 0.46 | 0.62 | 0.64 | 0.87 | 0.99 |
| Alineamiento | 0 | 0 | 0 | 0.32 | 1 | 1 |
Fuente: elaboración propia.
Por otra parte, como ya fue señalado, la competitividad de una elección puede afectar la relación entre volatilidad electoral y alternancia. Para ello se incorpora la variable “Competitividad”, que refleja distancia entre el primer y el segundo partido en cada elección. A menor distancia entre primer y segundo partido, el mercado electoral es más competitivo.
Por otra parte, la presencia de intendentes que compiten por la reelección podría tener un efecto estabilizador, en la medida en que un intendente en funciones (incumbent) podría reducir los niveles de volatilidad. Para controlar este efecto incorporamos la variable “Reelección”, que vale 1 en caso de que un intendente en ejercicio compita efectivamente por su reelección, y 0 en caso contrario.
La relación entre fragmentación y volatilidad también ha sido abordada en numerosos estudios (Roberts y Wibbels, 1999: 579). Se espera que una mayor fragmentación esté asociada con mayores niveles de volatilidad electoral, en la medida que el mercado electoral presenta más opciones para los votantes. Para testear esta relación se incorpora la variable “Número efectivo de partidos” (Laakso y Taagepera, 1979), que mide el nivel de fragmentación efectiva a nivel departamental.
Por otra parte, la presencia de fallos de coordinación puede afectar los niveles de volatilidad, en la medida en que una oferta descoordinada obstaculizaría la capacidad de los votantes para actuar estratégicamente (Cox, 1997), por lo cual habría mayor inestabilidad en el sistema. Por ejemplo, si dos partidos de similar orientación ideológica presentan una oferta descoordinada, es probable que los votantes se enfrenten a un dilema de acción colectiva para decidir a cuál de los candidatos (con preferencias ideológicas semejantes) apoyar con su voto. Esto puede redundar en cambios en las decisiones de voto, que afectarán el nivel agregado de volatilidad electoral. Para controlar este efecto se incorpora al análisis empírico una variable que mide el nivel de coordinación en función del cociente entre el segundo y el tercer partido más votado (el second/first ratio) (Cox, 1997). El cociente varía teóricamente entre 0, cuando la coordinación es perfecta, y 1 cuando existe un fallo de coordinación, dado que la votación del tercer partido sería similar a la del segundo, lo cual -de acuerdo con la regla de mayoría simple- indicaría una violación del límite superior de M+1 candidaturas viables en equilibrio (donde M es el tamaño de la circunscripción).
Finalmente, algunos estudios afirman que cuando el partido de gobierno departamental coincide con el partido de gobierno a nivel nacional se produce un efecto estabilizador, pues el efecto del alineamiento hace esperar que el stock electoral del partido a cargo del gobierno nacional se transfiera más o menos automáticamente a su análogo subnacional, estabilizando el mercado electoral de nivel inferior (Bechtel, 2012). Incorporamos entonces una variable binaria que mide el alineamiento entre el partido de gobierno subnacional con el nacional, en cuyo caso la variable toma el valor 1 (caso contrario asume el valor 0).
A partir de los datos presentados se estiman distintos modelos que ponen a prueba la relación entre volatilidad electoral y alternancia política, junto a los controles referidos, para las 76 elecciones que tuvieron lugar en los 19 departamentos de Uruguay, entre 2000 y 2015 (cuatro instancias electorales).
El cuadro 3 presenta los resultados de los distintos modelos estimados, que persiguen conjuntamente dos objetivos. Por un lado, el objetivo general de las distintas pruebas de hipótesis es encontrar los determinantes de la volatilidad electoral. En segundo lugar y más específicamente, los modelos pretenden validar el carácter de la asociación entre volatilidad electoral y alternancia en los ejecutivos subnacionales. De acuerdo con la hipótesis principal de este trabajo, esperamos que la volatilidad esté positivamente asociada con la alternancia (en la medida en que sostenemos que el cambio electoral ha sido generado por el mecanismo de rendición de cuentas), antes que con síntomas de inestabilidad, falta de identificabilidad y débil institucionalización en el sistema de partidos.
Cuadro 3. Determinantes de la volatilidad electoral en elecciones subnacionales en Uruguay 2000-2015
| Variable dependiente/ Volatilidad | Modelo I | Modelo II | Modelo III |
|---|---|---|---|
| Alternancia | 7.33** | 7.27** | 7.42** |
| (2.60) | (2.63) | (2.78) | |
| Competitividad | -20.75 * | -19.49 * | -21.65 |
| (9.56) | (9.60) | (13.64) | |
| Reelección | -0.32 | 0.06 | -0.29 |
| (1.79) | (1.81) | (1.82) | |
| Nro. Efvo. Partidos | 2.21 | 1.16 | 2.59 |
| (3.85) | (4.03) | (5.62) | |
| Volatilidad lag. 1t | -0.17 | ||
| (0.12) | |||
| Alineamiento | 0.89 | ||
| (2.10) | |||
| Coordinación (ratio Cox) | -0.61 | ||
| (6.57) | |||
| Elección 2005 | 9.21*** | 9.24*** | 9.12** |
| (2.64) | (2.68) | (2.83) | |
| Elección 2010 | -3.71 | -1.22 | -3.89 |
| (2.57) | (3.12) | (3.24) | |
| Elección 2015 | -3.79 | -3.90 | -3.98 |
| (2.47) | (2.47) | (3.23) | |
| Constante | 21.49 | 24.22 | 21.57 |
| R 2 | 0.45 | 0.46 | 0.45 |
| R 2 ajustado | 0.39 | 0.39 | 0.38 |
| N | 76 | 76 | 76 |
| Prob > F | 0.0000 | 0.0000 | 0.0000 |
| AIC | 530.96 | 532.68 | 532.95 |
| BIC | 551.93 | 558.32 | 556.26 |
Nota: Errores estándar entre paréntesis. Significación: *p< 0.05; **p<0.01; ***p<0.001.
Fuente: elaboración propia.
Con este propósito, se estimaron tres modelos con distintas especificaciones y controles. En todos ellos, la variable dependiente es el nivel de volatilidad electoral y la principal variable independiente es la alternancia. En este punto es necesaria una aclaración, dado que es difícil determinar hasta qué punto la alternancia es una causa, antes que una consecuencia, del cambio electoral. Empíricamente, puede decirse que la alternancia es una consecuencia del cambio electoral, pues es el cambio neto en las decisiones de voto (esto es, la volatilidad) lo que puede dar como resultado la alternancia del partido en el gobierno. Sin embargo, desde el punto de vista teórico, el vínculo entre volatilidad y alternancia no es tan evidente. Como ya hemos señalado, puede existir cambio electoral (volatilidad) sin alternancia y, viceversa, puede ocurrir la alternancia con niveles extraordinariamente bajos de volatilidad. En consecuencia, no postulamos una relación de causalidad entre alternancia y volatilidad electoral. En cambio, lo que buscamos al estimar los distintos modelos es esclarecer si la volatilidad electoral ha estado significativamente asociada con la alternancia (en cuyo caso se verificaría nuestra hipótesis) o, por el contrario, la volatilidad electoral no ha estado significativamente asociada con la alternancia y, por tanto, es posible respaldar los argumentos que la vinculan con otros fenómenos, que la literatura considera “nocivos” para los regímenes democráticos (lo que nos llevaría a rechazar nuestra hipótesis).
Por otra parte, es necesario también problematizar la relación entre alternancia y rendición de cuentas. Nuestro argumento sostiene que la volatilidad en elecciones subnacionales en Uruguay ha estado asociada a la rendición de cuentas. Sin embargo, no es posible observar la rendición de cuentas sino a través de fenómenos relacionados y observables. Por ello, si bien la alternancia nos informa si el mecanismo de rendición de cuentas efectivamente ha estado activo, no es posible sostener lo contrario: la falta de alternancia no siempre implica que el mecanismo no esté activo, pues es posible que el electorado elija al mismo partido simplemente porque está conforme con el desempeño del gobierno. Sin embargo, así como la democracia es un régimen en el cual los partidos en el gobierno pierden elecciones (Przeworski, 1991), podemos afirmar que sólo cuando se produce alternancia (al menos en el largo plazo) se tiene la certeza de que existe rendición de cuentas. Dicho de otro modo, si hay rendición de cuentas necesariamente tiene que darse la alternancia, al menos en algún momento, pues de lo contrario los votantes serían perfectamente inelásticos a la gestión del partido en el gobierno.
Finalmente, los modelos reúnen la mayor información posible sobre variables de control, buscando distintas especificaciones que pongan a prueba la robustez de la asociación postulada entre volatilidad y alternancia.
En el Modelo I se presentan los resultados de los determinantes de la volatilidad electoral. Como puede observarse, la alternancia está positivamente asociada con la volatilidad electoral y esta asociación es estadísticamente significativa. En concreto, la existencia de alternancia está relacionada significativamente -en promedio y manteniendo constantes el resto de las variables- a 7.33 puntos más de volatilidad que si no existiera alternancia en el partido de gobierno departamental. El efecto es el esperado en la hipótesis de este trabajo: la volatilidad está positivamente asociada con la alternancia política, aun controlando esta relación por terceras variables influyentes. Por otra parte, la competitividad de la elección también tiene un efecto estadísticamente significativo sobre el nivel de volatilidad electoral. En este caso, las elecciones más competitivas (es decir, aquellas en las que el candidato más votado tiene menos ventaja respecto del segundo) están asociadas con un menor nivel de volatilidad, tal como señalaba la expectativa teórica. Por cada punto porcentual de distancia entre los dos candidatos más votados, la volatilidad aumenta 0.2 puntos, en promedio. Este modelo incorpora, además, variables binarias por periodo electoral, buscando controlar por el efecto de ciclo que cada una de las instancias electorales podría haber tenido sobre los resultados en materia de volatilidad. Como era de esperarse, en función de los datos presentados en la sección anterior, sólo el ciclo electoral de 2005 es significativo y es positivo.6 El resto de las variables incluidas en el Modelo I no alcanzan significación estadística.
El Modelo II incorpora al análisis anterior dos controles adicionales: la volatilidad pasada (en t-1) y el alineamiento del partido de gobierno a nivel nacional y subnacional. En este caso, la asociación entre volatilidad electoral y alternancia se mantiene incambiada, tanto en la magnitud como en la dirección y en su significación estadística. La variable de ciclo “Elección 2005” sigue presentando un efecto estadísticamente significativo. Mientras, ninguno de los controles adicionales alcanza significación estadística (“Alineamiento” y “Volatilidad en t-1”), permitiendo desestimar su efecto para los casos estudiados.
El Modelo III incorpora como control la existencia de fallos de coordinación. Como se observa, tampoco en este caso la variable tiene un efecto estadísticamente significativo. Al tiempo que la principal relación analizada, entre volatilidad y alternancia, se mantiene estable en relación con los modelos I y II.
Los tres modelos presentan un ajuste similar (R2) y la penalización de parámetros que realiza el R2 ajustado también es similar entre los modelos. Ante la presencia de estos tres modelos parecería que, por el principio de parsimonia, el I es el que mejor ajusta, dado que es el que tiene menor número de parámetros. Para confirmar esta idea se llevó a cabo una comparación de los modelos mediante el estadístico BIC (Bayesian Information Criterion) (Schwarz, 1978) que a diferencia del AIC (Akiake Information Criterion) no sólo tiene en cuenta el número de parámetros, sino también la cantidad de datos. Tanto el estadístico BIC como el AIC muestran que el Modelo I es el que logra optimizar la varianza explicada, en función de la cantidad de regresores. Es decir, dicho modelo es el que mejor compromiso sesgo-varianza presenta. Cuanto más predictores se incluyen en un modelo se obtendrán mejores predicciones (menor sesgo), pero al mismo tiempo la precisión sobre éstas disminuye, ya que la varianza aumenta con el número de regresores. Finalmente, cabe destacar que para los tres modelos fueron evaluados todos los supuestos de un modelo lineal y en ningún caso se presentan violaciones a los mismos.7
Resumiendo, los resultados de los distintos modelos respaldan la hipótesis de este trabajo, en la medida en que confirman la asociación positiva que existe entre la volatilidad electoral y la alternancia del partido de gobierno. Sin embargo, como veremos a continuación, esta relación, si bien es positiva, puede presentar distintos escenarios que la condicionan.
Simulando distintos escenarios
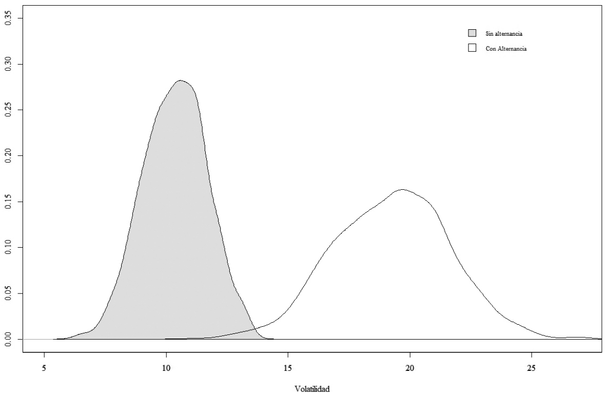
Una forma adicional de analizar la relación que existe entre volatilidad y alternancia es hacer uso de simulaciones de Monte Carlo para estimar cantidades de interés e ilustrar de este modo qué debemos esperar bajo distintos escenarios de interés teórico y plausibilidad empírica. Para ello esta sección presenta dos simulaciones con dos escenarios cada una. La primera presenta a la volatilidad como variable endógena y se observa cuáles son los niveles de volatilidad esperados, asociados a dos escenarios polares: uno con alternancia de partido en el gobierno, y otro escenario idéntico, pero sin alternancia. Como puede apreciarse en el cuadro 4, la simulación de ambos escenarios pone de manifiesto que existen diferencias significativas. Cuando no existe alternancia, la volatilidad promedio alcanza un valor de 10.36, mientras que en un escenario con alternancia, la volatilidad promedio es de 19.25. Esto es, la volatilidad promedio con alternancia es casi el doble que cuando no hay alternancia. Un aspecto que cabe destacar es que el promedio general de volatilidad para los datos observados es de 12.84; es decir, muy similar al límite superior del intervalo de confianza del escenario sin alternancia. A su vez, el gráfico 4 muestra las distribuciones de probabilidad de la volatilidad electoral en ambos escenarios. Los resultados de esta primera simulación contribuyen a reflejar que, en promedio, la volatilidad electoral en elecciones subnacionales en Uruguay es compatible con la continuidad del partido en el gobierno. Además, esto es consistente con la frecuencia de los datos: sólo en un tercio de las setenta y seis elecciones estudiadas se produjo alternancia.
Cuadro 4. Resultados de simulación de Monte Carlo (Variable dependiente: Volatilidad electoral)
| Escenario | Media | Desviación estándar | Intervalo de confianza: 95% | |
|---|---|---|---|---|
| Alternancia = 0 | 10.36 | 1.30 | 6.26 | 13.57 |
| Alternancia = 1 | 19.25 | 2.37 | 11.18 | 27.04 |
Nota: Todas las simulaciones se corrieron utilizando el paquete Zelig para R (Imai, King y Lau, 2008; Choirat et al., 2017). En el primer caso se corrió un modelo de regresión multivariado similar al Modelo I del cuadro 3, sin las variables dummy de ciclo. En el segundo caso, se estimó un modelo logit, con “Alternancia” como variable dependiente, y “Volatilidad”, “Número efectivo de partidos”, “Competitividad” y “Reelección” como variables independientes. Por último, ambas simulaciones se corrieron con semilla para hacer replicables los resultados.
Fuente: elaboración propia.

Fuente: elaboración propia
Gráfico 4. Valores esperados de volatilidad electoral bajo distintos escenarios de alternancia
La segunda simulación también establece dos escenarios, pero en este caso la variable dependiente es la alternancia. Lo que se busca al endogeneizar la alternancia es observar cómo se comporta la probabilidad de que ésta ocurra ante cambios en los niveles de volatilidad. Esto permite verificar la relación entre ambos fenómenos, independientemente de su relación causal. Como ya mencionamos, nuestra hipótesis no postula estrictamente una relación de causalidad, sino que busca establecer cuál es la asociación entre volatilidad electoral y alternancia, como una forma de desestimar el argumento según el cual la volatilidad debe ser vista como un problema para el funcionamiento de los regímenes democráticos. Como puede apreciarse en el cuadro 5, en un escenario de baja volatilidad, la probabilidad de que exista alternancia es de 0.02 en promedio. Mientras, en un escenario con alta volatilidad, dicha probabilidad asciende a 0.61 en promedio. Esto implica que cuando existe baja volatilidad es casi un hecho que el partido en el gobierno ganará la elección. Sin embargo, cuando la volatilidad es alta es más probable que exista alternancia (0.61 contra 0.39), pero debemos ser más cautos con la afirmación, pues la diferencia entre las probabilidades no permite ser concluyente. Esta relación aparece ilustrada más claramente en el gráfico 5, en el cual se observan los valores de probabilidad para los escenarios 2 y 4 presentados en el cuadro 5.
Cuadro 5. Resultados de simulación de Monte Carlo (Variable dependiente: Alternancia)
| Escenario | Probabilidad (media) |
|---|---|
| 1. Baja volatilidad sin alternancia | 0.98 |
| 2. Baja volatilidad con alternancia | 0.02 |
| 3. Alta volatilidad sin alternancia | 0.39 |
| 4. Alta volatilidad con alternancia | 0.61 |
Nota: En esta segunda simulación, el valor “bajo” de volatilidad y el “alto” corresponden a los valores mínimo y máximo empíricamente existentes entre nuestros datos. El resto de las variables se mantienen constantes en su media o moda, según el caso.
Fuente: elaboración propia.

Los resultados de las dos simulaciones presentadas nos permiten clarificar la relación propuesta entre volatilidad y alternancia. Independientemente de los resultados de los modelos lineales que se muestran en el apartado anterior, es bastante claro que nos encontramos frente a una relación que no es automática y que tiene dos escenarios diferentes. Cuando existe baja volatilidad, la probabilidad de alternancia es realmente baja (apenas 0.02 en promedio). Sin embargo, ¿por qué entonces la relación no es automática? ¿Por qué, como ilustra el gráfico 2, no existe una relación directa y unívoca entre volatilidad y alternancia?
Fuente: elaboración propia.
Gráfico 5. Probabilidad de alternancia bajo distintos escenarios
La respuesta debe buscarse en los escenarios expuestos en las simulaciones. Un mercado electoral con baja volatilidad está asociado con la continuidad del partido de gobierno con una probabilidad cercana a 1. En cambio, cuando la volatilidad es alta, el resultado en términos de alternancia es básicamente indeterminado, pues la probabilidad de que no exista alternancia es de casi 40%. El gráfico 6 ilustra este punto con claridad. Como se observa, el intervalo de confianza (95%) se hace cada vez mayor a medida que aumenta el nivel de volatilidad. En consecuencia, no es posible afirmar que la volatilidad y la alternancia estén asociadas del mismo modo para cualquier nivel de volatilidad. Si bien la dirección de la relación entre ambas variables es siempre lineal (a medida que crece la volatilidad aumenta la probabilidad de alternancia, y viceversa), la confianza en la estimación puntual de la probabilidad de dicha asociación es condicional al nivel de volatilidad.
Conclusiones
La volatilidad electoral expresa el cambio neto en las decisiones de los votantes, dada cierta estabilidad en la oferta de partidos y candidatos. Como tal, este indicador puede estar expresando distintos fenómenos. La mayor parte de la literatura ha vinculado la volatilidad electoral con aspectos negativos del funcionamiento de los regímenes democráticos, aunque no se ha preocupado mayormente por teorizar la incidencia de distintos niveles de volatilidad, sino que ha supuesto que cualquier nivel de volatilidad es nocivo. Pese a esta caracterización ampliamente aceptada, recientemente se ha relacionado a la volatilidad con rasgos no necesariamente desviados del ideal democrático. Por el contrario, la volatilidad puede expresar el adecuado funcionamiento del mecanismo de rendición de cuentas entre la oferta y la demanda de un mercado electoral. El cambio electoral que se expresa en volatilidad puede explicarse por la sanción impuesta al partido de gobierno, a causa de una gestión que el electorado considera insatisfactoria.
Esto es precisamente lo que se encuentra en la base de la democracia electoral: los gobernantes están “atados” a la ciudadanía por la delgada línea de la responsabilidad electoral. La ausencia de volatilidad indicaría, como señalan Torcal y Lago (2015: 55), que la gestión de gobierno es trivial y no incide en las decisiones de voto de los ciudadanos. En otras palabras, cuando la oferta electoral es relativamente fija y estable, la volatilidad expresa la “elasticidad” del electorado ante cambios en su percepción sobre la gestión del partido de gobierno.
Este trabajo ha buscado esclarecer esta distinción presentando evidencia para el nivel subnacional en Uruguay. Argumentamos que, durante el periodo estudiado, la volatilidad electoral ha estado asociada principalmente con la rendición de cuentas y, por tanto, en gran medida vinculada con la alternancia en el partido de gobierno. Esto significa que los niveles de volatilidad electoral han sido compatibles con el funcionamiento del mecanismo de rendición de cuentas y no implican necesariamente desvíos derivados de la fluidez de la oferta, de una débil institucionalización partidaria, de la presencia de outsiders, etc. Hemos mostrado que la relación entre volatilidad electoral y alternancia es robusta, con distintas especificaciones.
Esta conclusión, si bien es preliminar en la medida en que necesita una mayor teorización y capacidad de generalización, es interesante al menos por tres razones.
En primer lugar, desde el punto de vista teórico, es posible que con la volatilidad electoral suceda algo similar a lo que ocurre con otros dos atributos centrales de los sistemas de partidos: la fragmentación y la polarización ideológica. La literatura ha tendido a sobreestimar los efectos nocivos de la fragmentación, la polarización ideológica y la volatilidad. Así como la fragmentación puede implicar la multiplicación artificial de puntos de veto en un sistema y hacer la oferta electoral muy fluida, también puede ser un medio para canalizar la representación y participación en sociedades muy heterogéneas y fragmentadas, por ejemplo bajo el modelo de “democracias consociativas” (Lijphart, 1969). Del mismo modo, la polarización ideológica puede ser nociva para el compromiso entre las élites políticas y entre éstas y la ciudadanía, pero también puede ser el fruto de diferentes programas de gobierno que se ponen a prueba ante la ciudadanía, generando de este modo alternativas diferenciables y significativas (Moraes, 2015). De forma análoga, la volatilidad electoral no siempre es una mala señal para los sistemas de partidos y los regímenes democráticos. Ciertos niveles de volatilidad podrían expresar un adecuado funcionamiento del mecanismo de rendición de cuentas. Determinar el umbral específico a partir del cual la volatilidad puede ser “nociva” es una materia pendiente, que requiere de mayor investigación, tanto teórica como empírica. Sin embargo, hemos mostrado que la volatilidad electoral es un resultado necesario de la “elasticidad” de los votantes cuya existencia es fundamental como parte del mecanismo de rendición de cuentas, propio de las democracias representativas.
En segundo lugar, desde el punto de vista del caso analizado, observamos que, si bien el sistema de partidos uruguayo se caracteriza por ser uno de los más sólidos y estables de América Latina, esto no ha inhibido el cambio electoral. Antes bien, lo ha canalizado y consolidado sin desequilibrar gravemente el sistema, lo cual prueba su fuerte institucionalización (Buquet, 2015). En paralelo a la estabilidad que muestra el sistema a nivel nacional, se han verificado importantes cambios en el nivel subnacional, en particular durante el ciclo electoral de 2005, en el cual la mitad de los departamentos experimentó alternancia en el partido de gobierno. En estos casos, el nivel de volatilidad no expresa una disfuncionalidad del sistema, sino todo lo contrario. Asociar automáticamente la volatilidad electoral (incluso en niveles altos, como en 2005) con un rasgo necesariamente negativo es un grave error. En el caso de las elecciones subnacionales en Uruguay, la volatilidad es un síntoma del adecuado funcionamiento del mecanismo de rendición de cuentas.
Finalmente, en línea con lo expresado por López (2007: 98), el ámbito subnacional es por demás adecuado para poner a prueba estas discusiones, en virtud de que presenta un menor grado de contaminación con cuestiones no estrictamente locales. A nivel nacional, el mecanismo de rendición de cuentas puede verse afectado por asuntos de valencia (valence issues) o por el empaquetamiento de posiciones programáticas difusas o inconsistentes. La desvinculación temporal entre las elecciones de nivel nacional y subnacional que tuvo lugar con la reforma constitucional del año 1996 permitió que las elecciones departamentales fueran efectivamente locales, reduciendo la contaminación entre los niveles. De este modo, el mecanismo de rendición de cuentas en el ámbito departamental se vio fuertemente estimulado por la reforma y es probable que ésta sea parte de la explicación del vínculo entre volatilidad electoral y alternancia que encontramos a nivel subnacional en Uruguay.










nueva página del texto (beta)



