Introducción
Los trastornos del lenguaje, del habla y del aprendizaje (TLHyA) son dificultades que se presentan con regularidad en la población infantil de todo el mundo1,2, e implican que el niño exhiba una secuencia correcta del desarrollo, expresada a un ritmo más lento de lo esperado para su edad cronológica2-4. La American Speech Language Hearing Association (ASHA) define el trastorno del lenguaje (TL) como la dificultad para comprender o usar sistemas de símbolos verbales, no verbales o gráficos; pueden estar involucradas la forma del lenguaje o fonología (sonidos de una lengua y reglas que rigen su combinación), la morfología (estructura de las palabras y construcción de las formas de las palabras) y la sintaxis (orden y combinación de palabras para formar oraciones, y las relaciones entre los elementos dentro de una oración); también puede involucrar al contenido del lenguaje o semántica (significado de palabras y oraciones) y a la función del lenguaje en el proceso de comunicación o pragmática (sistema que combina los componentes del lenguaje antes mencionados para dar lugar a una comunicación funcional y socialmente apropiada)3,5-8. Destaca que esta ausencia o dificultad en la producción del lenguaje no está relacionada con un bajo coeficiente intelectual, discapacidad física o sensorial, problemas neurológicos ni enfermedades mentales9,10. Por otro lado, la ASHA también considera al trastorno del habla (TH) y lo define como la alteración que afecta la articulación de los sonidos del habla, la fluidez del habla o la voz. Un trastorno de la articulación se caracteriza por la producción atípica de los sonidos del habla; durante su producción se presentan sustituciones, omisiones, adiciones o distorsiones de los sonidos del lenguaje que pueden afectar la inteligibilidad. Por otra parte, un trastorno de fluidez es una interrupción en el flujo del habla caracterizada por un ritmo atípico, así como por repeticiones de sonidos, sílabas, palabras y frases, en ocasiones junto con exceso de tensión, actitud forzada y apoyo gestual. Finalmente, los trastornos de la voz se caracterizan por una producción anormal o una ausencia de calidad vocal, tono, volumen, resonancia o duración, considerada anormal para la edad y el sexo5.
Ambos trastornos se han asociado a factores biológicos y ambientales, entre los que destacan daño perinatal, prematuridad, bajo peso al nacimiento, complicaciones amnióticas, infecciones intrauterinas11,12, nivel socioeconómico bajo, escaso nivel educativo de los padres13 y antecedentes familiares de retraso del lenguaje, del habla o de problemas de lectura14. Con respecto a su prevalencia, estudios realizados en diversas partes del mundo muestran que esta se modifica según la edad de la población estudiada, y varía del 1 al 27.5%12,15-21. Por otra parte, se ha encontrado que la tasa más alta se presenta en el sexo masculino, con una proporción de 1.5 niños por cada niña14,22.
El trastorno del aprendizaje (TA) es una condición caracterizada por dificultad para aprender habilidades académicas, y es posible observar habilidades educativas significativamente por debajo de lo esperado para la edad cronológica, afectando de manera importante las habilidades de lectura, escritura, matemáticas23, comprensión auditiva, expresión oral y razonamiento24. La dislexia evolutiva o dislexia del desarrollo es el trastorno del aprendizaje más frecuente (80%)25 y se caracteriza por un retraso del lenguaje que afecta los componentes fonológicos, semánticos y sintácticos de la lectoescritura, observándose en estos niños una pobre comprensión lectora y dificultad en la lectura expresiva, en la redacción espontánea14 y en la ortografía26. Se reporta una prevalencia del 5-15%24,27-29, e incluso del 3-20% en la población escolar26,30.
En un estudio realizado en Nueva York se encontró que el sexo masculino es más propenso a presentar dificultad para el aprendizaje (relación 9:6)28 y en China se ha reportado que el diagnóstico de dislexia es más frecuente en los varones (relación 2:1)31. En lo que respecta a las dificultades para las matemáticas, se refiere que en general la tasa de prevalencia es del 3-7% en la población escolar23.
El objetivo de este artículo es describir y analizar aspectos clínicos y sociodemográficos de una cohorte de pacientes con TLHyA.
Método
Se diseñó un estudio retrospectivo descriptivo y se analizó información extraída de la base de datos del periodo 2011-2015 del Servicio de Patología del Lenguaje (SPL) de un Instituto Nacional de Salud con sede en la Ciudad de México. La base de datos contiene información de los pacientes que asistieron o fueron referidos por presentar TLHyA, además de información sociodemográfica y clínica.
Muestra
Se estudiaron todos los ingresos presentados en un periodo de 5 años, desde el 1 de enero de 2011 hasta el 31 de diciembre de 2015, y se seleccionaron todos los pacientes de 1 a 13 años cuyo ingreso al hospital estuviera relacionado con dificultades del lenguaje, del habla y del aprendizaje.
Variables
- Variables sociodemográficas: sexo, edad, lugar de origen, lugar de residencia, nivel de instrucción del paciente, edad de la madre y escolaridad de ambos padres.
- Variables clínicas: diagnóstico, control prenatal, tipo de parto, desarrollo psicomotor, desarrollo del lenguaje y antecedentes heredofamiliares.
Análisis estadístico
Se realizó un análisis descriptivo inicial de los datos y se calcularon medias y desviaciones estándar para las variables cuantitativas, así como porcentajes y frecuencias para las variables cualitativas. Con la finalidad de evaluar si existía o no diferencia significativa entre las variables del estudio y el sexo de los pacientes se utilizó la prueba de ji al cuadrado, y para conocer la probabilidad condicional entre las variables del estudio se realizó análisis de probabilidad conjunta , que es la base para obtener la probabilidad a priori y a posteriori utilizado en el teorema de Bayes.
Resultados
El número de pacientes que ingresaron al hospital por presentar TLHyA en el periodo estudiado fue de 4632. Respecto al sexo, se contabilizaron 3358 niños (72.5%) y 1274 (27.5%) niñas, con edades de 1 a 13 años (rango de 12 años) y un promedio de edad de 5.32 ± 2 años (media ± desviación estándar). Con referencia al lugar de origen, 4593 (99,1%) pacientes nacieron en 30 de las 32 entidades federativas, 35 (0,7%) en el extranjero y 4 (0.1%) en lugar desconocido. La Ciudad de México fue la principal entidad, con 3894 (84.1%) pacientes (2820 niños y 1074 niñas), seguida del Estado de México con 489 (10.8%) pacientes (364 niños, 125 niñas) y Puebla con 26 (0.6%) pacientes (19 niños y 7 niñas). Con respecto al lugar de residencia, fueron 21 las entidades referidas, de las cuales las más frecuentes fueron Ciudad de México con 3974 (85.8%) pacientes (2883 niños y 1091 niñas) y Estado de México con 580 (12.5%) pacientes (419 niños y 161 niñas) (Tabla 1).
Tabla 1 Lugar de origen y de residencia de los pacientes con trastornos del lenguaje, del habla y del aprendizaje
| Origen | Sexo | Residencia | Sexo | |||||
|---|---|---|---|---|---|---|---|---|
| n | % | Niño | Niña | n | % | Niño | Niña | |
| Aguascalientes | 22 | 0.5 | 13 | 9 | 2 | 0 | 1 | 1 |
| Baja California | 4 | 0.1 | 1 | 3 | 1 | 0 | 0 | 1 |
| Baja California Sur | 6 | 0.1 | 2 | 4 | - | - | - | - |
| Campeche | 1 | 0 | 0 | 1 | 3 | 0.1 | 3 | 0 |
| Coahuila | 1 | 0 | 1 | 0 | - | - | - | - |
| Chiapas | 5 | 0.1 | 4 | 1 | 2 | 0 | 1 | 1 |
| Chihuahua | 4 | 0.1 | 3 | 1 | - | - | - | - |
| Ciudad de México | 3894 | 84.1 | 2820 | 1074 | 3974 | 85.8 | 2883 | 1091 |
| Durango | 6 | 0.1 | 3 | 3 | - | - | - | - |
| Estado de México | 489 | 10.6 | 364 | 125 | 580 | 12.5 | 419 | 161 |
| Guanajuato | 8 | 0.2 | 7 | 1 | - | - | - | - |
| Guerrero | 19 | 0.4 | 14 | 5 | 13 | 0.3 | 8 | 5 |
| Hidalgo | 12 | 0.3 | 9 | 3 | 8 | 0.2 | 6 | 2 |
| Jalisco | 7 | 0.2 | 5 | 2 | 5 | 0.1 | 5 | 0 |
| Michoacán | 10 | 0.2 | 7 | 3 | 5 | 0.1 | 4 | 1 |
| Morelos | 13 | 0.3 | 10 | 3 | 9 | 0.2 | 6 | 3 |
| Nayarit | 1 | 0 | 1 | 0 | - | - | - | - |
| Nuevo León | 4 | 0.1 | 3 | 1 | - | - | - | - |
| Oaxaca | 8 | 0.2 | 6 | 2 | - | - | - | - |
| Puebla | 26 | 0.6 | 19 | 7 | 5 | 0.1 | 4 | 1 |
| Querétaro | 7 | 0.2 | 6 | 1 | 3 | 0.1 | 2 | 1 |
| Quintana Roo | 5 | 0.1 | 4 | 1 | 2 | 0 | 2 | 0 |
| San Luis Potosí | 3 | 0.1 | 2 | 1 | 1 | 0 | 0 | 1 |
| Sinaloa | 3 | 0.1 | 3 | 0 | 2 | 0 | 1 | 1 |
| Sonora | 3 | 0.1 | 0 | 3 | 1 | 0 | 0 | 1 |
| Tabasco | 1 | 0 | 1 | 0 | - | - | - | - |
| Tamaulipas | 5 | 0.1 | 1 | 4 | - | - | - | - |
| Tlaxcala | 6 | 0.1 | 4 | 2 | 5 | 0.1 | 4 | 1 |
| Veracruz | 17 | 0.4 | 12 | 5 | 10 | 0.2 | 8 | 2 |
| Zacatecas | 3 | 0.1 | 3 | 0 | 1 | 0 | 1 | 0 |
| Extranjero | 35 | 0.8 | 28 | 7 | - | - | - | - |
| Desconocido | 4 | 0.1 | 2 | 2 | - | - | - | - |
La edad de las madres se ubicó de 10 a 50 años (rango de 40 años) y su promedio de edad fue de 26.8 ± 6.4 años. Respecto a la escolaridad al momento del ingreso, 2269 (49%) pacientes (1641 niños y 628 niñas) cursaban preescolar y 1802 (38.9%) pacientes (1311 niños y 491 niñas) se encontraban cursando la educación básica o primaria. En cuanto a escolaridad del padre, la más frecuente fue secundaria completa en 1017 (22%) casos (744 niños y 273 niñas), seguida de bachillerato completo en 744 (16.1%) casos (521 niños y 223 niñas). La escolaridad de la madre más frecuente fue secundaria completa en 1123 (24.2%) casos (839 niños y 284 niñas), seguida de bachillerato completo en 821 (17.7%) casos (581 niños y 240 niñas) (Tabla 2).
Tabla 2 Escolaridad de pacientes y progenitores
| n | % | Niños | Niñas | χ2 | |
|---|---|---|---|---|---|
| Nivel de instrucción del paciente | |||||
| Ninguna | 502 | 10.8 | 359 | 143 | NS |
| Preescolar | 2269 | 49 | 1641 | 628 | |
| Primaria incompleta | 1802 | 38.9 | 1311 | 491 | |
| Primaria completa | 7 | 0.2 | 6 | 1 | |
| Secundaria | 6 | 0.1 | 3 | 3 | |
| Educación especial | 4 | 0.1 | 3 | 1 | |
| Guardería | 42 | 0.9 | 35 | 7 | |
| Nivel de instrucción de la madre | |||||
| Analfabeta | 41 | 0.9 | 24 | 17 | NS |
| Sabe leer y escribir | 35 | 0.8 | 21 | 14 | |
| Primaria incompleta | 95 | 2.1 | 74 | 21 | |
| Primaria completa | 311 | 6.7 | 215 | 96 | |
| Secundaria incompleta | 203 | 4.4 | 149 | 54 | |
| Secundaria completa | 1123 | 24.2 | 839 | 284 | |
| Bachillerato incompleto | 399 | 8.6 | 294 | 105 | |
| Bachillerato completo | 821 | 17.7 | 581 | 240 | |
| Carrera técnica | 397 | 8.6 | 291 | 106 | |
| Licenciatura incompleta | 208 | 4.5 | 139 | 69 | |
| Licenciatura completa | 502 | 10.8 | 372 | 130 | |
| Posgrado | 40 | 0.9 | 29 | 11 | |
| Se desconoce | 457 | 9.9 | 330 | 127 | |
| Nivel de instrucción del padre | NS | ||||
| Analfabeto | 28 | 0.6 | 19 | 9 | |
| Sabe leer y escribir | 29 | 0.6 | 18 | 11 | |
| Primaria incompleta | 79 | 1.7 | 57 | 22 | |
| Primaria completa | 291 | 6.3 | 209 | 82 | |
| Secundaria incompleta | 177 | 3.8 | 136 | 41 | |
| Secundaria completa | 1017 | 22 | 744 | 273 | |
| Bachillerato incompleto | 307 | 6.6 | 243 | 64 | |
| Bachillerato completo | 744 | 16.1 | 521 | 223 | |
| Carrera técnica | 206 | 4.4 | 144 | 62 | |
| Licenciatura incompleta | 163 | 3.5 | 110 | 53 | |
| Licenciatura completa | 507 | 10.9 | 375 | 132 | |
| Posgrado | 33 | 0.7 | 23 | 10 | |
| Se desconoce | 1051 | 22.7 | 759 | 292 | NS |
NS: no significativo.
El diagnóstico más frecuente fue TL, presente en 2924 (63.1%) pacientes (2124 niños y 800 niñas), seguido de TA en 1646 (35.5%) pacientes (1186 niños y 460 niñas) y de TH en 62 (1.4%) pacientes (48 niños y 14 niñas). Al realizar un análisis más fino de los diagnósticos recibidos se encontró que, en lo que respecta a los TL, los más comunes fueron el trastorno fonológico sintáctico, presente en 1498 (32.3%) pacientes (1098 niños y 400 niñas) y el trastorno de programación fonológica en 1402 (30.3%) pacientes (1008 niños y 394 niñas); en cuanto a los TH, el más común fue la dislalia fisiológica, observada en 55 (1.2%) pacientes (42 niños y 13 niñas); y en lo referente a los TA, el diagnóstico más frecuente fue dislexia mixta, encontrada en 916 (19.8%) pacientes (664 niños y 252 niñas) (Tabla 3).
Tabla 3 Diagnóstico
| n | % | Niños | Niñas | χ2 | |
|---|---|---|---|---|---|
| Trastornos | NS | ||||
| Lenguaje | 2924 | 63.1 | 2124 | 800 | |
| Habla | 62 | 1.4 | 48 | 14 | |
| Aprendizaje | 1646 | 35.5 | 1186 | 460 | |
| Diagnóstico específico | |||||
| Lenguaje | NS | ||||
| Afasia infantil | 4 | 0.1 | 2 | 2 | |
| Dispraxia verbal | 14 | 0.3 | 12 | 2 | |
| Trastorno fonológico sintáctico | 1498 | 32.3 | 1098 | 400 | |
| Trastorno de programación fonológica | 1402 | 30.3 | 1008 | 394 | |
| Trastorno semántico pragmático | 6 | 0.1 | 4 | 2 | |
| Habla | NS | ||||
| Disglosia | 1 | 0 | 1 | 0 | |
| Dislalia fisiológica | 55 | 1.2 | 42 | 13 | |
| Rotacismo | 3 | 0.1 | 3 | 0 | |
| Disartria | 3 | 0.1 | 2 | 1 | |
| Aprendizaje | NS | ||||
| Dislexia diseidética | 289 | 6.2 | 211 | 78 | |
| Dislexia disfonética | 440 | 9.5 | 310 | 130 | |
| Dislexia mixta | 916 | 19.8 | 664 | 252 | |
| Discalculia | 1 | 0 | 1 | 0 |
NS: no significativo.
Con respecto a los antecedentes, se encontró que 4510 (97.4%) madres (de 3273 niños y 1237 niñas) refirieron haber tenido control prenatal y 2409 (52%) madres (de 1741 niños y 668 niñas) informaron parto por cesárea. En cuanto al desarrollo psicomotor de los pacientes, se refirió normal en 3717 (80.2%) casos (2719 niños y 998 niñas); el desarrollo del lenguaje se notificó con retraso en 3661 (79%) casos (2682 niños y 979 niñas). Al calcular la ji al cuadrado se obtuvo un valor de p = 0.05, lo que significa que existe mayor incidencia de problemas del lenguaje en el sexo masculino (lo cual coincide con lo reportado en la literatura y se destaca que fue la única variable que mostró diferencia significativa con respecto al sexo de los pacientes). En lo referente a antecedentes heredofamiliares, en 2220 (47.9%) casos (1601 niños y 619 niñas) se informó trastorno de comunicación (lenguaje, habla o aprendizaje) (Tabla 4).
Tabla 4 Antecedentes
| n | % | Niños | Niñas | χ2 | p | |
|---|---|---|---|---|---|---|
| Control prenatal | NS | |||||
| Sí | 4510 | 97.4 | 3273 | 1237 | ||
| No | 101 | 2.2 | 73 | 28 | ||
| Se desconoce | 21 | 0.5 | 12 | 9 | ||
| Tipo de parto | ||||||
| Eutócico | 2049 | 44.2 | 1485 | 564 | ||
| Cesárea | 2409 | 52 | 1741 | 668 | ||
| Distócico | 74 | 1.6 | 58 | 16 | ||
| Fortuito | 79 | 1.7 | 62 | 17 | ||
| Se desconoce | 21 | 0.5 | 12 | 9 | ||
| Desarrollo psicomotor | 80.2 | 2719 | 998 | NS | ||
| Normal | 3717 | 19.1 | 619 | 265 | ||
| Con retraso | 884 | 0.7 | 20 | 11 | ||
| Se desconoce | 31 | |||||
| Desarrollo del lenguaje | ||||||
| Normal | 934 | 20.2 | 650 | 284 | 5.0161 | < 0.05 |
| Con retraso | 3661 | 79 | 2682 | 979 | ||
| Se desconoce | 37 | 0.8 | 26 | 11 | ||
| Antecedentes heredofamiliares | ||||||
| Ninguno | 1657 | 35.8 | 1211 | 446 | NS | |
| Trastorno de comunicación | 2220 | 47.9 | 1601 | 619 | ||
| Trastorno psiquiátrico | 92 | 2 | 61 | 31 | ||
| Trastorno neurológico | 142 | 3.1 | 105 | 37 | ||
| Trastorno congénito | 44 | 0.9 | 29 | 15 | ||
| Se desconoce | 12 | 0.3 | 5 | 7 | ||
| Trastorno genético | 106 | 2.3 | 77 | 29 | ||
| Trastorno de comunicación y neurológico | 118 | 2.5 | 87 | 31 | ||
| Trastornos psiquiátrico y neurológico | 20 | 0.4 | 19 | 1 | ||
| Trastornos de comunicación y psiquiátrico | 125 | 2.7 | 95 | 30 | ||
| Trastorno de comunicación y congénito | 85 | 1.8 | 61 | 24 | ||
| Trastorno de comunicación y genético | 11 | 0.2 | 7 | 4 |
NS: no significativo.
Para obtener la probabilidad conjunta entre los TLHyA con respecto al sexo de los
pacientes se calculó la intersección probabilística de las proporciones
P(A∩B)=P(A)·P(B), en donde A y
B fueron calculadas con la proporción a analizar, es decir, el
total de pacientes de sexo masculino o femenino entre el total de la muestra, y el
total de pacientes de sexo masculino o femenino en cada uno de los trastornos entre
el total de pacientes por sexo. De esta manera, para los cálculos la proporción de
pacientes de sexo masculino fue
(72.49%) y la proporción de
pacientes de sexo femenino fue
(27.5%), de modo que la
probabilidad conjunta con respecto al sexo de los pacientes y los TL fue:
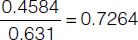
(A) pacientes de sexo masculino entre el total de la muestra y
(B) pacientes de sexo masculino con TL entre el total de
pacientes de sexo masculino, es decir,
; esto es, la probabilidad de que
un paciente sea de sexo masculino y presente TL es del 45.84%. Por otra parte,
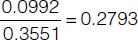
considerando (A) pacientes de sexo femenino entre el total de la
muestra y pacientes (B) de sexo femenino con TL entre el total de
pacientes de sexo femenino, es decir,
, significa que, del total de la
muestra, la probabilidad de que un paciente sea de sexo femenino y presente TL es
del 17.26%. Ahora bien, en lo referente al cálculo de la probabilidad condicional
a posteriori,
P(B∩Ai), considerando las
variables TL y sexo de los pacientes, utilizando el teorema de Bayes, se obtuvo que
la probabilidad condicional a posteriori de que un paciente llegue
al SPL, sea diagnosticado con TL y sea de sexo masculino es de 0.7264 (72.64%),
mientras que la probabilidad condicional a posteriori de que un
paciente llegue al SPL, sea diagnosticado con TL y sea del sexo femenino es de
0.2735 (27.35%) (Tabla 5).
Tabla 5 Probabilidad a priori y a posteriori con respecto al sexo del paciente y el trastorno diagnosticado
Discusión
El presente estudio aporta información que permite conocer las características de los pacientes diagnosticados con TLHyA de una cohorte de pacientes pediátricos atendidos en un Instituto Nacional de Salud en México. Al tratarse de un hospital de referencia y especializado, es elevado el número de pacientes (4632) en edad pediátrica que ingresaron. Analizando esta información con respecto a cifras nacionales oficiales, encontramos que el Instituto Nacional de Estadística y Geografía (INEGI), para el año 2014, refiere que 7.1 millones de habitantes (6%) presenta algún tipo de discapacidad, entre las que considera la dificultad para aprender (38.8%) y la dificultad para hablar o comunicarse (18%)32. Con respecto al sexo de los pacientes, nuestros datos concuerdan con lo reportado en estudios internacionales en los que se establece que el sexo masculino es un factor de riesgo13,14,22,28,31,33. Por otro lado, analizando la edad de los pacientes, estos se ubicaron entre 1 y 13 años, lo cual concuerda con los datos del INEGI, que destacan que las dificultades para aprender, hablar o comunicarse se encuentran con mayor frecuencia y gravedad en la población menor de 15 años32. Continuando con este tema, vale la pena destacar que la Organización Mundial de la Salud considera que los tres primeros años de vida son un periodo crítico, el cual se caracteriza por un desarrollo acelerado del sistema nervioso que favorece el crecimiento y el desarrollo integral del niño4. También se ha sugerido que los trastornos relacionados con la expresión del lenguaje pueden ser notados por los padres entre los 18 meses y los 3 años de edad; sin embargo, es frecuente escuchar que el niño se encuentra en proceso de desarrollo o de adquisición del lenguaje y que cuenta con tiempo suficiente para desarrollarlo de forma adecuada, por lo que muchas veces no se le da importancia y es derivado con el especialista de forma tardía14.
El INEGI también hace referencia a que, en México, aproximadamente la mitad de la población con discapacidad (49.6%) se concentra en siete entidades federativas, entre las que destacan la Ciudad de México (5.8%) y el Estado de México (14.6%)32. En nuestro estudio, estas dos entidades concentran el mayor número de pacientes, y en este sentido vale la pena considerar que el Instituto donde se realizó este estudio se encuentra ubicado en la Ciudad de México, razón suficiente para que la mayor población que acude a solicitar atención se encuentre viviendo en esta ciudad, o bien en el Estado de México, que al ser parte del área conurbada cuenta con los medios de transporte que facilitan el traslado de los pacientes no solo durante la detección del problema, sino también para el tratamiento y el seguimiento médico especializado.
Encontramos que las madres más jóvenes tenían 10 años de edad y las más añosas 50 años; el promedio de edad y la desviación estándar (26.8 ± 6.4 años) se ubicaron dentro de los parámetros de edad más recomendados para ejercer la maternidad. Consideramos la edad de las madres, ya que suelen ser las que habitualmente se hacen cargo de brindar atención y cuidado a los pacientes, y en este sentido destacamos que en la revisión realizada se encontró que se ha relacionado la edad materna avanzada como un factor de riesgo para el desarrollo de trastornos de la comunicación33.
En lo referente a la escolaridad de los pacientes, el 49% se ubicó en el primer nivel de educación básica o preescolar, y el 38.9% en el segundo nivel o primaria. El rango de edad habitual aproximado para cursar el preescolar de acuerdo con el Sistema Educativo Nacional es de 3 a 5 años34, y podemos suponer que los pacientes que acudieron al Instituto en este rango de edad lo hicieron por sospecha de TL o TH. En lo que respecta a la educación primaria, en este nivel de estudios se incorporan niños de 6 a 12 años34, y por lo tanto es posible que en este rango estén ubicados pacientes con detección tardía de TL o TH, sumándose también aquellos pacientes que contaban con alguno de estos diagnósticos y que evolucionaron a un TA o presentaron como tal un TA. Algunos autores estipulan que los niños con TL tienen un riesgo cuatro o cinco veces mayor de presentar dificultades para la lectura y para desarrollar dificultades en las habilidades sociales, además de problemas en escritura, ortografía, matemáticas y atención, y presencia de dislexia del desarrollo y niveles más bajos de rendimiento escolar2,3,6,12,13,35.
Nos interesó conocer la escolaridad de ambos padres y encontramos que es similar; la mayoría refirió tener estudios de secundaria completa, es decir, concluyeron la tercera y última etapa de la educación básica. Algunos autores refieren que el nivel de estudios de ambos progenitores afecta el desarrollo del lenguaje y del aprendizaje de los niños35,36; otros consideran que el nivel educativo de la madre es fundamental y sugieren que las madres analfabetas o con bajo nivel de estudios representan un factor de riesgo para el desarrollo de TL y de TA31,37-39, y que aquellas con estudios de nivel superior representan un factor protector33.
Con respecto al desarrollo psicomotor, en nuestro estudio el 80.2% de los padres refirió que el desarrollo de los pacientes había sido normal; sin embargo, valdría la pena realizar una evaluación objetiva por algún especialista psicomotricista que permita verificar esta información, ya que son varios los investigadores que han encontrado una relación entre los trastornos motores y el desarrollo de TLHyA2,9,40. Okuda y Pinheiro41 consideran que cuando el niño es capaz de lograr un buen control motor se facilita la construcción de los conceptos básicos para el desarrollo intelectual, constituyendo una relación directa entre el desarrollo cognitivo y el desarrollo motor. Un deficiente rendimiento motor es evidente cuando el niño presenta torpeza, falta de equilibrio, retraso en los hitos del desarrollo (gatear, caminar, sentarse), o pobre desempeño en actividades como lanzar, atrapar, correr, patear, saltar, recortar, colorear y escribir; todos ellos son considerados aspectos que interferirán en el rendimiento académico.
En cuanto a los antecedentes heredofamiliares, se encontró que el 47.9% de los pacientes tenía o había tenido familiares con TLHyA, dato que es concordante con lo reportado en la literatura, ya que para los trastornos que nos ocupan se refiere una afectación significativa por predisposición genética12,33,40. Los niños con un historial familiar de habla poco inteligible, disfemia, retraso en la adquisición del lenguaje y vocabulario limitado tienen cuatro veces más probabilidad de presentar TH o TL13,39. Así mismo, se ha demostrado que la prevalencia de dislexia del desarrollo es alta en los descendientes de padres con dificultades en la lectura35; aunado a esto, existe evidencia de que la dislexia del desarrollo se asocia a múltiples genes25,26.
Considerando los resultados obtenidos al calcular la probabilidad conjunta, destaca la elevada probabilidad de que un paciente presente TL, siendo para el sexo masculino del 45.8% y para el femenino del 17.2%, en comparación con los pacientes con TA o TH. Con respecto a la probabilidad condicional a posteriori, para el TL y el TA, considerando que en ambos sexos la proporción es prácticamente la misma, la probabilidad de que un paciente llegue al SPL, sea diagnosticado con TL o TA, y sea de sexo masculino, es del 72%, mientras que la probabilidad de que llegue al SPL, sea diagnosticado con TL o TA, y sea de sexo femenino, es del 27%. Llama la atención que, en lo que respecta al TH, los resultados muestran la misma tendencia en cuanto a la proporción y se observa una mayor diferencia entre el sexo masculino y el sexo femenino; en este caso particular, la probabilidad de que un paciente llegue al SPL, sea diagnosticado con TH y sea de sexo masculino es del 77%, un 5% mayor que para los pacientes con TL y TA; y la probabilidad de que un paciente llegue al SPL, sea diagnosticado con TH y sea de sexo femenino es del 22%, un 5% menor en comparación con las pacientes con TL y TA.
Un aspecto que merece la pena destacar tiene que ver con el tratamiento que requieren estos pacientes una vez que se ha detectado el problema y se ha realizado el diagnóstico; lo ideal es que esta intervención sea temprana y por especialistas calificados, pero esto se puede complicar, por ejemplo, en los pacientes que presentan trastornos leves, motivo por el cual se dificulta la tipificación del problema, lo que conduce a una identificación y un diagnóstico tardíos. En el caso de los trastornos graves, estos pueden volverse persistentes y continuar durante la edad adulta2,40,42,43. Se ha podido establecer, en diferentes estudios, que los adultos que fueron diagnosticados con TL y TH en la infancia y que no fueron tratados, o recibieron una intervención tardía, tienen más probabilidad de estar desempleados, tener menores ingresos, desempeñarse en trabajos menos calificados o tener pocas posibilidades de acceso a educación o capacitación3,12,27,42.
Otro aspecto importante está relacionado con lo que se reporta sobre la intervención, el seguimiento médico o terapéutico, y el desarrollo socioemocional de estos niños, el cual se refiere con importantes dificultades6,44,45. Por ejemplo, se ha reportado que los TA se asocian con altas tasas de deserción de la escuela secundaria, bajo rendimiento académico, falta de oportunidades para progresar en el sistema educativo o de capacitación, altos niveles de angustia27,42,, ansiedad social, episodio maníaco, trastorno afectivo bipolar y depresión psicótica2,42. Los adolescentes con un TL no resuelto muestran dificultades sociales1,42 y niveles elevados de agresión, lo cual podría explicarse por la presencia de un alto grado de frustración e incapacidad para emplear las habilidades lingüísticas como puente o facilitador en la interacción con otros y para la resolución efectiva de problemas43. Es importante destacar que la capacidad lingüística no solo cumple con la función de la comunicación, sino que también es un recurso de autorregulación cognitiva y conductual, ya que facilita el conocimiento y la comprensión de las emociones44. Se ha sugerido que una intervención temprana y adecuada durante la niñez puede interrumpir el riesgo para desarrollar dificultades socioemocionales y del comportamiento, relacionadas muchas veces con el uso de sustancias nocivas y el incumplimiento de reglas sociales43.
Algunos autores sugieren que, además del tratamiento terapéutico especializado por parte de terapistas del lenguaje y del habla (logopedas, patólogos del lenguaje y del habla, fonoaudiólogos, terapeutas en comunicación humana, etc.), es importante que estos niños acudan a sesiones regulares de psicoterapia que les ayude a tener confianza en sí mismos, a facilitar su adaptación en ambientes escolares y a mejorar su calidad de vida social7.
Conclusiones
De todas las variables estudiadas, solo la incidencia de retraso en el desarrollo del lenguaje en el sexo masculino fue significativa: de cada cuatro pacientes, tres eran de sexo masculino y uno de sexo femenino.
Con respecto a la población atendida, la probabilidad condicional a priori de que los pacientes lleguen al SPL, sean diagnosticados con cualquiera de los tres trastornos y todos sean de sexo masculino, o todos sean de sexo femenino, es la misma. Por otro lado, la probabilidad condicional a posteriori muestra una importante similitud con respecto a la proporción en que se presentan los tres trastornos; sin embargo, la proporción más alta se encontró en los pacientes de sexo masculino con TH y la más baja en los de sexo femenino.
Los TLHyA representan un problema muy común en la primera infancia. Gracias a diversos estudios se ha podido establecer que se presentan en todo el mundo y que además pueden prolongarse y complicarse en la adolescencia y en la edad adulta, afectando de manera significativa el desarrollo emocional, académico, social y laboral; por lo tanto, es fundamental destacar la importancia de la detección y la intervención terapéutica temprana a cargo de médicos especialistas y de logopedas o terapeutas del lenguaje, del habla y del aprendizaje.
La implementación de programas creados para informar y orientar a padres de familia, otros familiares, profesores y médicos permitirá resolver estos problemas a edades tempranas e impedir la evolución a condiciones más graves.










nueva página del texto (beta)














