JEL Classification:* F310, D700, D820, A120
Introduction
Recent turbulence in the financial markets, especially the financial, banking and exchange rate crises that hit East and South-East Asia, demonstrated the fragility of exchange agreements in a context of financial liberalization and globalization. The literature on currency crises, despite its exponential growth in the aftermath of these Asian episodes, has not yet attained a generally accepted explanation of these events,1 and none of the theoretical models developed to explain these crises has proved to be fully adequate for the Asian phenomena.
Two large groups of models have been developed in an attempt to encompass exchange rate crises, so-called First Generation Models (FGM) and Second Generation Models (SGM). For FGMs (Krugman, 1979), the cause of the attacks is the existence of inconsistencies between the economic policies put in place by the monetary authorities and the exchangerate commitments made; these inconsistencies are seen as taking the shape of a fundamental imbalance (normally an excessive public deficit covered by domestic credit growth). This would in the medium term bring about a natural collapse of the system. Such an imbalance is seen as being perceived by private agents (enjoying full rationality), which then, with a view to minimizing their capital losses, attack the exchange rate agreed, bringing the date of the collapse forward (that is, triggering a speculative collapse earlier than the inevitable natural collapse). A deterioration in macroeconomic fundamentals is thus both a necessary and a sufficient condition for an attack.
In contrast, canonical SGMs (Obstfeld, 1994) explain matters in terms of the existence of non-linear behaviors on the part of the agents involved (private agents and monetary authorities), from which major implications arise. These are: i) the trade-off between costs and profits that has to be faced by the monetary authorities when deciding to abandon or maintain a fixed exchange rate regime; ii) the development of strategic behaviors by agents; iii) the possibility of multiple equilibria existing in the currency markets; iv) the need for some deterioration in the fundamentals so that an economy falls into a grey area where it can be the object of speculative attacks (hence a deterioration in the fundamentals is a necessary, but not a sufficient, condition); v) the self-fulfilling character of the attacks, which after the event are validated by the outcome; and vi) the critical importance of agents’ expectations in explaining the survival or collapse of a fixed exchange rate agreement.
Finally, more heterodox Second Generation Models (Calvo and Mendoza, 2000) have contributed further relevant explanatory concepts; basically, the possibility that a deterioration in the fundamentals might not be either a necessary or a sufficient condition for triggering an attack, and the importance of both agents’ group behavior and of contagion between economies.
Although SGMs have shown somewhat greater explanatory capacity in relation to the Asian episodes, they present some problems that must be taken into account. Firstly, the fundamentals (mainly of a macroeconomic nature) considered important by them do not seem relevant in the Asian crises, while others of a financial nature are. That is the case, for instance, of the presence of over-borrowing and overinvestment, of a large volume of unhedged short-term external borrowing issued in foreign currency, of low returns on investments, and of a high M2/Reserves ratio.
Secondly, financial vulnerability may aid in understanding why an exchange rate agreement can enter an area of multiple equilibria, or grey area; in other words, why an economy may find itself in a situation of weakness when faced with a sudden change of expectations that triggers the speculative attack. However, what current models do not explain is how that change of expectations occurs; why agents’ expectations converge in such a radical way; that is, why in a period of a few days, or even of a few hours, agents who were channeling net flows towards an economy decide, with equal or greater intensity, to reverse that trend. To sum up, these models do not explain the process of passage from a multiple equilibrium situation (with one possibility, among others, being that of an attack) to an actual attack (to the triumph of that one possibility over others).2
This paper presents a possible theoretical alternative to Rational Choice Theory (RCT), a principal component of both FGM s and SGMs, in trying to provide an explanation for the behavior exhibited by economic agents during a currency crisis episode, namely the presence of information cascades. The rest of this paper is organized as follows: in section 2 RCT and its limits are examined; section 3 presents other possibilities of psychological patterns that may guide agents’ behavior; in section 4 herd behavior is briefly analyzed; section 5 introduces some considerations on Asian crises and a simple representation of an information cascade applied to the case of a currency crisis. Finally, section 6 offers a series of general conclusions and implications.
Rational choice theory and its limits
The convergence of expectations that characterizes currency crises can hardly be explained in the framework of the Rational Choice Theory defined by the Efficient Markets Hypothesis (EMH) and the Rational Expectations Hypothesis (REH). As is well known, the EMH establishes, on the basis of the work by Fama (1970), that an efficient market is one in which a big enough number of maximizing rational agents compete among themselves to predict the future price of assets and in which all the relevant information is freely available to all of them. This hypothesis is based on the capacity of the agents to collect all the relevant information and process it in a quick and rational fashion, creating expectations about the future evolution of the price of assets (for instance, the exchange rate). Therefore, two conditions must be met for a market to be efficient:
All the participants in the market have all the relevant information.3
Agents process the information rationally, i.e., they have rational expectations.
The second condition (the REH) implies, on one hand, that any new information has to be transmitted instantly to all the participants in the market and, on the other hand, that agents will all derive, from that relevant information, identical implications for the future. As a consequence, agents’ expectations in respect of the price of assets represent exclusively an anticipation of future prices, prices that cannot be persistently mistaken since, if they were, they would represent potentially profit-generating information which would be quickly exploited and incorporated according to the EMH.4
The REH has been widely criticized in the literature, especially when it is used as an assumption of agents’ behavior in the financial markets (the same can be said for the EMH).5 As far as this paper is concerned, when these hypotheses are used to explain the behavior of global currency markets and the presence of currency crises, a series of issues are raised for which no satisfactory explanation is offered:6
• On the one hand, the RCT implies that fundamentals must govern the existence of speculative attacks on a fixed exchange rate agreement. Indeed, in perfectly competitive markets peopled by perfectly (substantive) rational optimizing agents, such agents will concentrate on those factors most relevant to the maximization of their respective utility functions; efficiency, Pareto-optimal assignation and a unique and stable equilibrium will be reached once the agents have undertaken all the desired exchanges of currency. To the extent that macroeconomic fundamentals are the factors that allow the agents to maximize their utility functions, only a deterioration in them (current or future) will cause a modification of the equilibrium via a speculative attack.
However, the Asian crises have shown how economies may also be the object of speculative attacks without any deterioration in their macroeconomic fundamentals.
• On the other hand, if the agents act in accordance with the RCT and there are fundamental imbalances (even if these are financial rather than macroeconomic disequilibria), agents should attack a fixed exchange rate agreement at the very moment that such inconsistencies are detected.
Yet, the Asian experiences show how the imbalances blamed by private agents, international organizations and some of the literature for causing the attacks were already present in those economies months and even years before the crises, without having affected the net capital flows towards the economies involved. To put it in RCT terminology, at the moment when attacks started, no new information had appeared that, on being processed by the agents, could determine a necessary change in the expectations of the future viability of the fixed exchange-rate regimes. Yet the agents attacked the exchange-rate agreements in a combined and systematic way at a given moment t, not at t-1, nor at t+1, for no apparent reason.
• Finally, the RCT implies, as has been pointed out above, that agents’ expectations are mere predictions (although perfect) of what will happen in the future; agents anticipate the future, but they do not influence it.
However, as Harvey and Quinn (1997) pointed out, when focusing on the price of currency (i.e., the exchange rate), agents’ expectations of the future exchange rate determine the future exchange rate. In other words, the endogenous variable is not independent of agents’ expectations. Therefore, the fact that these expectations are (or indeed become) correct ex post is not a measure of their rationality ex ante, but a measure of their capacity to determine the future value of the variable (the exchange rate). In a system in which agents’ expectations do not predict but determine the future exchange rate the RCT cannot be applied.
Other alternatives
Mainstream economists have generally assumed that all individuals have a stable preference function and adopt decisions in order to maximize such an order of preferences with no restrictions other than those arising from their income, resource availability, and the like. This behavioral model has been commonly accepted with more or less enthusiasm in all spheres of Economics and certainly in the sphere of financial economics, since it was the only one compatible with the EMH. As has been already noted, according to the EMH, financial market prices incorporate all the relevant information in an efficient way and therefore, prices must be considered optimal estimates of the actual value of an investment at any given moment in time.
It has already been noted that the EMH is based on the most fundamental and general notion in Economics, that individuals behave rationally, trying to maximize their expected utility and are capable of processing all the available information. Despite the fact that evidence against this assumption has been available for a long time,7 only in the last twenty years of literature on finance and economics have apparent anomalies in respect to the EMH begun to be detected and systematically analyzed in the field of financial markets and, more generally, in respect to the agents’ rational economic behavior (based on the RCT). Such anomalies suggest that the assumptions of (substantive) rationality implicit in the RCT are not totally correct and that economists should use as a complement other models of human behavior studied by other scientific disciplines.
In this sense, it is necessary to acknowledge the debt of Economics to other social sciences, since the designs of theories of human behavior developed within the disciplines of Psychology, Sociology and Anthropology have notably aided economists in understanding certain behaviors detected in the economic terrain.
In two recent works, Rabin (1998) and Shiller (1998) revised some of the main psychological theories that may shed light on certain questions puzzling economists. Among them would be:8 Prospect Theory, Pain of Regret Theory, Cognitive Dissonance, Mental Compartments, processes of Overconfidence, Over-and Under-Reaction, Heuristic Representativeness, Disjunction Effect, Gambling Behavior, Magical and Quasi-Magical Thinking, Social and Cultural Contagion, the presence of Influence and Imitation, and so on.
These theories show that the idea of economic rationality must be, at the very least, taken with some caution and not as an axiom that requires no proof or demonstration. The behavior of economic agents can be determined or affected by patterns different from those supposed by the most orthodox economic vision. Agents may have to face imperfect information contexts or, more simply, may prefer to operate in those contexts. They may not use all the information available or they may believe they have more information than they actually have. They may be influenced by social or cultural customs or by the behavior of other members of the group. They may have difficulties in taking on board the fact that they have made mistakes, this controlling their behavioral patterns beyond what economic rationality would expect. Their incentive to act may be guided by superstitions, beliefs or magical thinking, and so on. 9
If we add to all the above other considerations fully accepted by the most orthodox economic thought such as agents’ tendency to act strategically or to give greater weight to private costs and profits than to social ones in their preference function, it must be concluded that there are more possibilities open for economic agents’ behavior than those usually assumed in Economics. That is to say that individuals’ behavior as economic agents can become infinitely versatile and complex, and that in getting to know it and analyzing it, the occurrence of other possibilities besides substantive economic rationality must be accepted. This is particularly the case in situations such as those witnessed in the global currency market, with a clearly oligopolistic structure in which individuals are forced to act very quickly, under great pressure, with difficulties in obtaining information, yet negotiating massive resources and in the midst of a constant threat (real or fictitious) of global economic and financial crises.
Moreover, if it is accepted that SGMs of currency crises have some relevance, it is necessary to determine how agents are capable of co-coordinating their actions to produce a successful speculative attack, tipping a multiple equilibrium towards the implosion of the agreement. As Obstfeld (1994, p. 49) pointed out: “if speculative currency crises are a manifestation of possible multiple equilibria, an obvious barrier to understanding them is the lack of any convincing account of how and when market expectations coordinate on a particular self-fulfilling set of expectations”.
Thus there emerges an option that best explains some of the events taking place when a currency crisis unfolds: herd behavior.
Group influence, imperfect information and imitation: herd behavior
Imitation of the actions of other members of the group and mutual influence are widespread behaviors in the animal kingdom. Such imitation translates into the result that, generally, a large number of individuals in a group act in a similar way, focusing their efforts and attention on a given objective, then (sometimes suddenly and without the intervention of any external shock) abandoning it and focusing instead on another objective, also in a collective manner.
Some human behaviors puzzle sociologists and psychologists. Why, for instance, is a given singer, writer or dress fashion followed by thousands of individuals? What is even more surprising, why, normally after not too long a period of time, do the same enthusiastic fans of that singer, writer or fashion abandon them and move over, feverishly and collectively, to a new singer, writer or dressing style? Why do some social habits (from drug consumption to methods of contraception, from the dominant model for cohabitation by couples to views on war) impose themselves on the majority of a society? Why are given social customs, condemned at a given period in time, commonly accepted some time afterwards and yet condemned again later on? Social (and economic) situations in which the decisions, opinions, tastes, and so forth of standard individuals are influenced and occasionally determined by what the individuals surrounding them (in a tribe, group or society) decide, opine or think are innumerable.10 Thus, in many spheres of life, individuals’ behavior is convergent, idiosyncratic, mimetic and fragile. This is the sort of behavior we call Herd Behavior (HB).
At this point it is appropriate to note that HB can be widely detected in financial markets.11 The well-known Keynesian analogy between financial markets and beauty contests is a clear starting point (Keynes, 1980, p. 156). The work by Kindleberger (1978) on episodes of financial panic and investors’ group behavior is a key reference for this section and the same can be said of Galbraith’s (1993) work.12 Similarly, there is a growing literature analyzing the existence of speculative bubbles in the financial markets. From all these works, three main conclusions about financial market behavior and the agents operating in them can be drawn, as Devenow and Welch (1996, p. 605) have pointed out: “first, many financial market phenomena display either waves and/or a certain fragility […], waves that are seemingly more amplified than possible waves in underlying fundamentals. […]. Second, […] independent decision making across all market participants is a fiction. Third, in conversations, many influential market participants continuously emphasize that their decisions are highly influenced by other market participants”.
Logically, the simplest explanation for HB is that individuals face similar problems of decision-making, with similar information, similar alternatives and similar expected returns. As a consequence they adopt converging decisions. There are, however, other possibilities. In trying to untangle the phenomenon three competing but still embryonic visions of HB have been developed: irrational, rational and near-rational herding models.13
The idea that, at least in some given circumstances or during certain periods of time, economic agents act blindly guided by other agents equally misinformed and puzzled, is a possibility that cannot be discarded a priori, especially taking into account some of the behaviors detected in currency markets in the recent episodes of currency crisis. However, economists feel more comfortable introducing the working hypothesis that apparently irrational behaviors, not based on the fundamentals of economics, hide, in reality, rational reactions in the face of uncertainty and imperfect information. Economists feel they stand on firmer ground when they are capable of glimpsing some rational explanation for apparently irrational behaviors. Hence, it should not come as a surprise that, in the economic literature, models of rational herds have enjoyed greater acceptance than their counterparts, even in respect of various behaviors detected in the financial markets.
An adequate account of the contributions from rational herding literature must mention three different explanatory lines of research, each one focusing on different causes of the phenomenon:14
• Models with payoff externalities. According to this explanation agents enter HB because the returns a given economic agent may obtain from a given action depend on the number of agents that adopt the same course of action (Diamond and Dybvig, 1983).
This situation can occur in exchange rate crises, since if an agent is to obtain speculative benefits from an attack on an exchange rate agreement, this attack must be successful, and for that it is necessary for a sufficiently large number of agents to decide to attack it as well.
• Models involving reputational concerns. Many of the agents operating in the financial markets, and indeed in the global currency market, manage other agents’ resources. They are, in fact, managers of others’ resources much more than investors of their own.
However, appreciation of the goodness or badness of a certain operation is, generally, a relative matter: investors cannot determine if their operators have managed their resources well, only if they have done it better or worse than other operators. In this way, financial operators’ future prospects depend to a great extent on their relative reputations.
Thus, when operators adopt decisions that ex post prove to be incorrect, they betray themselves as bad operators only if other operators did not adopt the same decision. On the contrary, if all the other operators took the same (ex post) incorrect action they can all argue that the decision was correct ex ante and that unpredictable circumstances at the moment the decision was taken have provoked a negative result a posteriori.15 The mistakes made by all agents together do not penalize the reputation of a single operator.
Thus, a relatively well-informed agent has an incentive to follow the behavior of counterparts, even to the extent of ignoring personally-held private information (Scharfstein and Stein, 1990).
• Models with information cascades. The presence of information cascades is the best accepted explanation for herding behavior in the economics literature, to the point that the two terms have come to be identified with each other.
This explanation, from which the work of Banerjee (1992), Bikhchandani, Hirshleifer and Welch (1992) and Welch (1992) drew its inspiration, is based on the existence of information externalities. The common framework of these models is that of a group of agents who choose sequentially the action to adopt from a given number of possible actions. Each agent receives private information (signals) on what should be the correct course of action, and also knows which decisions have been adopted by predecessors. However, agents are not aware of the information (the signals) that those predecessors received. Using their own signals (private information) and the actions of predecessor counterparts (public information), agents decide on the course of action to adopt. If the range of possible actions is relatively large in relation to the range of signals, agents may not be able to adopt an action that reflects both private and public information. In this case, these models indicate that the most rational action for agents is to ignore their own signals and adopt the same actions as their predecessors, thus entering herd behavior.
In the next section, an information cascade will be used as a model in an attempt to cast some light on a number of the more obscures aspects of the Asian crises of 1997-1999.
Asian crises and information cascades
The Asian crises were the biggest exchange rate problems that the world economy has had to face over recent decades. For the moment, economists have not reached consensus in explaining the origin of these events. Two main explanations coexist in respect of the possible causes of these episodes. One part of the literature (Corsetti et al., 1999), which may be called the fundamentalist view, sees the crises as the natural outcome of fundamental disequilibria and structural and political imbalances, among which should be highlighted the presence of a current account deficit, high levels of external indebtedness, a sharp hike in real interest rates, processes of over-borrowing, high ratios of debt relative to the volume of reserves, political instability, the presence of crony capitalism and so forth.
In contrast, another part of the literature (Palma, 1998; Radelet and Sachs, 1998a; Taylor, 1998; Wade and Veneroso, 1998), which may be termed the deregulationist view, considers the Asian crises as liquidity difficulties brought about by an inadequate process of financial deregulation. For this view, the crises happened as a consequence of the absence of regulatory and institutional structures capable of handling adequately the problem of excessively liberalized financial markets. To this was added on one side, the devising by national governments of economic policies that gave incentives to risky financial behaviors while simultaneously dismantling supervision and control mechanisms, and on the other, the presence of financial panic among private agents, leading to self-fulfilling crises, this being worsened by severe imperfections in the gathering and diffusion of information, by the preponderance of clearly speculative positions in the markets and by contagion from one economy to another.16
From the mass of studies generated by the Asian events some conclusions may be reached in respect of the causes and processes characterizing these episodes:
The economies attacked were certainly suffering from some fundamental imbalances, but these were not macroeconomic, but financial in nature: processes of over-borrowing and overinvestment, low or even negative returns on investment, large volumes of external indebtedness, which was short-term and in foreign currency, among others. However, these imbalances had been present for a long while before the beginning of the crises without preventing a massive inflow of foreign capital into the Asian economies.
Processes of national financial liberalization that were developed hurriedly in a non-sequential, indiscriminate and generally inadequate way, without the necessary measures for supervision and control being taken by the monetary authorities (what we called dysfunctional financial liberalization17), constitute the origin of the financial weaknesses exhibited by the economies in question and therefore are at the root of changes in agents’ expectations which, in the ultimate analysis, trigger currency crises.
These processes are intertwined in the more general process of financial globalization. Financial globalization does not take place in a context of completely competitive markets where an infinite number of homogeneous agents with perfect information, predictive ability and rationality exist. On the contrary, it is developing within oligopolistic markets, where relatively few agents with asymmetric and imperfect information have available highly specialized financial instruments, all sorts of technological advances and, in the absence of barriers and necessary controls, have a capacity to channel massive resources towards or away from any market in real time.
Within both processes (financial globalization in oligopolistic contexts and dysfunctional financial liberalization) mutual feedback sets off structural problems that are at the basis of the boom/bust cycle, generating vulnerabilities in national economies and worsening the imperfections characteristic of international financial markets (moral hazard, adverse selection and multiple equilibria).18
The boom/bust cycle mentioned above refers to a peculiar process observed in Asian economies.19 Liberalization of capital markets both at international and at national level, together with specific national economic policies (fixing of the exchange rate and high internal interest rates) brought about initial capital flows towards those economies that had carried out the process. This happened in an atmosphere of general euphoria with regard to the future of these economies, in which international lenders tried to make profits that would be rapid (thanks to the difference between national and international interest rates) and safe (as local governments took on the exchange rate risks). National banks and financial institutions could also win profits from the interest rate differential, as they could gain relatively easy access to resources in international capital markets and lend them on to national agents. Nevertheless, in a context of sparse supervision and control over local financial systems, the excess of liquidity caused part of these resources to be channeled into consumption or relatively unproductive or high-risk investments. However, as currencies were subject to some form of exchange-rate agreement, the real effective rates of exchange crept upwards, in so far as both costs and the prices of non-tradable goods increased. In consequence, the rate of growth in exports slowed or even went into reverse, with the result of a worsening of the current account balance. At some point a sudden change occurred in the expectations of agents, who passed from euphoria to panic in surprisingly short periods of time, setting off a rapid reversal of net capital flows and massive sales of the local currency. In this way there arose an exchange rate, banking and financial crisis.
If, as this paper avers, such an account is tenable,20 then there is a need for a theory that would permit an explanation of why agents move from euphoria to panic in this massive, rapid and synchronized way. It is here held that one of the possible explanations is that agents may have been caught up in an information cascade, that is, a specific variety of rational herd.
The idea of using a rational, not an irrational, herd to represent the Asian crises can be supported on several grounds: i) firstly, in the economies involved there were fundamental imbalances, even if these were financial and not macroeconomic in nature, which would to some extent “justify” the attacks; ii) this justification is not enough to consider the crises as purely rational responses, able to be represented by fundamentalist models, in the first place because the imbalances were already present while net inflows of capital to the economies concerned were under way, and in the second place, because the imbalances were not of sufficient size to justify so intense an attack; hence they go beyond the framework delimited by the RCT; iii) in exchange-rate crises in general, and specifically in Asia, there appears an element characteristic of a rational herd: an individual economic agent can obtain capital gains only through behaving identically to others (that is, if a sufficiently large number of further agents attack the commitment and it breaks down).
Obviously, this reasoning does not imply that there cannot be, alongside rational herd behaviors, other irrational herd behaviors with the two reinforcing each other. Indeed, intuition would suggest this is likely. In any case, and this is the essential point, it should be noted that the concept of rationality will here be used procedurally, not substantively. In other words, the rationality of a cascade of information derives from a form of interaction between agents that may be termed, following Johansen (1981), non-parametric and conscious.21
Analyzing and understanding the relationship existing between currency crises and herd behavior is undoubtedly complex. The apparently most accessible way consists of developing a very simple model that, though concentrating on a given type of herd behavior, can capture the key elements in those imitation processes. With that objective, a representation of an informational cascade (therefore, rational herding) applied to the case of a speculative attack, based on the general model of Bikhchandani et al. (1992, 1998) and Hirshleifer (1995) is offered here.
Let i be a sequence of agents such that i= 1, 2,..., n, .... Agents, being risk-neutral, operate in the exchange market with one currency (u). The sequence of agents is exogenous and known to all of them. The exchange rate of u is subject to a given government-controlled exchange rate. The evolution of economic fundamentals has taken the exchange agreement to a situation of multiple equilibria, such as that exemplified by the Second Generation Models of currency crises, therefore the system can evolve towards an attack or a non-attack equilibrium.
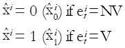
All agents obtain or receive a certain number of signals (private information) that allows them to form expectations (private) relating to future movements of the exchange rate. Thus, there exists an expectation, e t i for each agent, so that:
where s
t
is the exchange rate (in logarithms) in the period t,
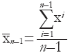
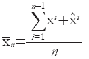
In order to adopt an action all agents have available signals of their own (private information) and know what action was taken by predecessor agents (public information) but do not know what signals the latter received. Moreover, agents have no certainty that their private information is correct and therefore their actions will not always coincide with those they would have been taken had they fully trusted the signal received. That is, there is a
Agents therefore move in a context of imperfect information: they know their predecessors’ actions in the sequence but do not know the signals they received, and they give importance to both the private information they possess and the actions of their predecessors. Note how, under these assumptions, paying attention to predecessors’ actions is not necessarily an irrational behavior: the agents are unsure whether their private information is correct, and rationally (with procedural and non-parametrical rationality) opt for trying to learn from other agents’ past actions. Before acting, all agents thus have a set of pieces of information on the actions undertaken by their predecessors in the sequence. It could be said that an agent knows
That is,
If we assume, for the sake of simplicity, that the probability of an agent forming an expectation of non-viability of the agreement is equal for all the agents, that is if
Given that each agent possesses a set of information (
or, equally,
the function that defines agents’ behavior can be defined thus:
Agent 1 possesses private information about the viability of the exchange rate system. This private information (signal) can lead to the conclusion think that the system is Non-Viable (with a probability ρ) or Viable (with a probability (1-ρ)). If this agent decides that it is Non-Viable, there is a probability of 1 of an attack on the exchange rate. That is,
On the contrary, receipt of a Viable signal, poses a dilemma for Agent 2, who has received a signal that the system is Viable while it is possible to deduce from the action taken that the predecessor agent received a Non-Viable signal. That is,
Agent 3, next in the sequence, will attack the agreement in the following cases:
When both predecessors have attacked it, independently of the signal received by Agent 3.
When one of the predecessors has attacked and Agent 3 receives the Non-Viable signal.
If Agent 3 is in (a), it may be seen as immersion in an information cascade, since the action that will be taken is independent of the private information at the agent’s disposal, and such information is not available to the following agents in the sequence. Indeed, if Agent 1 has received the NV signal, and attacks, and Agent 2 has received the NV signal, and also attacks, Agent 3 will attack irrespectively of having received the NV signal (three attack signals) or the V signal (two attack signals and one of no attack). Agent 3 decides to reject private information, i.e., independently of the signal received, acts in an identical way to the predecessors. Let us suppose that Agent 1 has attacked (having received NV) and Agent 2 received V but when solving the dilemma decided to attack. For Agent 3 it is not important whether Agent 2 faced any dilemma or received V; Agent 3 cannot know the private information Agent 2 received and, therefore, deduces that if Agent 2 attacked is because the signal was NV. The private information of Agent 2 gets lost and does not become public knowledge; only the action remains. The market is no longer a transmission belt for information but is rather a noise trader. Equally, the possible reception of viability signals by Agent 3 will be lost in the event of a decision to follow the herd and attack: for subsequent agents, if Agent 3 attacked it was because of receipt of the NV signal. This information cascade is what is shaded in the upper area of Figure 1.
The bottom half of Figure 1 exemplifies an information cascade in the case where Agent 1 receives a signal that the system is Viable. That is, the existence of a phenomenon of this sort does not necessarily lead to the conclusion that the system is going to be attacked, but to the conclusion that since agents decide to imitate the behavior of their predecessors, even deciding not to carry out the actions that their own private information advises, they generate a loss of information in the market. As is known, the indetermination to which the existence of multiple equilibria leads is tipped towards the attack equilibrium if agents develop co-operation strategies among themselves, i.e., if they decide to co-ordinate their attacks against the fixed exchange rate regime; also, the resulting equilibrium is self-fulfilling: the result validates ex post the action developed ex ante. What herd behavior models in general (and information cascades in particular) tell us is that such co-ordination can be generated in a non-premeditated way; agents do not need to negotiate to collude. On the contrary, under certain conditions -basically, those of imperfect information- (procedural, non-parametrical) rationality brings about that collusion spontaneously.
The intuition underlying the model is simple. Let it be taken that there is an economy with its exchange rate subject to some type of agreement and a set of agents with open positions in its currency. They form expectations concerning the future movements of the exchange rate and as a function of these expectations, decide either to attack the commitment (if they believe it is not viable for the future) or not to attack it (that is, to hold their positions in the national currency). Their expectations are formed as an outcome of the information at their disposal but, and this is the principal feature of an information cascade, this information is imperfect. Here the term imperfect should not be interpreted as necessarily incorrect. It is enough to see the word imperfect in a less restricted light: each individual agent cannot be certain that the information to hand is absolutely correct.22 In such a context, agents adopt a (procedural, non- parametric) rational form of behavior: they try to glean information from the actions of other agents in the market (public information) and weigh it up against their own information (private information). As a consequence, behavior which is rational on the part of each of the individual economic agents can yield an end result that is irrational, in other words not matching the underlying macroeconomic situation.
Specifically, if it is supposed that agents adopt a decision to attack or not to attack sequentially, the decision taken by the first agents in the sequence can have a decisive influence on the decisions of agents farther along in the sequence, even to the extreme of an agent forgoing an action that seems advisable on the basis of private information and adopting the stance indicated by public information, imitating the behavior of other agents and joining the herd.
As a consequence of this kind of behavior, the market ceases to be a mechanism for transmitting information, and changes into a mechanism that passes on noise. Thus, two effects arise from the presence of cascades of information:
Agents’ actions become homogeneous: all of them, in an apparently independent manner, adopt the same course of action.
Some private information is lost; i.e., it does not become public information.
The consequence is clear: the actions of a relatively small number of agents can be imitated by the majority of them, creating a conformity of action that will necessarily lead to the resolution of the characteristic indetermination of multiple equilibria. Note also that if the result is an equilibrium of attack and, therefore, the breaking of the fixed exchange rate agreement, it would be tempting for agents to explain it as a result of a coincidence in interpretation of unsustainability due to weaknesses in the fundamentals. What the information cascades and herd behavior here exemplified bring to the fore is that this is not necessarily the case. It would suffice for a small group of agents to consider the system unviable; the rest would imitate their behavior, and that in spite of private information signaling to them that the system is viable.23
It would appear that a model of information cascades such as is presented here can aid in the understanding of some of the points not resolved by the other approaches to the question. Firstly, unlike the fundamentalist approach, it allows for the occurrence of a speculative attack without need for deterioration in the macroeconomic fundamentals.24 Secondly, the presence of an informational cascade may answer the principal query of SGMs, that of what mechanism brings the change from a possibility of attacks to a definite attack; that is, it might offer a response to the questions put by Obstfeld (1994) and by Flood and Marion (1998), reproduced elsewhere in this paper, through providing a mechanism for co-ordination of expectations leading to the convergence of actions by agents.
Similarly, the model presented here might explain better than alternative suggestions some of the events that happened in relation to the Asian crises, such as the speed with which attacks developed, the way in which agents’ actions became uniform, the dramatic reversal from capital inflows to outflows, the rapidity with which falls in exchange rates for Asian currencies took place, the lack of effectiveness of the measures proposed by international organizations to contain or manage the crises (measures based on a fundamentalist view of the crises) and the intense and rapid recovery in inflows towards these economies (without, however, there having been any substantial improvement in the financial and structural fundamentals that were in a bad way prior to the crises).25
Conclusions and implications
The two large groups of models developed to encapsulate the phenomenon of exchange rate crises have certain failings when they come to explaining some of the events that take place during these crises and specifically the most recent episodes. FGMs do not accept the possibility of attacks not related to fundamental macroeconomic weaknesses, which rules them out as a theory for explaining the Asian crises. Although this deficiency is remedied by SGMs, the latter do not incorporate a satisfactory explanation for the co-ordination mechanism leading to a joint attack by all agents. One possible cause for these deficiencies might be that both models assume that agents benefit from a substantive and parametric rationality that can fit within the narrow confines of the Rational Choice Theory.
However, financial markets (and specifically foreign exchange markets) operate in a context of imperfect information, demanding other patterns of rationality (procedural and non-parametric), use of which may lead to herd behaviors which in their turn introduce additional doubts about the validity of the Efficient Markets Hypothesis in the area of financial markets.
The presence of imperfect information, traditional in financial markets, is exacerbated by the process of financial globalization, since this movement has brought about a growth in international investments and a loss by these of relative weight for any one of them in the overall portfolios held by investors. This means that it has become less and less profitable to obtain detailed and reliable information about the various economies in which open positions are maintained. Consequently, group behaviors may acquire greater prominence.
This paper has presented an outline of one of these group behaviors and has analyzed how its presence can trigger an exchange rate crisis. Similarly, it has shown how an information cascade might shed some light on questions left unanswered by SGMs and aid in understanding some of the specific events in the Asian crises. These are crises which, moreover, independently of whether or not they involve herd behaviors, are partly the outcome of inadequate processes of financial liberalization.
Some additional implications may be drawn from the argument put forward in this paper. On the one hand, the globalization of financial markets should be accompanied by better mechanisms for obtaining and spreading information, if there is not to be a generalization of group behaviors. In this matter, great importance attaches to the role that should be played by rating agencies and international economic organizations in designing risk indicators of greater reliability and specificity for emerging and developing economies, and in covering the additional costs involved in adapting them to the dynamic evolution of these economies. If this is not done, then their evaluations may stimulate herd behavior. Nonetheless, the quantity and quality of information is not the most vital element, but rather the use and handling of it by private agents. As by definition information cannot be perfect, there will always be some incentive to join in an information cascade, which gives a further argument for introducing mechanisms for control and supervision of financial markets and to increase the number of precautions taken in the processes of financial liberalization and globalization.
Moreover, the existence of informational cascades, or other types of herd behavior, might be further investigated in an attempt to encompass another of the phenomena characteristic of recent exchange rate crises: contagion.26 It should be noted that the term contagion is used to refer to the spread of perturbances in the markets from one country to another and takes the form of parallel movements in exchange rates, capital flows and stock exchange indices, among others. One of the explanations assigns such joint movements to the normal interdependence of economies in a globalized world (fundamental contagion), but it is also feasible that contagion is not due to changes in the economic fundamentals common to various economies or to the existence of real economic ties between them, but is rather the result of group behaviors (non-fundamental contagion). In this way, an information cascade might aid comprehension of the mechanisms for the transmission of non-fundamental contagion, as the view offered in this paper is no more than one of a process of contagion among agents, which could be extended to include the idea of contagion among economies.










nueva página del texto (beta)










