SciELO - Scientific Electronic Library Online

 
vol.15 número3Hallazgos inmunohistoquímicos en una muestra de pacientes con cáncer de mama atendidos del 2009 al 2013 en el Hospital Ángeles PedregalLa técnica de alimentación y su influencia en el incremento de peso en el neonato enfermo índice de autoresíndice de materiabúsqueda de artículos
Home Pagelista alfabética de revistas  

Servicios Personalizados

Revista

Articulo

Indicadores

Links relacionados

  • No hay artículos similaresSimilares en SciELO

Compartir


Acta médica Grupo Ángeles

versión impresa ISSN 1870-7203

Acta méd. Grupo Ángeles vol.15 no.3 México jul./sep. 2017

 

Artículos Originales

Correlación de la medición directa de la presión intraabdominal y la presión programada de insuflación de CO 2 en cirugía laparoscópica

Correlation between direct medical intraabdominal measurements with the CO 2 insufflation pressure in laparoscopic surgery

Liliana Silva Sánchez1  * 

Diana Leticia Rodríguez Zamorano1 

Fernando Elizalde Flores2 

Mario Enrique Rendón Macías3 

1 Médico Residente de 3er año, Anestesiología, Facultad Mexicana de Medicina, Universidad La Salle. Hospital Ángeles Clínica Londres. Ciudad de México, México.

2 Médico Anestesiólogo, Maestro en Ciencias Penales y Especialista en Criminalística. Hospital Ángeles Clínica Londres. Ciudad de México, México.

3 Médico Pediatra, Unidad de Investigación Médica en Epidemiología Clínica, Hospital de Pediatría, Centro Médico Nacional Siglo XXI, Instituto Mexicano del Seguro Social. Ciudad de México, México.


Resumen:

Introducción:

Un control de la presión intraabdominal por < 14 mmHg es fundamental para evitar alteraciones hemodinámicas durante los procedimientos laparoscópicos. La vigilancia por medio de la presión de insuflación (PInf) puede no ser confiable.

Objetivo:

Comparar los valores de la PInf con los medidos directamente en la cavidad abdominal (PIA) y establecer cuál correlaciona con variaciones hemodinámicas.

Material y métodos:

Durante ocho procedimientos laparoscópicos se tomaron mediciones PInf y PIA simultáneamente: una basal, y cada cinco minutos hasta suspensión de neumoperitoneo. Los procedimientos fueron bajo anestesia general y bloqueo neuromuscular profundo y/o intenso. Se analizó la estabilidad hemodinámica (frecuencia cardiaca, presiones arteriales y saturación periférica de oxígeno) con las mediciones de PInf y PIA.

Resultados:

Se analizaron 54 mediciones pareadas. La correlación entre las mediciones fue de 0.86 (p < 0.001, R2 = 0.74). Quince mediciones (27.8%) fueron iguales; en 59.3% PIA > PInf y en 14.1% PIA < PInf. Variaciones de PIA 14 mmHg se asociaron a hipertensión arterial y taquicardia, mientras PIA 11 mmHg con presiones arteriales diastólicas bajas y menor frecuencia cardiaca (< 60).

Conclusiones:

La vigilancia de la presión intraabdominal con la PInf puede no ser muy confiable; recomendamos su medición directa.

Palabras clave: Presión intraabdominal; neumoperitoneo; correlación

Abstract:

Introduction:

An intraabdominal pressure less than 14 mmHg is fundamental to avoid hemodynamic alterations during laparoscopic procedures. The monitoring by insufflation pressure (InfP) may not be the most reliable.

Objective:

To compare the InfP values with those measured directly in the abdominal cavity (IAP), and to establish their correlation with hemodynamic variations.

Material and methods:

During eight laparoscopic procedures, we obtained InfP and IAP measures simultaneously: at baseline and every five minutes until the suspension of the pneumoperitoneum. All procedures were under general anesthesia and deep and/or intense neuromuscular blockage. We analyzed the hemodynamic stability (heart rate, arterial pressure and peripheral oxygen saturation) with the InfP and IAP measures.

Results:

We analyzed 54 pair measures. The correlation between measures was 0.86 (p < 0.001, R2 = 0.74). Fifteen measures (27.8%) were equal; in 59.3% IAP > InfP, and in 14.1% IAP < InfP. The variations of IAP 14 mmHg were associated with arterial hypertension and tachycardia, while IAP 11 mmHg were associated with low diastolic arterial pressures and low heart rate (< 60).

Conclusions:

The monitoring of the intra-abdominal pressure with InfP may not be reliable, so we recommend a direct measurement.

Key words: Intraabdominal pressure; pneumoperitoneum; correlation

Introducción

El desarrollo tecnológico ha permitido realizar con mínimo acceso cirugías que anteriormente requerían grandes incisiones. En forma paralela, las técnicas anestésicas han tenido que adecuarse a los cambios fisiológicos producidos por la necesidad de trabajar en un neumoperitoneo inducido con CO2.1,2

Las principales modificaciones se han relacionado con cambios hemodinámicos al incrementarse la presión intraabdominal y los cambios de posición durante el procedimiento quirúrgico/anestésico.1,2

La presión intraabdominal alta puede causar disminución del gasto cardiaco, reducción del retorno sanguíneo venoso, aumento en la presión arterial media (PAM), incremento en la resistencia vascular sistémica, alteración de perfusión renal y reducción de la filtración glomerular;1,2,7 además, la posibilidad de lesiones isquémicas y de reperfusión en órganos intraabdominales, arritmias, disminución de la compliance respiratoria, aumento de absorción de CO2, aumento de la resistencia de la vía aérea, aumento del shunt Q/V, así como aumento de la presión intracerebral.1,2

Para evitar estas complicaciones, diferentes autores han recomendado mantener la presión intraabdominal en 12 mmHg y en particular evitar un valor por arriba de 15 mmHg.3,4 Incluso en años recientes se ha sugerido reducir esta presión a 9 mmHg, para evitar la estasis y trombosis venosa femoral, sobre todo en cirugías que requieren de un Trendelemburg.1,2,12

Este control de la presión puede ser ejercido a través de una presión de insuflación lo más baja posible y/o con la reducción de la resistencia de la pared abdominal con el uso de bloqueadores neuromusculares (BNM).2,5 Para el buen uso de los BNM es recomendable la vigilancia del tono muscular por medio del “tren de 4” (en inglés “Train of four” o TOF).5,8,9 Actualmente, con la introducción de los antagonistas de bloqueadores BNM aminoesteroideos es factible un bloqueo profundo hasta el final de la cirugía con una recuperación inmediata de forma segura, eficaz y eficiente.2,5,7

A pesar de la importancia del control de la presión intraabdominal, existen pocos estudios en la literatura médica que hayan evaluado la forma más exacta de medirla. Los métodos más usados han sido la intravesical y la intragástrica,15-17 ambas no siempre factibles de implementar. Muchos anestesiólogos confían en la presión ajustada en el insuflador electrónico de CO2 del aparato de laparoscopia. Sin embargo, éste podría no traducir con fidelidad la presión intraabdominal real debido a modificaciones relacionadas con el material semielástico de las mangueras; por ello, en este trabajo realizamos la medición concurrente intraabdominal (PIA) con una adaptación al sistema de trocares quirúrgicos, con la registrada por el insuflador (PInf) con el propósito de establecer su correlación y validez.

Material y métodos

Se realizó un estudio observacional prospectivo. Se obtuvo una muestra por método no probabilístico de casos consecutivos. El trabajo se elaboró en los meses de julio y agosto del 2016 en el Hospital Ángeles Clínica Londres, previa aprobación por el Comité de Ética e Investigación del hospital.

Para la comparación de las mediciones se incluyeron pacientes que cumplieran los siguientes criterios de inclusión: sometidos a cirugía laparoscópica abdominal bajo anestesia general balanceada y meritoria de bloqueo neuromuscular (profundo e intenso), de cualquier sexo, mayores de 18 años, en clasificación anestésica ASA 1 o 2 y bajo su consentimiento informado y escrito firmado. Se excluyeron aquéllos con antecedente de alergia a alguno de los medicamentos anestésicos.

Procedimientos

Todos los pacientes recibieron analgesia intravenosa multimodal en el transanestésico con: palonosetrón 1 μg/kg, paracetamol 1 g, parecoxib 40 mg, ketorolaco 10 mg, tramadol 25 mg, buprenorfina 2 μg/kg, y anestesia local (infiltración en los puertos quirúrgicos) con ropivacaína 200 mg.

La anestesia general fue balanceada con medicación endovenosa con midazolam, fentanilo y propofol, combinados con desflurano inhalado según requerimiento del paciente.

En estado de anestesia y bajo asistencia en la ventilación se determinó el nivel de la actividad eléctrica neuromuscular con aparato TOF Watch® XR. Una vez calibrada la actividad neuromuscular, se ministró rocuronio a 900 μg/kg de peso real para lograr un bloqueo de profundo a intenso.5-9 A partir de este momento se realizaron las mediciones de las presiones cada cinco minutos hasta el retiro del neumoperitoneo. Durante todo el procedimiento se registraron la frecuencia cardiaca en latidos por minuto, presión arterial en mmHg y la oximetría capilar (%saturación) por medio de monitoreo no invasivo con el monitor Datex Ohmeda Aespire 7. Así mismo, con el mismo aparato se registró continuamente la fracción espirada de CO2, fracción inspirada de O2, tren de 4 y cuenta post-tetánica (TOF-Watch® SX).

Mediciones de presión intraabdominal

Se obtuvo la presión de insuflación (PInf) de CO2 a través de su registro notificado por la pantalla del insuflador electrónico (Karl Storz-endoskope) del laparoscopio, el cual informa presiones continuas en tiempo real. El aparato permite ajustar una presión máxima de seguridad, misma que fue limitada a 14 mmHg (Figura 1A).

Figura 1: Insuflador electrónico (A) y manómetro digital manual con su llave de tres vías y extensión (B)

La medición directa de la presión intraabdominal (PIA) se obtuvo a través de uno de los trocares laparoscópicos intraperitoneales, mismo usado habitualmente como vía liberadora de presión y/o vía de ingreso de instrumental quirúrgico. A este trocar se le adaptó una extensión de 50 cm con una llave de tres vías para ajustar un transductor de presión (jeringa digital AG Cuffill de 10 cm de volumen). El sensor fue previamente calibrado a un valor de 0 cmH2O a presión ambiental. Una vez calibrado se abrió el sistema para el registro intraperitoneal. El valor fue dividido a una constante de 1.36 para su conversión a mmHg (Figura 1B).

Análisis estadístico

Se obtuvieron medidas de resumen de las características de los pacientes en frecuencias simples y porcentajes, así como promedios en medianas y rangos cuartílicos al ser un grupo pequeño. Para fines de nuestros objetivos se analizaron las mediciones por momentos y no por paciente. Cada uno de los pacientes aportó al menos seis momentos de medición. Para cada momento se obtuvieron mediciones pareadas de las presiones PInf y PIA. La correlación entre las mediciones se analizó con el coeficiente de Pearson. Para determinar la diferencia o concordancia real se estableció por el método de Bland y Altman (porcentajes de concordancia y discordancia mayores o menores con respecto a la PIA). Para determinar la medición que mejor predecía los cambios hemodinámicos, se realizaron correlaciones entre cada una de ellas (PInf o PIA) con la frecuencia cardiaca y las presiones arteriales (sistólica, diastólica y media), a través de la correlación de Pearson. Por último, se correlacionó el porcentaje de bloqueo neuromuscular con la PIA.

Todos los análisis se realizaron con el paquete estadístico SPSS versión 20®; se consideró un nivel de significancia estadística de p < 0.05.

Resultados

Se estudiaron ocho pacientes cuyas características se muestran en el Cuadro 1. En ellos se analizaron un total de 54 mediciones.

Cuadro 1: Características de los pacientes sometidos a cirugía laparoscópica (n = 8). 

Comparación entre la presión intraabdominal determinada por la insuflación (PInf) y la medida directamente (PIA)

Con el análisis de las 54 mediciones pareadas se encontró una correlación positiva de 0.86 (Pearson, p < 0.001, R2 = 0.74, Figura 2); sin embargo, al analizar la concordancia de las mediciones, en el 14.1% de ellas el valor de la PIA fue menor al de la PInf, en el 27.8% de ellas el valor de PIA fue igual que PInf, y en el 59.3% el valor de PIA fue superior a PInf.

Figura 2: Correlación entre la presión obtenida por medición directa (PIA) y la enviada por insuflación en el laparoscopio (PInf). Línea continua es la de regresión y las punteadas el intervalo de confianza al 95% de las mismas (N = 54 mediciones pareadas). En algunos puntos hay superposición de valores. 

Correlación de las presiones y la condición hemodinámica

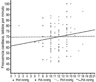
En las Figuras 3, 4 y 5 se muestra el comportamiento hemodinámico de los pacientes durante la anestesia. La correlación de la frecuencia cardiaca fue mejor cuando se contrastó con la medición de la PIA (r = 0.16, p = 0.24) que con la obtenida por PInf (r = 0.009, p = 0.94). Aunque hubo pocas variaciones se observaron tres eventos con frecuencia cardiaca de < 50 latidos por minuto (47,48 y 49 latidos por minuto); por PInf fueron vistos a presiones 12 mmHg los tres (uno con 8 y dos con 12 mmHg) y por PIA a presiones 10 mmHg (uno con 9 y dos con 10 mmHg). La taquicardia mayor de 90 latidos por minuto (93 y 100 latidos por minuto) fue registrada a presiones de 14 mmHg por PInf a presiones de 18 y 15 mmHg por PIA respectivamente.

Figura 3: Correlación entre las presiones intraabdominales medidas directamente (PIA, cuadros) y la registrada por el insuflador (PInf, triángulos) con respecto a la frecuencia cardiaca, N = 54 mediciones. Correlación de r de Pearson: PInf (línea punteada) = 0.009, p = 0.94 y PIA (línea continua) = 0.16, p = 0.24. 

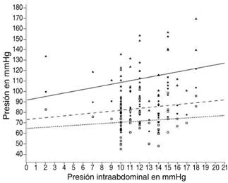
Figura 4: Correlación de las presiones arterial sistólica (triángulos), media (círculos) y diastólica (cuadrados) con la presión intraabdominal medida directamente, N = 54 mediciones. Correlación r de Pearson para presión sistólica (línea continua) = 0.22, p = 0.10; diastólica (línea barras) = 0.12, p = 0.35 y media (línea punteada) = 0.16, p = 0.24. 

Figura 5: Correlación de las presiones arterial sistólica (triángulos), media (círculos) y diastólica (cuadrados) con la presión intraabdominal de insuflación (PInf), N = 54 mediciones. Correlación r de Pearson para presión sistólica (línea continua) = -0.005, p = 0.96; diastólica (línea barras) = -0.05, p = 0.72 y media (línea punteada) = -0.05, p = 0.70. 

De la misma manera, las presiones arteriales mostraron mejor correlación con la PIA (Figura 4), que con la PInf (Figura 5). Con la PIA las presiones arteriales fueron positivas (no estadísticamente significativas) mientras que con la PInf no hubo correlación o fueron discretamente negativas (ninguna estadísticamente significativa).

Relación entre el nivel de bloqueo neuromuscular y la presión intraabdominal

En la Figura 6 se muestra un bloqueo neuromuscular con un porcentaje de respuesta menor del 25%; las presiones intraabdominales medidas directamente fueron en su mayoría menores a 14 mmHg; sólo hubo tres eventos con presiones más altas (15, 16 y 17 mmHg). Así mismo, cuando el bloqueo se encontraba con porcentajes arriba del 75% de respuesta neuromuscular, las presiones intraabdominales fueron por arriba de 15 mmHg. Sólo un paciente tuvo una respuesta neuromuscular alta con una presión menor de 3 mmHg; esto se debió a que fue revertido su bloqueo neuromuscular al retiro del neumoperitoneo y en él se tomó una presión basal al final de la cirugía.

Figura 6: Relación entre las presiones intraabdominales medidas directamente (PIA) y la respuesta del bloqueo neuromuscular medido por tren de 4, en ocho pacientes en distintos tiempos de la anestesia (N = 54). 

Por último, no encontramos complicaciones ni eventualidades durante la toma de las mediciones, así como tampoco se interfirió con el procedimiento laparoscópico.

Discusión

El control de la presión intraabdominal durante la cirugía laparoscópica evita la aparición de alteraciones hemodinámicas importantes y facilita el manejo anestésico de los pacientes.1,3,10-12 Por ello, es necesario tener un registro preciso de sus niveles. Nuestro estudio nos mostró que la medición intraabdominal directa, aunque correlaciona con la marcada en la presión de insuflación (r = 0.86), en realidad no concuerda con ella (sólo el 27% es igual), sobre todo en mediciones donde la presión directa marcó valores más altos que la PInf (59.3% de las mediciones), en general 2 mmHg más. La importancia es que a valores altos es más frecuente encontrar modificaciones hemodinámicas ya referidas previamente en los antecedentes. Al existir una discrepancia nos dimos a la tarea de establecer cuál de las mediciones tenía mejor correlación con las cifras de frecuencia cardiaca y presión arterial. La saturación, como en todo momento se mantuvo estable, no fue considerada. A este respecto, fue la PIA la que presentó mejor correlación (positiva) con las cifras hemodinámicas. En general, cuando la PIA incrementó, también hubo incremento en la frecuencia cardiaca y la presión arterial (predominantemente la sistólica). Esta correlación no fue muy alta dadas las condiciones en general de estabilidad de nuestros pacientes en donde incrementos importantes (taquicardia-bradicardia, o hipertensión-hipotensión) fueron muy escasos. Esta correlación positiva ente la presión intraabdominal y los cambios hemodinámicos ya ha sido previamente referida.1,3,4,12 Por otro lado, como se observó en nuestros resultados, no hubo correlación de las variables hemodinámicas con la PInf. De esta forma, esta última podría no ser confiable para la vigilancia de los pacientes.

Otro aspecto importante por mencionar fue la relación que hubo de la PIA con el nivel de bloqueo neuromuscular. Éste, al ser importante, permitió menores presiones y flujos; estos últimos no analizados por nosotros, necesarios para una mejor manipulación de los procedimientos laparoscópicos.

Consideramos que la medición directa es un procedimiento relativamente sencillo y que no interfiere con el tiempo ni maniobras del cirujano. Puede realizarse por el anestesiólogo a través de la vía alterna. En ninguno de los procedimientos tuvimos comentarios negativos por parte de los cirujanos. El aparato utilizado está fácilmente disponible. Así mismo, el procedimiento es menos invasivo y riesgoso para infecciones adquiridas como son el uso de sensores colocados dentro de la vejiga o el estómago.15-17

Una inquietud siempre presente es el fenómeno de la obesidad como limitante para una buena medición de la presión intraabdominal, aunado a la posibilidad de un mal control de la presión en estos pacientes. Nosotros sólo tuvimos un paciente obeso y no encontramos diferencias en la dificultad para medir la presión. Cuando menos en este paciente sólo hubo un evento de presión arterial media alta (99 mmHg) no asociada a una PIA elevada (10 mmHg). Sin embargo, aún son necesarios más estudios para analizar mejor a estos pacientes.

Por el momento podemos concluir que la medición directa a través de un trocar del laparoscopio permite determinar mejor la presión intraabdominal, la cual se relaciona mejor con las variaciones hemodinámicas asociadas a sus cambios.

Referencias bibliográficas

1. Enciso-Nano J. Anestesia en cirugía laparoscópica: implicancias. Rev Horiz Med. 2012; 12 (3): 47-53. [ Links ]

2. Muñoz-Cuevas JH. Importancia de la relajación neuromuscular en cirugía laparoscópica. Rev Mex Anest. 2014; 37 (S1): S113-S117. [ Links ]

3. Hypolito O, Azevedo JL, Gama F, Azevedo O, Miyahira SA, Pires OC et al. Efectos de la presión elevada del neumoperitoneo artificial sobre la presión arterial invasiva y los niveles de los gases sanguíneos. Rev Bras Anestesiol. 2014; 64 (2): 98-104. [ Links ]

4. Maíllo C, Martín E, López J, Jover JM, Martínez J, Margalet I et al. Efecto del neumoperitoneo en la hemodinámica venosa durante la colecistectomía laparoscópica. Influencia de la edad de los pacientes y del tiempo de cirugía. Med Clin. 2003; 120 (9): 330-334. [ Links ]

5. Álvarez-Gómez JA, Ariño-Irujo JJ, Errando-Oyonarte CL, Martínez-Torrente F, Roigé i Solé J, Gilsanz-Rodríguez F. Empleo clínico de bloqueantes neuromusculares y su reversión. Recomendaciones del grupo de expertos de la Sociedad Española de Anestesiología, Reanimación y Tratamiento del Dolor. Rev Esp Anestesiol Reanim. 2009; 56 (10): 616-627. [ Links ]

6. Mencke T, Echternach M, Plinkert PK, Johann U, Afan N, Rensing H et al. Does the timing of tracheal intubation based on neuromuscular monitoring decrease laryngeal injury? A randomized, prospective, controlled trial. Anesth Analg. 2006; 102 (1): 306-312. [ Links ]

7. Hayes AH, Mirakhur RK, Breslin DS, Reid JE, McCourt KC. Postoperative residual block after intermediate-acting neuromuscular blocking drugs. Anaesthesia. 2001; 56 (4): 312-318. [ Links ]

8. Ariño-Irujo JJ, Calbet-Mañueco A, De la Calle-Elguezabal PA, Velasco-Barrio JM, López-Timoneda F, Ortiz-Gómez JR et al. Monitorización del bloqueo neuromuscular. 1ª parte. Rev Esp Anestesiol Reanim. 2010; 57 (3): 153-160. [ Links ]

9. Ortiz-Gómez JR, Fabregat-López J, Palacio-Abizanda FJ, Fornet-Ruiz I, Pérez-Cajaraville J, Ariño-Irujo JJ et al. Monitorización del bloqueo neuromuscular. 2ª parte. Rev Esp Anestesiol Reanim. 2010; 57 (3): 161-172. [ Links ]

10. Linares-Quevedo AI, Burgos-Revilla FJ, Villafruela-Sanz JJ, Zamora-Romero J, Pascual-Santos J, Marcén-Letosa R et al. Análisis comparativo de las modificaciones hemodinámicas y del flujo sanguíneo renal (FSR) durante la nefrectomía abierta y laparoscópica: modelo experimental. Actas Urol Esp. 2007; 31 (4): 382-393. [ Links ]

11. Brasesco OE, Szomstein S, Mailapur RV, Zundel N, Rosenthal RJ. La patofisiología del pneumoperitoneo. Diez años de estudios en busca de una teoría unificadora. Rev Mex Cir Endoscop. 2002; 13 (3): 101-108. [ Links ]

12. Malley CO, Cunningham AJ. Cambios fisiológicos durante la laparoscopia. Clin Anest N Am. 2001; 1: 1-18. [ Links ]

13. Phillips G, Garry R, Kumar C, Reich H. How much gas is required for initial insufflation at laparoscopy? Gynaecol Endosc. 1999; 8 (6): 369-374. [ Links ]

14. Shamiyeh A, Wayand W. Laparoscopic cholecystectomy: early and late complications and their treatment. Langenbecks Arch Surg. 2004; 389 (3): 164-171. [ Links ]

15. Turnbull D, Webber S, Hamnegard CH, Mills GH. Intra-abdominal pressure measurement: validation of intragastric pressure as a measure of intra-abdominal pressure. Br J Anaesth. 2007; 98 (5): 628-634. [ Links ]

16. Castañón-González JA, Satué-Rodríguez J, Carrillo RF, Polanco-González C, Miranda-Ruíz R, Camacho-Juárez S. Nueva técnica y dispositivo para medir la presión intraabdominal. Cir Cir. 2013; 81 (2): 112-117. [ Links ]

17. Balogh Z, Jones F, D'Amours S, Parr M, Sugrue M. Continuous intra-abdominal pressure measurement technique. Am J Surg. 2004; 188 (6): 679-684. [ Links ]

18. Demyttenaere S, Feldman LS, Fried GM. Effect of pneumoperitoneum on renal perfusion and function: a systematic review. Surg Endosc. 2007; 21 (2): 152-160. [ Links ]

Aprobado: 02 de Enero de 2017

*Autor para correspondencia: Liliana Silva Sánchez. Correo electrónico: lilianamorelia@gmail.com

Creative Commons License Este es un artículo publicado en acceso abierto bajo una licencia Creative Commons