SciELO - Scientific Electronic Library Online

 
vol.11 número1Fertilización y demanda nutrimental NPK de Swietenia macrophylla King y Cedrela odorata L. en desarrolloEstrategias forrajeras del borrego cimarrón (Ovis canadensis mexicana) en el noreste de México índice de autoresíndice de materiabúsqueda de artículos
Home Pagelista alfabética de revistas  

Servicios Personalizados

Revista

Articulo

Indicadores

Links relacionados

  • No hay artículos similaresSimilares en SciELO

Compartir


Ecosistemas y recursos agropecuarios

versión On-line ISSN 2007-901Xversión impresa ISSN 2007-9028

Ecosistemas y recur. agropecuarios vol.11 no.1 Villahermosa ene./abr. 2024  Epub 16-Ago-2024

https://doi.org/10.19136/era.a11n1.3866 

Artículos científicos

Producción de acelga (Beta vulgaris var. cicla L.) en sistemas hidropónicos y acuapónicos

Chard (Beta vulgaris var. cicla L.) production in hydroponic and aquaponic systems

Javier M. J. Ruiz-Velazco1 
http://orcid.org/0000-0003-1193-2164

Griselda de La Paz-Rodriguez2 

Alfredo Hernandez-Llamas3 
http://orcid.org/0000-0001-6369-6963

Nallely Estrada-Perez1  * 
http://orcid.org/0000-0003-3343-3147

1Escuela Nacional de Ingeniería Pesquera, Universidad Autónoma de Nayarit, Bahía de Matanchén, Km 12, Carretera a los Cocos, CP. 63740. San Blas, Nayarit, México.

2Programa de Biología, Unidad Académica de Agricultura de la Universidad Autónoma de Nayarit. Km 9, carretera Tepic - Compostela, CP. 63780. Xalisco, Nayarit. México.

3Programa de Acuicultura, Centro de Investigaciones Biológicas del Noroeste (CIBNOR). Av. Instituto Politécnico Nacional, 195, Playa Palo de Santa Rita, CP.23096. La Paz, B.C.S., México.


RESUMEN

La hidroponía es la tecnología de la agricultura sin suelo, en la que las plantas crecen en un medio acuático. Mientras que la acuaponía es un sistema de producción de alimentos en rápido crecimiento que integra la hidroponía con la acuicultura (cultivo de peces). El objetivo de este estudio fue comparar la producción de acelga (Beta vulgaris var. Cicla L.) mediante un sistema hidropónico típico y un sistema acuapónico de producción de tilapia (Oreochromis niloticus) en invernadero. Se utilizaron seis sistemas de recirculación independientes para comprobar la producción por triplicado. Un análisis de regresión lineal simple indicó que la tasa de producción de hojas difirió de forma significativa entre sistemas (p < 0.05), ya que en el hidropónico se obtuvieron 3.46 hojas semana-1, mientras que en el acuapónico fue de 1.53 hojas semana-1. La biomasa vegetal aumentó 53.91 g semana-1 en el tratamiento hidropónico y 38.24 g semana-1 en el acuapónico, aunque dichas tasas de producción no difirieron significativamente (p>0.05). No se detectaron diferencias significativas en las concentraciones de amonio (NH4 +), nitrito (NO2 -), y fosfato (PO4 +) en ambos tratamientos; pero se encontraron diferencias significativas para nitratos (NO3 -) entre sistemas (p < 0.05). La producción de acelgas en el sistema hidropónico fue mayor que en el sistema acuapónico en cuanto al número de hojas y la biomasa.

Palabras clave: Biomasa; nutrientes; plantas; tilapia; recirculación

ABSTRACT

Hydroponics is the technology of soil-less agriculture, in which plants are grown in an aquatic environment. While aquaponics is a fast-growing food production system that integrates hydroponics with aquaculture (fish farming). The objective of this study was to compare the production of chard (Beta vulgaris var. cicla L.) using a typical hydroponic system and an aquaponic system for tilapia (Oreochromis niloticus) production in a greenhouse. Six independent recirculation systems were used to test production by triplicate. Simple linear regression analysis showed that leaf production rate differed significantly between systems (p < 0.05), where the hydroponic trial produced 3.46 leaves week-1 and the aquaponic trial 1.53 leaves week-1. Plant biomass increased by 53.91 g week-1 in the hydroponic and 38.24 g week-1 in the aquaponic treatment, although these production rates did not differ significantly (p > 0.05). No significant differences were detected in the concentrations of ammonium (NH4 +), nitrite (NO2 -), and phosphate (PO4 +) between the treatments; however, significant differences were found for nitrate (NO3 -) between the systems (p < 0.05). Chard production in the hydroponic system was higher than in the aquaponic system in terms of leaf number and biomass.

Keywords: Biomass; nutrients; plants; tilapia; recirculation

Introducción

La disminución de los suelos fértiles y la baja disponibilidad de terrenos adecuados para la producción de hortalizas debido al cambio climático y a la urbanización, ha conllevado al estudio de sistemas de producción innovadores, como la hidroponía y la acuaponía, para el cultivo de plantas de alto valor como la acelga (Hlophe et al. 2019). Dichos sistemas de producción ocupan un lugar destacado entre las tecnologías modernas para el cultivo de plantas sin suelo (Khan 2018). La hidroponía, por definición, es un sistema de cultivo sin suelo con sustratos inertes o no agregados, con plantas cuyas raíces alcanzan una solución nutritiva aireada, que puede ser fluida o estática. Las técnicas de cultivo en solución o líquido incluyen a la acuaponía, un método circular en sistemas cerrados (Fussy y Papenbrock 2022). La acuaponía es un tipo de técnica de agricultura sostenible que incorpora dos o más componentes: la hidroponía (vegetales o plantas), la acuicultura (peces) y las bacterias beneficiosas en una relación simbiótica (Dediu et al. 2012, Krastanova 2022).

La mayoría de los sistemas hidropónicos aplicados en estudios de acuaponía desde 1993 hasta 2017 se basan en el uso de sustrato como medio de cultivo, seguidos por los que usan balsas flotantes y el NFT o Técnica de película de nutrientes (Maucieri et al. 2018). En la mayoría de los casos, solo se cultiva una sola especie de planta y de pez (Suárez-Cáceres et al. 2021), siendo las más utilizadas la lechuga (Lactuca sativa), la espinaca de agua (Ipomea aquatica) y el tomate (Lycopersicum esculentum); y en sexto lugar la acelga (Beta vulgaris) (Maucieri et al. 2018). Las ventajas de la hidroponía sobre los sistemas convencionales es el crecimiento rápido, mayor productividad, manejo más sencillo, mayor eficiencia hídrica (Barbosa et al. 2015) y un menor uso de fertilizantes (Rana et al. 2011, da-Silva-Cuba et al. 2015). La acuaponía moderna se remonta a las décadas de los setenta y ochenta, con los experimentos del New Alchemy Institute y las innovaciones en los sistemas de recirculación propuestos por McMurtry et al. (1993), 1997), quienes crearon el primer sistema acuapónico con tilapia y tomate (Fox et al. 2010, Gómez-Merino et al. 2015, König et al. 2018).

En la acuaponía, los nutrientes derivados de la descomposición de las heces, el alimento y las algas provenientes del sistema acuícola, son removidos del agua por las rizobacterias presentes en la raíz de las plantas, lo que favorece su crecimiento (Diver 2006). Es una tecnología en desarrollo que está ganando popularidad en todo el mundo para la producción comercial, a pequeña escala y de traspatio (Fox et al. 2010, Colt et al. 2021). En varios países, la acuaponía se encuentra en proceso de crecimiento, difusión y experimentación. Sin embargo, más países se están sumando a su implementación debido a la escasez de agua y las regulaciones de eliminación de residuos (Gómez-Merino et al. 2015).

Algunos estudios del cultivo de acelgas en condiciones hidropónicas y acuapónicas reportan el efecto de las densidades de población de peces (2.5 kg m-3 y 4.6 kg m-3) sobre la calidad del agua en el rendimiento del crecimiento de la carpa europea (Cyprinus carpio L.) y de las hortalizas de hoja (catalogna, lechuga y acelga suiza) en un sistema piloto de acuaponía con un cultivo hidropónico, encontrando mayor producción de acelgas en el sistema con control hidropónico que en el tratamiento acuapónico de baja densidad de peces (Maucieri et al. 2019). También se ha reportado el efecto del pH (6.0, 6.5 y 7.0) en un sistema acuapónico de acelgas (Beta vulgaris L.), col rizada (Brassica oleracea L.), mostaza verde (Brassica juncea L.), cilantro (Coriandrum sativos L.), lechuga (Lactuca sativa L.) y rúcula (Eruca vesicaria L.), con tilapia (Oreochromis niloticus) en comparación con el cultivo hidropónico, sugiriendo un pH de 6 para mejorar el rendimiento de los cultivos (Wang et al. 2023). Por otra parte, Ría et al. (2023) compararon el rendimiento de tres distintos sistemas hidropónicos de cultivo de acelga con diferentes colores de pecíolo obteniendo el mejor resultado cuando la acelga se cultivó en un sistema flotante. Mientras que Holguín-Peña et al. (2023) analizaron la eficiencia en el uso del efluente del cultivo de robalo en un sistema acuapónico de acelga, encontrando longitud foliar, área foliar y número de hojas, semejante al que se obtendría en un cultivo tradicional de invernadero o de hidroponía. Con base en dichos antecedentes, el objetivo del presente estudio fue analizar la producción de acelga (Beta vulgaris var. Cicla L.) en sistemas hidropónicos y acuapónicos; incorporando al sistema acuapónico un dispositivo que funciona como biofiltro y clarificador, en sustitución de dispositivos separados para biofiltración y sedimentación que se usan tradicionalmente.

Materiales Y Métodos

Sistemas hidropónico y acuapónico

El trabajo experimental se desarrolló en un invernadero de la Universidad Autónoma de Nayarit (21° 29′ 31″ LN 104° 53′ 31″ LO), en la ciudad de Tepic, Nayarit. El clima es semicálido subhúmedo con temperatura media anual de 20 a 22 °C y precipitación media anual de 1 200 a 1 500 mm (INEGI 2019). El módulo experimental consistió en seis sistemas de recirculación independientes: tres para el ensayo hidropónico y tres para el acuapónico. El sistema de recirculación utilizado para el ensayo hidropónico consistió en un tanque cilíndrico de plástico de 200 L (0.56 m de diámetro, 1.0 m de altura y 0.183 m3 de agua) que contenía nutrientes (Formulación de solución nutritiva universal al 50%) y drenaba por gravedad a un tanque de concreto pulido (4.20 m de largo, 0.9 m de ancho y 0.19 m de profundidad; sostenido en columnas de 1 m de altura y lleno con 0.5 m3 de agua). En el tanque de concreto se colocó una balsa flotante (4.1 m de largo, 0.8 m de ancho y 0.05 m de grosor) de poliestireno extruido con 48 agujeros de 0.05 m para colocar las plantas de acelga. El agua del tanque de concreto se recicló de forma continua al tanque cilíndrico por medio de una bomba de 2 500 L h-1 de capacidad (Sunny SFP-500, China). Para colocar las plantas de acelga se utilizaron vasos de plástico (base superior: 5.08 cm, base inferior: 3.048, altura: 5.08 cm) llenados con piedras pómez y colocados en los agujeros hechos en la balsa flotante. El tanque cilíndrico y el de concreto con las plantas, se aireo de forma continua con una bomba de 100 a 200 L (Aqua-krill 2688, China) y piedras difusoras (Figura 1).

Para el ensayo de acuaponía se utilizó el mismo sistema de recirculación. Pero las tilapias se colocaron en los tanques cilíndricos (200 L), y se utilizó un biofiltro-clarificador que consistió en un recipiente de plástico negro que contenía tubos flexibles, guata blanca filtrante y un tamiz de malla (Figura 2), que se conectó entre el tanque de peces y el tanque hidropónico (tanque de concreto). En este biofiltro-clarificador se utilizó un dispositivo para retener el material sólido y trozos de manguera corrugada como sustrato para fijar las bacterias (Nitrobacter y Nitrosomonas).

Figura 1 Diseño del módulo experimental. 

Figura 2 Diseño del biofiltro-clarificador 

Ensayos experimentales

Las plantas de acelgas se cultivaron durante 16 semanas y se podaron cada semana de acuerdo al tamaño comercial de 25.0 cm (Valadez 1998, García y Magaña 2014). Previo a los ensayos, las semillas de acelgas se sembraron en bandejas de hielo seco de 242 cavidades que se llenaron con sustrato Cosmo Peat®, para luego depositar una semilla en cada cavidad y regar por aspersión dos veces al día. Después de cuatro semanas, las plantas se transfirieron de las bandejas a los vasos de plástico de las balsas flotantes de poliestireno. Se seleccionaron al azar 16 de los 48 huecos de las balsas y se asignaron aleatoriamente las plantas a los huecos seleccionados. Esta distribución dio lugar a una densidad de 5 plantas por m2 y a un total de 48 plantas por cada tratamiento (16 por cada replicación).

Para nutrir las plantas de acelga en el ensayo hidropónico se utilizó una solución nutritiva universal al 50% (Steiner 1984) (Tabla 1). El agua que contenía los nutrientes en el sistema de recirculación se renovó cada tres semanas. De acuerdo con lo recomendado por Rakocy et al. (2004), se proporcionaron nutrientes (calcio y hierro) mediante aspersión a las plantas de acelga en el ensayo acuapónico una vez a la semana por la mañana. Cada semana se aplicó por aspersión un litro de quelato de calcio y un litro de quelato de hierro sobre la totalidad de las plantas del sistema acuapónico a concentraciones de 5 mL L-1 y 1.0 g L-1, respectivamente. También se midió la longitud y ancho de todas las hojas que alcanzaron el tamaño comercial y se registró el peso total y número de hojas cosechadas.

Tabla 1 Formulación de la solución nutritiva universal de Steiner al 50%. 

Nutriente Concentración (meq L-1)
NO3 - 6.0
H2PO4 - 0.5
SO4 -2 3.5
K+ 3.5
Ca+2 4.5
Mg+2 2.0

Los micronutrientes se suministraron a partir del producto comercial ultrasolmicro® 10 g.

Para el experimento se utilizaron tilapias juveniles (81 individuos con un peso individual promedio de 57.1 g) provenientes de una granja comercial. Tras aclimatarse a las condiciones del invernadero, la población de tilapia se dividió en tres grupos de aproximadamente la misma biomasa (1.5 kg por grupo), y los grupos se asignaron aleatoriamente a los tanques cilíndricos. Después de seis semanas, la biomasa de tilapia se ajustó a 1.94 ± 0.32 kg (27 individuos) por tanque. El ensayo de crecimiento duró 16 semanas, y los peces fueron alimentados en tres raciones al día (equivalentes en total al 11% de la biomasa de peces) con una dieta conteniendo 35% de proteína.

Después de seis semanas de iniciado el ensayo, se obtuvieron cada semana muestras aleatorias de ocho individuos de cada tanque para determinar su longitud y peso con un vernier de precisión de 0.1 cm y una balanza digital de precisión de 0.1 g (Ohaus Corp., Prine Brook, NJ). La supervivencia se estimó cada semana contando los organismos muertos.

Variables ambientales y calidad del agua

La temperatura del aire y la humedad relativa del invernadero se midieron todos los días a las 7:00 y 19:00 horas con un termohigrómetro (TFA, modelo: 30.5000.02, Alemania). Mientras que las variables de calidad del agua se midieron todos los días 7:00 y 19:00 h. La temperatura, el oxígeno disuelto y el pH, se midieron en los tanques cilíndricos y en los tanques de concreto que contenían las plantas con un oxímetro digital portátil (YSI 55, Ohio, EE.UU.) y un potenciómetro digital (HANNA HI98129, Woonsocket, Rhode Island, EE.UU). Además, se tomaron muestras semanales de agua para estimar la concentración de amonio (NH4 +), nitritos (NO2 -), nitratos (NO3 -) y fosfatos (PO4 -), que se determinaron por espectrofotometría con un lector de microplacas BioTek Synergy HTX siguiendo la metodología descrita en Strickland y Parsons (1972).

Análisis estadístico

De acuerdo con las pruebas de Shapiro-Wilk´s y Bartlet las variables de producción y calidad del agua se distribuyeron normalmente con varianza homogénea. Se utilizó un análisis de varianza (ANDEVA) de una vía para detectar posibles diferencias en las variables de calidad del agua, así como para comparar, al primer corte, el número de hojas, biomasa, ancho y longitud de hoja de acelga entre los tratamientos. Para el análisis de varianza se utilizaron los procedimientos disponibles en los programas Statistica 7.0 (StatSoft, Tulsa, OK) y Stata 10 (StataCorp, College Station, TX) fijando la significación en α = 0.05.

Con el objetivo de comprobar el aumento o disminución de las tasas de crecimiento del número de hojas, biomasa, ancho y longitud de hoja de acelga a medida que se incrementó el número de cortes en el ensayo, se realizaron análisis de regresión lineal simple para determinar los valores de las pendientes (coeficientes de regresión) o tasas de crecimiento para cada tratamiento. Posteriormente, se realizó la prueba de comparación de pendientes para determinar diferencias estadísticas entre los tratamientos en las tasas de crecimiento (pendientes) de las variables de producción antes referidas. Para dicha comparación se utilizó el software estadístico desarrollado por UCLA (2021) fijando la significación en α = 0.05.

Resultados

Variables ambientales

La temperatura dentro del invernadero varió de 17 a 20.5 °C durante el periodo de poda, con tendencia a disminuir durante el mismo, mientras que la humedad relativa varió de 64 a 82%, con tendencia a disminuir durante la primera mitad del periodo experimental y a estabilizarse durante la segunda mitad (Tabla 2). Durante el periodo de poda, en los tanques de concreto que contenían plantas, no se encontraron diferencias significativas (p > 0.05) en la calidad del agua entre los sistemas hidropónico y acuapónico (Tabla 2).

Nutrientes

No se encontraron diferencias significativas de los metabolitos nitrogenados como el amonio, nitritos y fosfatos entre ambos tratamientos, a excepción de los nitratos (p < 0.05), los que fueron significativamente superiores en el tratamiento hidropónico (Tabla 3).

Producción de acelgas y tilapia

Al final del cultivo, no se detectaron diferencias significativas (p > 0.05) entre el ancho y longitud promedio de las hojas de acelga obtenidas con el sistema hidropónico y el acuapónico. El número promedio de hojas cosechadas y la biomasa vegetal media en el sistema hidropónico fueron significativamente superiores (p < 0.05) al obtenido en el sistema acuapónico (Tabla 4).

Tabla 2 Valores estadísticos de las diferentes variables ambientales, físicas y químicas de los subsistemas de los tratamientos hidropónicos y acuapónicos. 

Media Confianza -95% Confianza +95 Mínimo Máximo Rango Desviación estándar Error estándar
Variables ambientales del invernadero
HR (%) 74.03 70.82 77.24 64.71 81.14 16.43 4.49 1.42
TA (°C) 18.37 17.51 19.23 16.95 20.41 3.46 1.20 0.38
Tanques de peces
pH 7.37 7.18 7.56 6.55 9.28 2.74 0.50 0.09
T (°C) 22.50 21.90 23.11 19.35 24.95 5.60 1.62 0.30
OD (mg L-1) 3.94 3.70 4.18 2.89 4.98 2.09 0.64 0.12
Sistemas hidropónicos
pH 7.45a 7.25 7.65 6.77 9.32 2.55 0.53 0.10
T (°C) 22.54a 21.96 23.12 19.70 25.15 5.45 1.55 0.28
OD (mg L-1) 4.07a 3.83 4.31 2.36 5.51 3.15 0.64 0.12
Sistemas acuapónicos
pH 7.44a 7.26 7.63 6.80 9.31 2.51 0.50 0.09
T (°C) 22.47a 21.88 23.06 19.35 24.90 5.55 1.57 0.29
OD (mg L-1) 4.05a 3.81 4.29 2.44 5.16 2.72 0.64 0.12

HR: Humedad relativa, TA: Temperatura ambiente, pH: Potencial hidrógeno, T: Temperatura del agua: OD: Oxígeno disuelto. Letras diferentes en la misma columna (media) significan diferencias significativas (P < 0.05).

Tabla 3 Valores medios ± error estándar de las concentraciones de amonio (NH4 +), nitritos (NO2 -), nitratos (NO3 -) y fosfatos (PO4 +) (mg L-1) en tanques de peces y camas de cultivo en ambos tratamientos. 

Hidroponía Acuaponía
Nutriente Tanque de peces Camas de plantas Tanque de peces Camas de plantas
NH4 + 0.069 ± 0.026a 0.058 ± 0.025a 0.163 ± 0.039a 0.132 ± 0.018a
NO2 - 0.108 ± 0.016a 0.158 ± 0.021a 0.126 ± 0.005a 0.122 ± 0.002a
NO3 - 63.68 ± 37.109a 93.54 ± 5.854b 19.45 ± 0.835a 18.73 ± 0.864a
PO4 + 08.669 ± 0.736a 9.096 ± 0.684a 09.29± 0.025a 09.06± 0.203a

Letras diferentes en la misma fila significan diferencias significativas (P < 0.05).

En el primer corte de acelga, se encontró que el ancho, longitud promedio y número de hojas de acelga fueron significativamente mayores (p < 0.05) en el sistema hidropónico que en el acuapónico. No se detectaron diferencias significativas en la biomasa vegetal media entre ambos sistemas (Tabla 4).

Tabla 4 Valores medios ± error estándar de las variables de rendimiento en el último y primer corte de acelga en los sistemas hidropónico y acuapónico. 

Hidroponía Acuaponía Valor-P
Último corte
Variable
Ancho (cm) 12.66 ± 1.34a 12.74 ± 1.29a 0.826
Longitud (cm) 29.03 ± 3.04a 29.51 ± 3.05a 0.540
Número de hojas 56.56 ± 2.57a 44.56 ± 1.81b 0.00034
Biomasa (g) 1166.75 ± 58.08a 903.87 ± 41.24b 0.0005
Primer corte
Ancho (cm) 14.41 ± 0.31a 12.37 ± 0.79b 0.014
Longitud (cm) 33.19 ± 0.39a 30.78 ± 1.12b 0.025
Número de hojas 45.67 ± 3.21a 39.00 ± 2.00b 0.038
Biomasa (g) 1232.15 ± 461.85a 542.13 g ± 114.37a 0.066

Letras diferentes en la misma fila significan diferencias significativas (P < 0.05).

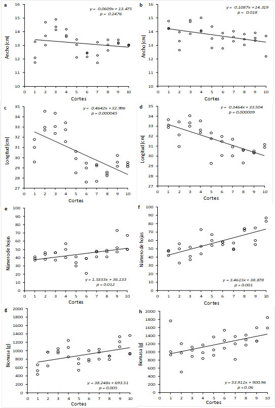
Los resultados del análisis de regresión lineal mostraron que, excepto en el caso del ancho de las hojas del sistema acuapónico, el crecimiento del ancho y longitud de las hojas disminuyó de forma significativa a medida que se incrementó el número de cortes en ambos sistemas. Las tasas de crecimiento del ancho y longitud de las hojas por corte para el sistema hidropónico fueron de 0.3463 (p = 0.000009) y 0.1087 (p = 0.018) y para el sistema acuapónico de 0.061 (p = 0.2476) y 0.464 (p = 0.000045), respectivamente (Figura 3). Sin embargo, la prueba de comparación de pendientes indicó que dichas tasas de disminución no fueron diferentes entre los tratamientos (p = 0.605 para el ancho de las hojas y p = 0.296 para la longitud de las hojas).

El análisis de regresión lineal simple también mostró que el número de hojas y la biomasa aumentó significativamente a medida que se incrementó el número de cortes. Las tasas de producción de hojas por corte fueron 1.533 para acuaponía, p = 0.012 y 3.4615 para hidroponía, p = 0.001 (Figura 3) y de biomasa por corte 38.248 para acuaponía, p = 0.005 y 53.911 para hidroponía, p = 0.06 (Figura 3). La prueba de comparación de pendientes indicó que la tasa de producción de hojas fue significativamente mayor (p = 0.027) en el sistema hidropónico, mientras que para la producción de biomasa no se encontraron diferencias entre los sistemas (p = 0.466).

El peso medio final de las tilapias fue de 127.7 g, con supervivencia del 95% durante los tratamientos. La producción final de peces fue de 16.38 kg m-3. La producción total acumulada de acelga para el sistema hidropónico fue de 10.45 kg m-2 y para el sistema acuapónico fue de 8.42 kg m-2 (Tabla 5).

Figura 3 Líneas de regresión ajustadas de lo ancho y longitud de la hoja de acelga en los sistemas acuapónico (a, c) e hidropónico (b, d); del número de hojas y de la biomasa de acelga en los sistemas acuapónico (e, g) e hidropónico (f, h) en función del número acumulado de cortes. 

Tabla 5 Valores medios de las variables de rendimiento de peces y plantas en los sistemas hidropónicos y acuapónicos. 

Peces Plantas
Hidroponía Acuaponía
Peso final (g) 127.75 Número de hojas m-2 172 136
Producción final (kg m-3) 16.38 Producción acumulada (kg m-2) 10.45 8.42

Discusión

El rango óptimo de temperatura y humedad relativa para el crecimiento vegetativo de las plantas de acelga es de 16 a 25 °C y de 60 a 80%, respectivamente (Sádaba et al. 2010). De acuerdo con lo anterior, la temperatura (17.0 - 20.5 °C) y la humedad relativa (65 - 81%) que se tuvieron en el invernadero son condiciones ambientales adecuadas para el desarrollo de las plantas de acelga.

Los rangos recomendados de temperatura del agua, oxígeno disuelto y pH para el cultivo de tilapia son 27-32 °C, 2-5 mg L-1 y 6.5-8.5 (Vega-Villasante et al. 2009). Otros autores indican que la tilapia tolera brevemente temperaturas extremas de 14 y 36 °C del agua, no se alimentan ni crecen por debajo de 17 °C y mueren por debajo de 12 °C (Somerville et al. 2022). El crecimiento de los peces es un proceso complejo afectado por muchos factores abióticos, y la temperatura es uno de los más importantes (Santos et al. 2013). En los tanques que se utilizaron en este estudio para el cultivo de tilapia, la temperatura del agua (23.14 ± 1.78 °C), el oxígeno disuelto (3.70 ± 0.76 mg L-1) y el pH (7.13 ± 0.64) variaron dentro de rangos adecuados para el cultivo. Pero la temperatura tendió a disminuir durante el periodo de cultivo, alcanzando el mínimo recomendable al final, debido al descenso de la temperatura atmosférica (desde finales de otoño hasta el invierno). Es muy probable que ello sea la causa de las menores tasas de crecimiento obtenida de la tilapia (0.77 g por día) en comparación con las tasas de crecimiento reportada de 3.295 g por día (De Lima et al. 2014).

La calidad del agua es esencial desde el punto de vista químico y microbiológico para el crecimiento de las plantas en sistemas hidropónicos (Gilsanz 2007). Al respecto, Somerville et al. (2022), establecen que las plantas de acelgas crecen mejor a temperaturas de 18 a 26 °C. La temperatura media del agua en los tanques utilizados para el crecimiento de las plantas en este estudio (22.5 °C) coincide con lo recomendado por dichos autores para el crecimiento de las acelgas; además, es similar a las reportadas para el cultivo de acelga por Holguín-Peña et al. (2023) (23.29 a 23.91 °C), Maucieri et al. (2019) (21.1 °C) y Wang et al. (2023) (22 °C) en sistemas acuapónicos e hidropónicos.

Para la concentración de oxígeno disuelto se reporta que contenidos inferiores a 3-4 mg L-1 perjudican el crecimiento de las raíces y las vuelven parduscas, primer síntoma de falta de oxígeno (Gislerød y Adams 1983, Thakur et al. 2023). En esta investigación, el oxígeno disuelto fue de 3.3-4.6 mg L-1 y el color de las raíces normal. Se considera que la concentración de oxígeno fue aceptable ya que, si bien fue menor de 5.5 mg L-1 reportada por Maucieri et al. (2019), superó lo recomendado como tolerancia general para las plantas (>3 mg L-1) (Somerville et al. 2022). Los valores del oxígeno disuelto deben estar por encima de 2 mg L-1 para obtener una nitrificación eficiente (Losordo et al. 1999), esta condición se pudo observar en los sistemas acuapónicos donde se utilizó el biofiltro-clarificador demostrando que mejoró las condiciones para la nitrificación.

Se han hecho distintas consideraciones generales sobre el efecto del pH en la producción de plantas en condiciones hidropónicas y acuapónicas. Al respecto, Zou et al. (2016) y Wang et al. (2023) afirman que la reducción del nivel de pH de 7 a 6 mejora la masa fresca y seca de las especies vegetales evaluadas en sistemas acuapónicos, sin impacto negativo en el rendimiento de los peces. Mientras que Wang et al. 2023 consideran que la reducción del pH aumenta los nutrientes de la rúcula, cilantro, lechuga y acelga, en sistemas acuapónicos e hidropónicos. En tanto que Gilsanz (2007) recomienda valores de 5.5 a 7.0 para una mejor disponibilidad de nutrientes para las plantas. Sobre lo mismo, Rakocy et al. (2006) y Wortman (2015) recomiendan mantener valores promedio de pH cercanos a 7, lo que permite el funcionamiento eficiente del biofiltro, crecimiento de los peces y la asimilación de nutrientes por las plantas.

Por otra parte, los valores de pH reportados para la producción hidropónica de acelga pueden variar considerablemente. Al respecto, Holguín-Peña et al. (2023) obtuvieron valores de 6.53, 5.11 y 5.78 en sus efluentes y Singh et al. (2019) reporta valores entre 5.5 y 6.5. mientras que Oliver et al. (2017) obtuvieron un pH de 7.16 en un ensayo con luz artificial. Específicamente, para la producción de acelga Somerville et al. (2022) recomiendan valores de 6 a 7.5. En este estudio, se observaron valores de pH entre 7.2 y 7.8, mismos que se aproximan a los recomendados por dichos autores. Estos valores de pH un poco elevados podrían haber reducido la disponibilidad de nutrientes para las plantas, aun así, no se observaron insuficiencias, posiblemente debido a las diversas interacciones que caracterizan la rizosfera de la planta (Maucieri et al. 2019).

Los valores de los nutrientes obtenidos en el sistema acuapónico (NH4 +: 0.132 mg L-1, NO2 -: 0.122 mg L-1, NO3 -: 18.73 mg L-1, PO4 +: 9.06 mg L-1) fueron menores a los obtenidos para la producción de acelga por Yang y Kim (2020) (NO2 -: 0.34 mg L-1, NO3 -: 39.1 mg L-1) y por Holguín-Peña et al. (2023) (NH4 +: 0.67 mg L-1, NO2 -: 0.12 mg L-1, NO3 -: 112.2 mg L-1, PO4 +: 3.48 mg L-1), a excepción de la concentración del fosfato, que fue menor que en este estudio. No obstante, los mismos autores reportan valores de fosfatos superiores (44.345 mg L-1) a los obtenidos en este trabajo cuando se utiliza efluente de agua de pozo y se añade fertilizante, aproximándose a los reportados por Yang y Kim (2020) quienes registraron valores de 50.6 mg L-1 en sistemas de acuaponía con acelga y albahaca. De manera similar, Yang y Kim (2019) reportan valores de fosfatos para acuaponía entre 24.7 y 24.9 mg L-1 y 74.5 mg L-1 para hidroponía en la producción de seis especies de vegetales y hierbas incluyendo la acelga. Para una disponibilidad y absorción óptimo de fosfatos (PO4 +) por parte de las plantas, se recomienda que el pH en los sistemas acuapónicos se mantenga cercano a 7 (Rakocy et al. 2006, Wortman 2015), por lo que se considera que las condiciones en este estudio fueron las adecuadas para ese propósito.

En esta investigación los nitratos fueron mayores que los nitritos, lo que indica que fueron aprovechados en la producción de proteínas por la planta (Schmautz et al. 2021, Holguín-Peña et al. 2023). En un sistema acuapónico el amoniaco y el nitrito deben mantenerse por debajo de 1 mg L-1 (FAO 2014). El uso de biofiltros en los sistemas de cultivo favorece la producción de nitrato, el cual es menos tóxico que las otras formas de nitrógeno y es más accesible para las plantas (FAO 2014). En este estudio se observó que los valores de nitratos en las camas de las plantas fueron mayores en el sistema hidropónico que en el acuapónico, presentando el mismo comportamiento que los tratamientos de Maucieri et al. (2019) y Yang y Kim (2019), quienes reportan mayores valores de nitratos en el sistema hidropónico (406.2 y 201.2 mg L-1) que en los dos tratamientos acuapónicos (239.1 y 6.5 mg L-1; 62.3 y 59.5 mg L-1, respectivamente), mismos que resultan mayores a los aquí reportados. Al respecto, Somerville et al. (2022) recomienda mantener los niveles de nitratos entre 5 y 150 mg L-1 para acuaponía, valores que se mantuvieron en el presente estudio. La alta producción de nitratos, indican una mayor producción en las plantas (FAO 2014), esto explica el mayor rendimiento en el sistema hidropónico que en el acuapónico.

Las condiciones de cultivo recomendadas para la tilapia incluyen valores de NH4 + menores a 2.0 mg L-1 (Cantor 2007); NO2 - inferior a 1.0 mg L-1 (Wongkiew et al. 2017); NO3 - inferior a 150 mg L-1 (Graber y Jungue 2009, De Long et al. 2009); y PO4 + entre 0.6 a 1.5 mg L-1 (OSPESCA 2022). Las condiciones del cultivo de la tilapia de los nutrientes en esta investigación (NH4 +: 0.163 ± 0.039 mg L-1, NO2 -: 0.126 ± 0.005 mg L-1, NO3 -: 19.45 ± 0.835 mg L-1), estuvieron dentro de los límites aceptables previamente mencionados, con excepción de los PO4 +, al presentarse con valores altos en los sistemas acuapónicos (9.29 ± 0.025 mg L-1). Los PO4 + son considerados productos resultantes de la actividad biológica de los peces y de la sobrealimentación, que aumenta la población de fitoplancton y provoca bajas de oxígeno por la noche (Colorado-Gómez y Ospino-Correa 2019), aun así, en este estudio, no se considera que sean un estresor adicional, ya que los niveles de oxígeno en el agua en estos sistemas se mantuvieron en el intervalo adecuado.

Los resultados indican que el sistema hidropónico fue más productivo que el acuapónico en cuanto al número de hojas y biomasa. Al principio del periodo de poda, las hojas de acelga eran más anchas, más largas y más numerosas en el sistema hidropónico, mientras que la biomasa era casi significativamente mayor que en el sistema acuapónico. Además, en el sistema hidropónico, la tasa de aumento del número de hojas fue del 126.1% (es decir, 3.46 hojas por corte), superior a la del sistema acuapónico (1.53 hojas por corte). En cuanto a la biomasa, la tasa de incremento fue del 70.93% (es decir, 53.91 g por corte), superior a la del sistema acuapónico, con 38.24 g por corte.

Con respecto al número de hojas de acelga en cultivos acuapónicos, Holguín-Peña et al. (2023) reportan 10.8 hojas por planta (sin especificar si son comerciales o no) al final de su tratamiento de 55 días; producción que no supera la obtenida en este estudio en el sistema acuapónico (27 hojas promedios por planta), ni la obtenida con el sistema hidropónico (34 hojas promedio por planta) considerando todo el ciclo de producción. El rendimiento de acelgas en este estudio fue mayor en hidroponía (10.43 kg m-2) que en el sistema acuapónico (8.42 kg m-2), aproximándose a los resultados de Candia-Pacheco y Quiroga-Sossa (2018) quienes reportan un rendimiento en materia verde de acelga de 10.9 kg m-2 en su mejor tratamiento. Se puede destacar también que en este estudio se obtuvieron mayores producciones que las referidas por Maucieri et al. (2019) en un sistema de producción acuapónico (4.17 kg m-2) e hidropónico (3.87 kg m-2).

No se detectaron diferencias significativas en la temperatura, el oxígeno disuelto y el pH entre ambos sistemas, las diferencias de producción podrían atribuirse a las diferencias en los nutrientes disponibles para el crecimiento de las plantas, en particular los nitratos, para los que se observaron valores medios significativamente más altos en el sistema hidropónico. Esto podría explicar el mayor número de hojas y biomasa obtenidos en dicho sistema, ya que los nitratos son las formas más accesibles para las plantas (FAO 2014). Se ha demostrado que la aplicación foliar de algunos elementos puede aliviar eficazmente las deficiencias de micro y macronutrientes en vegetales cultivados en acuaponía (Roosta y Hamidpour 2011). Debe realizarse una investigación detallada de las acelgas para probar el uso de elementos distintos de los utilizados en esta investigación para la aplicación foliar.

Las hojas comerciales de acelga pueden podarse cada 12 -15 días (Namesny 1993, García y Magaña 2014). Mientras que Ugás et al. (2000) mencionan que la cosecha inicia 50 días después de la siembra cuando las hojas tienen de 20 a 30 cm de altura, y se pueden hacer de tres a cuatro cortes cada 20 días. Las hojas de acelga del presente estudio alcanzaron tamaño comercial a los 55 días (hidroponía 33.19 cm ± 0.39; acuaponía 30.78 cm ± 1.12), y las podas se pudieron realizar cada siete días (Figura 3). Cabe destacar que los tiempos requeridos por dichos autores para alcanzar el tamaño comercial y realizar los subsecuentes cortes fueron mayores que los requeridos en este estudio. Mientras que Candia-Pacheco y Quiroga-Sossa (2018) en un sistema vertical a diferentes distancias y ambiente protegido reportan una primera cosecha con longitud de la hoja más el peciolo de 35 a 55 cm en 70 días (después del trasplante), y la segunda y tercera cosechas con intervalos de 15 días. Los resultados obtenidos coinciden con los de Sewilam et al. (2022) quienes, usando un sistema acuapónico y dos sistemas sandpónicos, requirieron de 52 días desde el trasplante para poder realizar un primer corte. Pero los cortes fueron más tardíos (20 y 23 días) a los del presente estudio de 7 días de intervalo, con longitudes de hoja similares.

Se observó que, en ambos sistemas, que el ancho y la longitud de las hojas de acelga tendieron a disminuir a medida que aumentaba el número de cortes. La realización de más cortes podría ser inviable, ya que, a medida que disminuye la longitud de las hojas, éstas se acercan al tamaño comercial mínimo (25 cm promedio) (Ugás et al. 2000). La disminución de la longitud y ancho de las hojas puede ser por que la planta de acelga se acerca al final de su vida productiva, pues tras el periodo de cortes viene la etapa de vernalización, luego la emisión de escapo floral y floración y, por último, la formación de semillas (García y Magaña 2014), lo que hace inviable la recolección. No obstante, Candia-Pacheco y Quiroga-Sossa (2018) y Sewilam et al. (2022) reportan un incremento en longitudes de acelga en la segunda y tercera cosecha.

El análisis de regresión lineal simple mostró que el número de hojas y la biomasa aumentaron progresivamente a medida que aumentó el número de cortes, coincidiendo con Candia-Pacheco y Quiroga-Sossa (2018) quienes observaron un incremento en el número de hojas conforme se incrementó el número de cortes.

Conclusiones

El sistema hidropónico fue más productivo que el acuapónico en número de hojas y biomasa. Los sistemas empleados ofrecen ventajas medioambientales en tanto que el consumo de agua es mínimo y, en el caso del sistema acuapónico, el aprovechamiento de los residuos orgánicos del cultivo de peces por parte de las plantas disminuye las descargas orgánicas de la producción de organismos acuáticos e incrementa la producción de alimentos. Se requieren realizar estudios para determinar la viabilidad económica de la producción comercial de ambos sistemas.

Agradecimientos

A la Universidad Autónoma de Nayarit por las facilidades otorgadas para la realización de este estudio. Gerardo Hernández colaboró en la elaboración de las Figuras 1 y 2.

Literatura Citada

Barbosa GL, Daiane F, Gadelha A, Kublik N (2015) Comparison of land, water, and energy requirements of lettuce grown using hydroponic vs. conventional agricultural methods. International Journal of Environmental Research and Public Health 12(6): 6879-6891. https://doi.org/10.3390/ijerph120606879 [ Links ]

Candia-Pacheco LR, Quiroga-Sossa M (2018) Producción de acelga (Beta vulgaris) en sistema vertical a diferentes distancias en ambiente protegido. Revista de Investigación e Innovación Agropecuaria y de Recursos Naturales 5(2): 101-116. [ Links ]

Cantor F (2007) Manual de producción de tilapia. Secretaría de Desarrollo Rural del Estado de Puebla. Puebla, México. 135p. [ Links ]

Colorado-Gómez MA, Ospina-Correa M (2019) La Acuaponía como herramienta de formación en tiempos de paz. SENA. Centro de Biotecnología Agropecuaria. Mosquera, Cundinamarca,Colombia. 66p. [ Links ]

Colt J, Schuur AM, Weaver D, Semmens K (2021) Engineering design of aquaponics systems. Reviews in Fisheries Science & Aquaculture 30(1): 33-80. https://doi.org/10.1080/23308249.2021.1886240. [ Links ]

Da-Silva-Cuba R, Do Carmo JR, Fonseca Souza C, Bastos RG (2015) Potencial de efluente de esgoto doméstico tratado como fonte de água e nutrientes no cultivo hidropónico de alface. Revista Ambiente & Água 10(3): 574-586. https://doi.org/10.4136/ambi-agua.1575 [ Links ]

Dediu L, Cristea V, Xiaoshuan Z (2012) Waste production and valorization in an integrated aquaponic system with bester and lettuce. African Journal of Biotechnology 11(9): 2349-2358. https://doi.org/10.5897/AJB11.2829 [ Links ]

De Lima AAL, Vilar SJH, Kochenborger FJB, Kazue SN, Beltrao CGR (2014) Use of mathematical models in the study of bodily growth in GIFT strain Nile Tilapia. Revista Ciência Agronômica 45(2): 257-266. https://doi.org/10.1590/S1806-66902014000200005 [ Links ]

De Long DP, Losordo T, Rakocy J (2009) Tank culture of tilapia. Vol. 282. Stoneville, Mississippi: Southern Regional Aquaculture Center. https://cals.arizona.edu/azaqua/extension/Classroom/pdffiles/282fs.pdf Fecha de consulta 5 de agosto de 2022. [ Links ]

Diver S (2006) Aquaponics-integration of hydroponics with aquaculture. Amy Smith, Production. In: Michels H (ed) A Publication of ATTRA-National Sustainable Agriculture Information Service. 30p. https://citeseerx.ist.psu.edu/document?repid=rep1&type=pdf&doi=f7a6110f9d8a31d748b7110aa77b4013127f3a4f . Fecha de consulta: 09 de abril 2022. [ Links ]

FAO (2014) Small-scale aquaponics food production. Integrated fish and plant farming. El estado mundial de la pesca y la acuicultura. Fisheries and Aquaculture Department. FAO, Rome. 288p. [ Links ]

Fox BK, Howerton R, Tamaru CS (2010) Construction of automatic bell siphons for backyard aquaponic systems. Honolulu (HI): University of Hawaii. (Biotechnology; BIO-10). https://www.ctahr.hawaii.edu/oc/freepubs/pdf/bio-10.pdf . Fecha de consulta 22 de mayo de 2021. [ Links ]

Fussy A, Papenbrock J (2022) An overview of soil and soilless cultivation techniques-chances, challenges and the neglected question of sustainability. Plants 11: 1153. https://doi.org/10.3390/plants11091153 [ Links ]

García A, Magaña N (2014) Carta tecnológica del cultivo de acelga. SAGARPA. México. 2p. https://www.academia.edu/11249443/ACELGA . Fecha de consulta: 2 de junio de 2021. [ Links ]

Gilsanz JC (2007) Hidroponía. No. CIDAB-SB321-G5h. Instituto Nacional de Investigación Agropecuaria. Uruguay. 32p. http://www.ainfo.inia.uy/digital/bitstream/item/520/1/11788121007155745.pdf . Fecha de consulta: 7 de junio de 2021. [ Links ]

Gislerød HR, Adams P (1983) Diurnal variations in the oxygen content and acid requirement of recirculating nutrient solutions and in the uptake of water and potassium by cucumber and tomato plants. Scientia Horticulturae 21(4): 311-321. https://doi.org/10.1016/0304-4238(83)90121-8 [ Links ]

Gómez-Merino FC, Ortega-López NE, Trejo-Téllez LI, Sánchez-Páez R, Salazar-Marcial E, Salazar-Ortiz J (2015) La acuaponía: Alternativa sustentable y potencial para producción de alimentos en México. Agroproductividad 8(3): 60-65. [ Links ]

Graber A, Junge R (2009) Aquaponic systems: Nutrient recycling from fish wastewater by vegetable production. Desalination 246: 147-156. https://doi.org/10.1016/j.desal.2008.03.048 [ Links ]

Hlophe PA, Nxumalo KA, Oseni TO, Masarirambi MT, Wahome PK, Shongwe VD (2019) Effects of different media on the growth and yield of Swiss chard (Beta vulgaris var. cicla) grown in hydroponics. Horticulture International Journal 3(3): 147-151. https://doi.org/10.15406/hij.2019.03.00122 [ Links ]

Holguín-Peña RJ, Ruiz-Juárez D, Medina-Hernández D (2023) Producción de acelga (Beta vulgaris var. cicla L.) con efluente del cultivo de robalo (Centropomus viridis) en un sistema acuapónico. Terra Latinoamericana 41: 1-11: e1683. https://doi.org/10.28940/terra.v41i0.1683 [ Links ]

INEGI (2019) Aspectos Geográficos Nayarit. Aguascalientes, Aguascalientes. 44p. https://www.inegi.org.mx/contenidos/app/areasgeograficas/resumen/resumen_18.pdf. Fecha de consulta: 25 de mayo de 2021. [ Links ]

Khan FA (2018) A review on hydroponic greenhouse cultivation for sustainable agriculture. International Journal of Agriculture Environment and Food Sciences 2(2): 59-66. https://doi.org/10.31015/jaefs.18010 [ Links ]

König B, Janker J, Reinhardt T, Villarroel M, Junge R (2018) Analysis of aquaponics as an emerging technological innovation system. Journal of Cleaner Production 180: 232-243. https://doi.org/10.1016/j.jclepro.2018.01.037 [ Links ]

Krastanova M, Sirakov I, Ivanova-Kirilova S, Yarkov D, Orozova P (2022) Aquaponic systems: Biological and technological parameters. Biotechnology & Biotechnological Equipment 36(1): 305-316. [ Links ]

Losordo TM, Masser MP, Rakocy J (1999) Recirculating aquaculture tank production systems. SRAC Publication No. 453. Southern Regional Aquaculture Center. Texas A & M University, Texas, USA. 16p. https://www.webpages.uidaho.edu/fish422and424/Aquaculture%20422/422LabFiles/Lab%201%20Systems/Losordo%20et%20al%201999%20Recirculating%20component%20options.pdf . Fecha de consulta: 11 enero 2023. [ Links ]

Maucieri C, Nicoletto C, Junge R, Schmautz Z, Sambo P, Borin M (2018) Hydroponic systems and water management in aquaponics: A review. Italian Journal of Agronomy 13(1): 1-11. https://doi.org/10.4081/ija.2017.1012 [ Links ]

Maucieri C, Nicoletto C, Zanin G, Birolo M, Trocino A, Sambo P, Borin M, Xiccato G (2019) Effect of stocking density of fish on water quality and growth performance of European Carp and leafy vegetables in a low-tech aquaponic system. PLoS ONE 14(5): e0217561. https://doi.org/10.1371/journal.pone.0217561 [ Links ]

McMurtry MR, Sanders DC, Patterson RP, Nash A (1993) Yield of tomato irrigated with recirculating aquacultural water. Journal of production agriculture 6(3): 428-432. https://doi.org/10.2134/jpa1993.0428. [ Links ]

McMurtry MR, Sanders DC, Cure JD, Hodson RG (1997) Effects of biofilter/culture tank volume ratios on productivity of a recirculating fish/vegetable co-culture system. Journal of Applied Aquaculture 7(4): 33-51. https://doi.org/10.1300/J028v07n04_03 [ Links ]

Namesny A (1993) Post-recolección de hortalizas. Vol. I- Hortaliza de hoja, tallo y flor. Compendio de Horticultura 1. Ediciones de horticultura, SL. España. 330p. [ Links ]

Oliver LP, Coyle SD, Bright LA, Shultz RC, Hager JV, Tidwell JH (2017) Comparison of four artificial light technologies for indoor aquaponic production of swiss chard, Beta vulgaris, and Kale, Brassica oleracea. Journal of the World Aquaculture Society 49(5): 837-844. doi: 10.1111/jwas.12471 [ Links ]

OSPESCA (2022) Elementos técnico-económicos, ambientales y buenas prácticas para el cultivo de tilapia. Organización del Sector Pesquero y Acuícola del Istmo Centroamericano. 132p. https://www.sica.int/documentos/elementos-tecnico-economicos-ambientales-y-buenas-practicas-para-el-cultivo-de-tilapia_1_131726.html . Fecha de consulta: 12 noviembre de 2023. [ Links ]

Rakocy JE, Bailey DS, Shultz RC, Thoman ES (2004) Update on tilapia and vegetable production in the UVI aquaponic system. Proceedings from the sixth International Symposium on Tilapia in Aquaculture Manila, Philippines. pp.12-16. [ Links ]

Rakocy JE, Masser MP, Losordo TM (2006) Recirculating aquaculture tank production systems: Aquaponics Integrating fish and plant culture. SRAC Publication No. 454. Southern Regional Aquaculture Center. Texas A & M University, Texas, USA. 16p. https://fisheries.tamu.edu/files/2013/10/SRAC-Publication-No.-454-Recirculating-Aquaculture-Tank-Production-Systems-Aquaponics-Integrating-Fish-and-Plant-Culture.pdf . Fecha de consulta: 21 enero 2023. [ Links ]

Rana S, Bag SK, Golder D, Mukherjee S, Pradhan C, Jana BB (2011) Reclamation of municipal domestic wastewater by aquaponics of tomato plants. Ecological Engineering 37(6): 981-988. https://doi.org/10.1016/j.ecoleng.2011.01.009 [ Links ]

Ria RP, Lakitan B, Sulaiman F, Yakup Y (2023) Searching for suitable cultivation system of swiss chard (subsp. (L.) WDJ Koch) in the tropical lowland. Journal of Horticultural Research 31(1): 81-90. https://doi.org/10.2478/johr-2023-0022 [ Links ]

Roosta HR, Hamidpour M (2011) Effects of foliar application of some macro-and micro-nutrients on tomato plants in aquaponic and hydroponic systems. Scientia Horticulturae 129: 392-402. https://doi.org/10.1016/j.scienta.2011.04.006 [ Links ]

Sádaba S, Uribarri A, Aguado G, Del Castillo J, Astiz M (2010) Acelga en invernadero. Navarra Agraria 181: 23-27. [ Links ]

Santos VB, Mareco EA, Dal Pai Silva M (2013) Growth curves of Nile tilapia (Oreochromis niloticus) strains cultivated at different temperatures. Acta Scientiarum. Animal Sciences 35(3): 235-242. https://doi.org/10.4025/actascianimsci.v35i3.19443 [ Links ]

Schmautz Z, Espinal CA, Smits THM, Frossard E, Junge R (2021) Nitrogen transformations across compartments of an aquaponic system. Aquacultural Engineering 92: 102145. https://doi.org/10.1016/j.aquaeng.2021.102145 [ Links ]

Sewilam H, Kimera F, Nasr P, Dawood M (2022) A sandponics comparative study investigating different sand media based integrated aqua vegeculture systems using desalinated water. Scientific Reports 12: 11093. https://doi.org/10.1038/s41598-022-15291-7 [ Links ]

Singh H, Dunn B, Payton M, Brandenberger L (2019) Fertilizer and cultivar selection of lettuce, basil, and swiss chard for hydroponic production. HortTechnology 29: 50-56. https://doi.org/10.21273/HORTTECH04178-18 [ Links ]

Somerville C, Cohen M, Pantanella E, Stankus A, Lovatelli A (2022) Producción de alimentos en acuaponía a pequeña escala - Cultivo integral de peces y plantas. FAO DocumentoTécnico de Pesca y Acuicultura No. 589. FAO, Roma. https://doi.org/10.4060/i4021es [ Links ]

Steiner AA (1984) The Universal Nutrient Solution, Proceedings of IWOSC 1984 6th International Congress on Soilless Culture. ISSN 9070976048. IWOSC Wageningen, The Netherlands. pp. 633-650. [ Links ]

Strickland JDH, Parsons TR (1972) A practical handbook of seawater analysis. Bulletin 167, 2nd Ed. Fisheries Research Board of Canada. 310p. [ Links ]

Suárez-Cáceres GP, Lobillo-Eguíbar J, Fernández-Cabanás VM, Quevedo-Ruiz FJ, Perez-Urrestarazu L (2021) Polyculture production of vegetables and red hybrid tilapia for self-consumption by means of micro-scale aquaponic systems. Aquacultural Engineering 95: 102181. https://doi.org/10.1016/j.aquaeng.2021.102181 [ Links ]

Thakur P, Wadhwa H, Kaushal S (2023) Nutrient dynamics for hydroponic production system. International Journal of Plant & Soil Science 35(21): 982-993. https://doi.org/10.9734/ijpss/2023/v35i214069 [ Links ]

UCLA (2021) Introduction to the features of sas | sas learning modules. Advanced research computing. Statistical methods and data analytics. Universidad de California en Los Ángeles. https://stats.oarc.ucla.edu/sas/modules/introduction-to-the-features-of-sas/ . Fecha de consulta: 15 noviembre de 2022 [ Links ]

Ugás R, Siura S, Delgado de la Flor F, Casas A, Toledo J (2000) Hortalizas. Datos básicos. UNALM. Lima-Perú. 202p. [ Links ]

Valadez LA (1998) Producción de hortalizas. 1ra. Ed. 8va. Reimpresión. Ed. Limusa. México. 298p. [ Links ]

Vega-Villasante F, Jaime-Ceballos B, Cupul-Magaña AL, Galindo-López J, Cupu-Magaña FG (2009) Acuicultura de tilapia a pequeña escala para autoconsumo de familias rurales y periurbanas de la costa del Pacífico. Centro Universitario de la Costa. Universidad de Guadalajara. Jalisco, México. 64p. [ Links ]

Wang YJ, Yang T, Kim HJ (2023) pH dynamics in aquaponic systems: Implications for plant and fish crop productivity and yield. Sustainability 15(9): 7137. https://doi.org/10.3390/su15097137 [ Links ]

Wongkiew S, Hu Z, Chandran K, Lee JW, Khanal SK (2017) Nitrogen transformations in aquaponic systems: A review. Aquacultural Engineering 76: 9-19. https://doi.org/10.1016/j.aquaeng.2017.01.004 [ Links ]

Wortman SE (2015) Crop physiological response to nutrient solution electrical conductivity and pH in an ebb-and-flow hydroponic system. Scientia Horticulturae 194: 34-42. https://doi.org/10.1016/j.scienta.2015.07.045 [ Links ]

Yang T, Kim HJ (2019) Nutrient management regime affects water quality, crop growth, and nitrogen use efficiency of aquaponic systems. Scientia Horticulturae 256: 108619. https://doi.org/10.1016/j.scienta.2019.108619 [ Links ]

Yang T, Kim HJ (2020) Effects of hydraulic loading rate on spatial and temporal water quality characteristics and crop growth and yield in aquaponic systems. Horticulturae 6(1): 9. https://doi.org/10.3390/horticulturae6010009 [ Links ]

Zou Y, Hu Z, Zhang J, Xie H, Guimbaud C, Fang Y (2016) Effects of pH on nitrogen transformations in media-based aquaponics. Bioresource Technology 210: 81-87. https://doi.org/10.1016/j.biortech.2015.12.079 [ Links ]

Recibido: 31 de Julio de 2023; Aprobado: 20 de Febrero de 2024

*Autor de correspondencia: nallely.estrada@uan.edu.mx

Conflicto De Interés

Los autores declaran que no tienen conflicto de interés.

Creative Commons License Este es un artículo publicado en acceso abierto bajo una licencia Creative Commons