Introducción
Las variedades de aguacate cultivadas son resultado de la hibridación entre razas de la especie (Knight, 2002). La variedad ‘Hass’ es un hibrido de la raza guatemalteca, pero con genes de la raza mexicana y frutos con una gran capacidad de almacenamiento y transporte que favorecen sus características de manejo postcosecha (Crane et al., 2013). La producción de aguacate en México en 2020 fue de 2.39 millones de toneladas (PROFECO, 2021). Esta producción de fruta de aguacate implica un proceso que inicia con la elección del portainjerto, el cual es el encargado de proporcionar a la variedad comercial un soporte radical y mantener sus características genéticas, sin la variabilidad que se obtiene de la variedad propagada por semilla, ya que de él depende el éxito o fracaso de una plantación (Barrientos-Priego et al., 2000).
Los materiales de aguacate de zonas subtropicales como la variedad ‘Hass’ son más susceptibles a las bajas temperaturas (Crane et al., 2013) por lo que una alternativa en condiciones de frío es el uso de portainjertos de la raza mexicana, como posible solución a los efectos del frío (Lockard y Schneider, 1981). Lacono et al. (1998) mencionan, que entre el injerto y el portainjerto forman características en la planta en conjunto, que son el resultado de las características de cada uno.
Afirmando la influencia del portainjerto sobre la variedad, Mickelbart et al. (2007) constataron diferencias significativas en la absorción de nutrientes por efecto de distintos portainjertos clonales. Bergh (1992), menciona que la raza mexicana ha contribuido con genes que favorecen la tolerancia al frío, debido a que existe una concentración de azúcares solubles que reducen el punto de congelación de la solución intracelular (Poirier et al., 2010).
Por lo que, el aumento o disminución de la concentración de azucares en la planta es una respuesta de aclimatación como, el contenido de glucosa en las hojas de los brotes vegetativos considerados tejidos de demanda, que puede cambiar su concentración por factores ambientales, bioquímicos y fisiológicos (Rolland et al., 2002) o el aumento del contenido de fructosa que actúa como osmoprotector ante condiciones ambientales adversas por calor, frío o estrés hídrico (Marschall et al., 2019) y así continuar utilizando la sacarosa como fuente principal de energía para continuar sus procesos bioquímicos (Hopkins y Huner, 2004).
Por lo que, en esta investigación, se seleccionaron segregantes de aguacate de cuatro materiales de la raza mexicana (duke-7, tepetl, aceitoso y colecta 1), injertados y sin injertar con ‘Hass’ para evaluar la concentración de glucosa, fructosa, sacarosa y almidón bajo un tratamiento de frío de 14 días como posibles azúcares involucrados en la tolerancia a las bajas temperaturas.
Materiales y métodos
Se inicio con la siembra de semillas en septiembre de 2020 y posteriormente en febrero de 2021 se realizó el injerto de enchapado lateral con vareta de ‘Hass’ en el área de invernaderos del centro experimental ‘La Cruz’ de la Fundación Salvador Sánchez Colin-CICTAMEX, SC, ubicado en Coatepec Harinas, Estado de México, a 18° 55’ 10.4” latitud norte 99° 45’ 39.7” longitud oeste con una altitud de 2 100 m y se concluyó con el traslado de la planta en mayo de 2021 a las cámaras frigoríficas ubicadas en el Colegio de Postgraduados, Montecillo, Texcoco, Estado de México, a 19° 27’ 36.1” longitud norte 98° 54’ 22.5” latitud oeste con una altitud de 2 250 m.
Diseño experimental
Con un diseño de bloques completos al azar se utilizó un arreglo de parcelas divididas, en donde las parcelas grandes representan el factor temperatura (factor A). Siendo, la cámara 1 el tratamiento con frío, con una temperatura promedio de 15.61 °C durante las horas luz, con una intensidad lumínica de 380 µmol m-2 s-1 y una temperatura promedio en la oscuridad de 4.4 °C (datos registrados con un dataloger), mientras que la cámara 2 considerada el testigo conservó, en luz, una temperatura promedio de 23.2 °C, con una intensidad lumínica de 367 µmol m-2 s-1 y una temperatura promedio en oscuridad de 19.29 °C (datos registrados con un dataloger). En las parcelas chicas (factor B), 20 materiales de aguacate injertados con la variedad ‘Hass’ y 20 materiales no injertados y el factor C, que incluye 10 plantas de cada material utilizado (aceitoso, colecta 1, tepetl y duke 7), utilizando en total 40 portainjertos en cada cámara. Comparando los resultados entre cámaras y los resultados por material con la prueba LSD en el programa SAS (Statistical Analysis System) versión 9.4.
Medición de crecimiento de planta
Al inicio del experimento con ayuda de una regla se midió en centímetros la altura de cada planta, marcando la base del tallo a nivel del sustrato del contenedor para garantizar una correcta segunda medición al final del experimento.
Preparación de muestras
Se cortaron las hojas de los brotes vegetativos de las plantas a los 1, 7 y 14 días considerando que en el día 1 se inicia con la percepción del frío y a los 7 y 14 días un posible inicio de aclimatación; conservándolas en sobres de aluminio a -20 °C, se realizó el registro del peso fresco (entre 0.1 g y 0.13 g), con una balanza analítica electrónica Scientech, SA 120. Las muestras se molieron directamente en tubos eppendorf de 1.5 ml con 500 µl de etanol al 80%, luego se centrifugaron a 10 000 rpm durante 10 min en una centrífuga Dlab D3024 de 24 tubos eppendorf y se extrajo el sobrenadante para colocarlo en inmersión de vapor de agua durante 1 h a 80 °C.
Lectura de glucosa, fructosa y sacarosa
Se preparó una mezcla de reacción (Cuadro 1) y se colocaron 200 µl en cada pozo de una placa de lectura, se agregaron 2.5 µl de muestra y posteriormente se aplicaron 10 µl de cada enzima previamente disueltas de forma independiente en 1.5 ml de mezcla de reacción (Cuadro 2), para finalmente dar lectura a las muestras con ayuda de un multiskan FC Thermo scientific.
Cuadro 1 Mezcla de reacción para 10 ml.
| Hepes 0.5 M pH 8 | KCl | MgCl | ATP | NAD+ | Hexoquinasa | H2O |
|---|---|---|---|---|---|---|
| 2 ml | 2.5 ml | 150 μl | 8.5 mg | 2.83 mg | 10 μ | 5.4 ml |
Información del Colegio de Postgraduados (2021).
Determinación de almidón
Se les agregó a las muestras 1 ml de dimethyl sulfoxide (DMSO) y se homogenizó con un vortex (Analog vortex Mixer) durante 30 s, se colocaron a baño maría durante 30 min a punto de ebullición, nuevamente se homogenizaron y se extrajo el sobrenadante para colocarse en dos tubos eppendorf de 2 ml colocando 100 µl en cada uno y se les agregó 450 µl con y sin enzima a cada tubo.
Las muestras de 100 µl con y sin enzima se prepararon a las 5:00 pm y se dejaron durante la noche a 55 °C, se dejaron enfriar a temperatura ambiente y se centrifugaron a 7 000 revoluciones por minuto durante 5 min, de los tubos eppendorf de 2 ml plenamente identificados se extrajeron 10 µl de muestra y se colocaron en los orificios (pozos) de las placas, para agregar 200 µl de mezcla de reacción y continuar con el siguiente proceso (Cuadro 3).
Cuadro 3 Proceso para lectura de almidón.
| Enzima | Cantidad (µl) | Tiempo de incubación (min) | Temperatura (oC) | |
|---|---|---|---|---|
| Lectura 1 | Hexoquinasa | 10 | Directo | Ambiente |
| Lectura 2 | Deshidrogenasa | 10 | 35 | 35 |
| En almidón, se realizó la curva patrón, aforada a 20 µl solo para glucosa |
Información del Colegio de Postgraduados (2021).
Resultados y discusión
Crecimiento de planta
Los resultados de crecimiento de las plantas de la cámara 2 (testigo) con temperaturas con luz de 23.2 °C y oscuridad de 19.29 °C mostraron un aumento de tamaño a los 14 días, en los materiales no injertados e injertados; así como lo mencionó Lahav y Trochoulias (1982) que el desarrollo vegetativo de las plantas de aguacate se lleva a cabo en el intervalo óptimo de temperatura de 20-30 °C, en donde existe una máxima asimilación neta de CO2 favoreciendo el crecimiento de la planta entera.
Por el contrario, en las condiciones de la cámara 1 con temperaturas con luz de 15.61 °C y oscuridad de 4.4 °C, se registró poco y nulo crecimiento en los materiales no injertados e injertados por lo que, el efecto del crecimiento y el desarrollo del aguacatero se reduce significativamente a temperaturas menores a 10 °C (Whiley et al.,1990).
De acuerdo con la comparación de medias con una significancia de α= 0.05 el crecimiento de los materiales no injertados e injertados de la cámara 2 (testigo) con valores de 1.12 cm con una σ= 0.713 cm y 0.72 cm con una σ= 0.206 cm respectivamente resultaron significativamente mayores a los obtenidos en los materiales no injertados e injertados de la cámara 1 (tratamiento con frío) con valores de 0.3 cm en los materiales no injertados con una σ= 0.191 cm e injertados con una σ= 0.173 cm (Figura 1).
Contenido de clorofila
En relación con los índices de clorofila unidades (SPAD) de los materiales no injertados de la cámara 2 (testigo), muestran un promedio general de lectura de 40.46 unidades con una σ= 3.29 unidades, en comparación a 39.48 unidades con una σ= 0.65 unidades de los materiales no injertados de la cámara 1 (tratamiento con frío) que de acuerdo con Coelho et al. (2010) el rango de 35.2 y 42.2 unidades SPAD son adecuados para diagnosticar un buen nivel de N en papa (Solanum tuberosum). De igual forma Taiz y Zeiger (2004) mencionan que la intensidad del verde de las hojas tiene correlación con el contenido de clorofila y la concentración de nitrógeno por lo que, se puede mencionar que el contenido de clorofila en los materiales, de ambas cámaras no es afectado por la intensidad lumínica ni el tratamiento con frío. De acuerdo con la comparación de medias con una significancia α= 0.05 entre los materiales no injertados de ambas cámaras no existe una diferencia significativa (Figura 2).

Figura 2 Lectura de unidades SPAD de materiales no injertados aceitoso (AN), colecta 1 (CN); Tepetl (TN); y Duke 7 (DN), comparando mismo número de día de tratamiento entre ambas cámaras.
Los materiales establecidos en la cámara 1 (tratamiento con frío) no presentaron alteraciones en la maduración de las hojas evaluadas, coincidiendo con los resultados de la cámara 2 y con Gianquinto et al. (2003) que menciona la correlación positiva de los índices SPAD con la disponibilidad de nitrógeno en las hojas, se puede decir que, el proceso de maduración de las hojas pasa por diferentes etapas morfológicas, desde su emergencia hasta su senescencia, de ser demanda a ser fuentes de nutrientes, así como su respuesta a las variables ambientales (Dickson et al., 2000), indicando que el factor de baja temperatura no afecta el contenido de nitrógeno en la etapa de demanda.
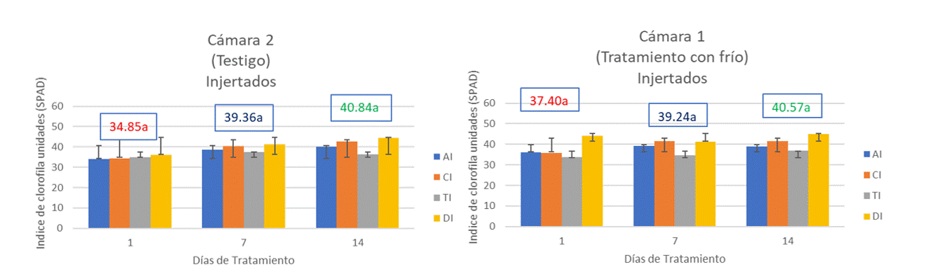
Para los materiales injertados de la cámara 2 (testigo) con un promedio de 38.35 unidades y una σ= 3.11 unidades, en comparación con los materiales injertados de la cámara 1 (tratamiento con frío) con un promedio de 39.07 unidades y una σ= 1.59, se puede mencionar que, de acuerdo con la comparación de medias con una significancia de α= 0.05 no existen diferencias significativas en el contenido de clorofila entre los materiales injertados de ambas cámaras (Figura 3).

Figura 3 Lectura de unidades SPAD de materiales injertados aceitoso (AI), colecta 1 (CI); tepetl (TI); y duke 7 (DI), comparando las medias (DMS) mismo número de día de tratamiento entre ambas cámaras. El número encima de cada conjunto de barras de los portainjertos es el valor promedio en todos los portainjertos.
Contenido de azúcares
Glucosa
Los análisis realizados en hojas de brotes jóvenes, que de acuerdo con Liu et al. (2002) deben ser hojas menores a 20 días después de la brotación, muestran que la concentración de glucosa en las hojas de los brotes vegetativos aumenta bajo las condiciones de la cámara 1 (tratamiento con frío); debido a que, la glucosa es utilizada en la síntesis de compuestos como los ácidos orgánicos, aminoácidos y lípidos (Geigenberger et al., 2005), componentes básicos para la acumulación de biomasa y desarrollo de las plantas; por lo que, el contenido de glucosa en las hojas de los brotes vegetativos como tejidos de demanda, son afectados por factores ambientales, bioquímicos y fisiológicos que en conjunto determinan la cantidad de fotosintatos que pueden ser descargados en los tejidos demanda (Rolland et al., 2002).
De acuerdo con lo anterior, la concentración de glucosa en condiciones de la cámara 1 (tratamiento con frío) presenta valores promedio de 9.74 µmolas g-1 de peso fresco para el día 1, 14.87 µmolas g-1 de peso fresco en el día 7 y 12.64 a los 14 días, en comparación al testigo, con valores promedio de 5.02 µmolas g-1 de peso fresco para el día 1, 8.06 µmolas g-1 de peso fresco en el día 7 y 7.17 µmolas g-1 de peso fresco a los 14 días, se puede mencionar que, de acuerdo a la comparación de medias con una significancia de α= 0.05 los 3 valores promedio del tratamiento con frío son significativamente mayores a los del testigo (Figura 4).

Figura 4 Efecto del tratamiento con frío sobre el contenido de glucosa en hojas jóvenes de los materiales aceitoso (AN y AI); colecta 1 (CN y CI); tepetl (TN y TI); y duke 7 (DN y DI) comparando mismo número de día de tratamiento entre ambas cámaras. El número encima de cada conjunto de barras de los portainjertos es el valor promedio en todos los portainjertos. La comparación de medias (DMS) es entre cámaras el mismo día de tratamiento.
Fructosa
El contenido de fructosa en las hojas de los brotes vegetativos está relacionado con la reserva de carbono de las plantas superiores (Marschall et al., 2019), estas reservas son el contenido de fructosa de los materiales establecidos en la cámara 2 (testigo); sin embargo, bajo condiciones estresantes por frío, estos carbohidratos están asociados con la tolerancia a diferentes tipos de estrés, actuando como osmoprotectores ante condiciones ambientales adversas por calor, frío o estrés hídrico (Marschall et al., 2019).
Con valores promedio de los materiales establecidos en la cámara 1 (tratamiento con frío) de 7.65 µmolas g-1 de peso fresco para el día 1, 9.91 µmolas g-1 de peso fresco al día 7 y con 12.52 µmolas g-1 de peso fresco para los14 días; comparados con los valores de la cámara 2 (testigo) de 3.28 µmolas g-1 de peso fresco para el día 1, 4.6 µmolas g-1 de peso fresco, para el día 7 y 5.79 µmolas g-1 de peso fresco a los 14 días, se puede mencionar que, al realizar la comparación de medias, con una significancia de α= 0.05, las plantas de la cámara 1 (tratamiento con frío) aumentaron su contenido de fructosa en las hojas de los brotes vegetativos desde el día 1 de tratamiento en comparación a los valores promedio de la cámara 2 (testigo) (Figura 5).

Figura 5 Efecto del tratamiento con frío sobre el contenido de fructosa en hojas jóvenes de los materiales aceitoso (AN y AI); colecta 1 (CN y CI); tepetl (TN y TI); y duke 7 (DN y DI) comparando mismo número de día de tratamiento entre ambas cámaras. El número encima de cada conjunto de barras de los portainjertos es el valor promedio en todos los portainjertos.
Sacarosa
El transporte de los fotoasimilados hacia los vertederos se efectúa en forma de sacarosa, siendo este uno de los compuestos bioquímicos con mayor movilidad, dependiendo de la especie de planta y del tipo de carga y descarga en el floema (vía simplasto o apoplasto) (Minchin y Lacointe, 2005) por lo que, el efecto de las bajas temperatura puede afectar o no su movilidad en las hojas jóvenes de los brotes vegetativos la sacarosa, es utilizada por la planta como principal fuente de energía bioquímica, al realizar su síntesis en el citosol a partir de glucosa y fructosa fosforiladas (Hopkins y Huner, 2004), por vía simplasto, la sacarosa viaja a través de conductos (plasmodesmos) y por vía apoplasto, la sacarosa puede ser incorporada mediante un transportador específico o puede ser hidrolizada por una invertasa de pared celular (Padilla y Martínez, 2007).
De acuerdo a las características de la sacarosa y los valores promedio de los materiales de la cámara 1 (tratamiento con frío) de 0.32 µmolas g-1 de peso fresco en el día 1, 0.43 µmolas g-1 de peso fresco a los 7 días y 0.58 µmolas g-1 de peso fresco a los 14 días, que al comparar con los valores promedio de la cámara 2 (testigo) de 0.15 para el día 1, 0.21 µmolas g-1 de peso fresco a los 7 días y 0.41 µmolas g-1 de peso fresco los 14 días, se puede mencionar que, de acuerdo a la comparación de medias con una significancia de α= 0.05 los resultados de los días 1 y 7 del tratamiento con frío fueron significativamente superiores a los del testigo y para los resultados del día 14 no existe una diferencia significativa (Figura 6).

Figura 6 Efecto del tratamiento con frío sobre el contenido de sacarosa en hojas jóvenes de los materiales aceitoso (AN y AI); colecta 1 (CN y CI); tepetl (TN y TI); y duke 7 (DN y DI) comparando (DMS) mismo número de día de tratamiento entre ambas cámaras. El número encima de cada conjunto de barras de los portainjertos es el valor promedio en todos los portainjertos.
Almidón
El almidón está compuesto por amilopectina (85-70%) y amilosa (15-30%) respectivamente (Mclauchlan et al., 2001), su metabolismo en los vertederos (semillas, raíces, tubérculos, hojas en desarrollo) está asociado con la relación de síntesis almidón/ sacarosa en la fuente, la eficiencia de exportación, transporte de sacarosa y con la prioridad y potencia del vertedero (Minchin y Lacointe, 2005). Las hojas jóvenes de los brotes vegetativos de aguacate (vertederos) mostraron una concentración baja en el contenido de almidón en ambas cámaras.
Baguma et al. (2003) menciona que las hojas son tejidos que acumulan almidón transitorio; por lo que, las muestras de los materiales de aguacate bajo las condiciones de la cámara 1 (tratamiento con frío) registraron valores promedio de 1.71 µmolas g-1 de peso fresco para el día 1, 1.33 µmolas g-1 de peso fresco a los 7 días y 1.07 µmolas g-1 de peso fresco a los 14 días, mientras que, en la cámara 2 (testigo) los valores promedio fueron de 1.31 µmolas g-1 de peso fresco para el día 1, 1.59 µmolas g-1 de peso fresco a los 7 días y 1.05 µmolas g-1 de peso fresco a los 14 días por lo que, de acuerdo a la comparación de medias con una significancia de α= 0.05 no existen diferencias significativas entre los materiales de la cámara 1 (tratamiento con frío) y el testigo (Figura 7).

Figura 7 Efecto del tratamiento con frío sobre el contenido de almidón en hojas jóvenes de los materiales aceitoso (AN y AI); colecta 1 (CN y CI); tepetl (TN y TI); y duke 7 (DN y DI) comparando mismo número de día de tratamiento entre ambas cámaras. El número encima de cada conjunto de barras de los portainjertos es el valor promedio en todos los portainjertos.
Materiales de aguacate de la raza mexicana evaluados
Aceitoso
El contenido de azúcares en el material aceitoso en condiciones de temperatura y luz de la cámara 1 (Cuadro 4), registró un promedio de contenido de glucosa (PcG), en las plantas no injertadas significativamente mayor los días 1 y 7 y para las plantas injertadas los días 1, 7 y 14, en comparación a la cámara 2 (testigo). Sin embargo, para fructosa (PcF) las plantas no injertadas e injertadas en las tres muestras realizadas a los 1, 7 y 14 días fueron significativamente mayores a los del testigo. Para sacarosa (PcS) los promedios en las plantas no injertadas fueron significativamente mayor el día 1 y para las plantas injertadas los días 1, 7 y 14, para almidón (PcA) en las plantas no injertadas fue significativamente mayor la muestra del día 1 y en las plantas injertadas fue significativamente mayor los días 1 y 7.
Cuadro 4 Valores promedio de contenido de glucosa (PcG), fructosa (PcF), sacarosa (PcS) y almidón (PcA) del material aceitoso no injertado e injertado.
| Material | variable | Cámara 2 (testigo) | Cámara 1 (tratamiento) | |||||
|---|---|---|---|---|---|---|---|---|
| 1 día | 7 días | 14 días | 1 día | 7 días | 14 días | |||
| Aceitoso no injertado (AN) | PcG (µmolas g-1) | 2.22b | 7.3b | 10.31a | 8.82a | 10.65a | 12.29a | |
| PcF (µmolas g-1) | 1.95b | 5.14b | 5.69b | 4.46a | 7.7a | 9.83a | ||
| PcS (µmolas g-1) | 0.05b | 0.17b | 0.36a | 0.12a | 0.22b | 0.46a | ||
| PcA (µmolas g-1) | 0.8b | 1.42a | 1.17a | 1.77a | 0.78b | 0.85b | ||
| Aceitoso injertado (AI) | PcG (µmolas g-1) | 3.86b | 6.92b | 5.2b | 9.28a | 13.71a | 8.2a | |
| PcF (µmolas g-1) | 4.02b | 3.59b | 5.13b | 8.28a | 9.9a | 10.79a | ||
| PcS (µmolas g-1) | 0.12b | 0.29b | 0.31b | 0.85a | 1.08a | 1.12a | ||
| PcA (µmolas g-1) | 0.96b | 0.71b | 1.05a | 1.68a | 1.69a | 0.86b | ||
Medias con la misma letra en la fila y día de muestreo no son significativamente diferente (prueba DMS).
Colecta 1
El contenido de azúcares en el material de colecta 1 (Cuadro 5), bajo las condiciones de temperatura y baja luminosidad de la cámara 1, registró un promedio de contenido de glucosa (PcG) significativamente mayor en el resultado del día 7 en las plantas no injertadas y para las plantas injertadas una diferencia significativa superior solo en la muestra realizada a los 14 días, la fructosa (PcF) es significativamente mayor tanto en las plantas no injertadas como en las plantas injertadas, la sacarosa (PcS) para las plantas no injertados es significativamente mayor solo en la muestra del día 7 y para las plantas injertadas resulto ser significativamente mayor en la muestra del día 1, finalmente el almidón (PcA) se mostró con una diferencia significativa en la muestra del día 1 en las plantas no injertadas y para los materiales injertados es significativamente mayor en la muestra del día 7.
Cuadro 5 Valores promedio de contenido de glucosa (PcG), fructosa (PcF), sacarosa (PcS) y almidón (PcA) del material colecta 1 no injertado e injertado.
| Material | Variable | Cámara 2 (testigo) | Cámara 1 (tratamiento) | |||||
|---|---|---|---|---|---|---|---|---|
| 1 día | 7 días | 14 días | 1 día | 7 días | 14 días | |||
| Colecta 1 no injertado (CN) | PcG (µmolas g-1) | 3.46a | 9.96b | 10.65a | 3.87a | 14.34a | 8.44a | |
| PcF (µmolas g-1) | 1.49b | 3.72b | 5.65b | 5.56a | 8.25a | 10.39a | ||
| PcS (µmolas g-1) | 0.31a | 0.23b | 0.51a | 0.27a | 0.53a | 0.34b | ||
| PcA (µmolas g-1) | 0.85b | 1.32a | 0.84a | 1.88a | 1.95a | 1a | ||
| Colecta 1 injertado (CI) | PcG (µmolas g-1) | 6.88a | 10.92a | 5.25b | 5.79a | 13.11a | 8.3a | |
| PcF (µmolas g-1) | 5.64b | 4.61b | 5.65b | 7.79a | 11.09a | 11.14a | ||
| PcS (µmolas g-1) | 0.1b | 0.21a | 0.4a | 0.24a | 0.25a | 0.33a | ||
| PcA (µmolas g-1) | 1.51a | 2.19a | 1.06a | 1.27a | 1b | 0.94a |
Medias con la misma letra en la fila y día de muestreo no son significativamente diferente (prueba DMS).
Tepetl
El contenido de azúcares en el material de tepetl, bajo las condiciones de temperatura y baja luminosidad de la cámara 1, registró un promedio de contenido de glucosa (PcG) significativamente mayor en los resultados del día 7 y 14 en las plantas no injertadas en comparación al testigo, para las plantas injertadas con ‘Hass’ solo mostraron diferencia significativa en las muestras realizadas los días 7 y 14, la fructosa (PcF) fue significativamente mayor en los tres muestreos realizados tanto en las plantas no injertadas como en las injertadas, la sacarosa (PcS) fue significativamente mayor para las plantas no injertadas en la muestra del día 7 y para las injertadas es significativamente superior en la muestra del día 14, finalmente, el contenido de almidón (PcA) no mostró diferencia significativa en comparación al testigo tanto en plantas no injertadas como en las injertadas (Cuadro 6).
Cuadro 6 Valores promedio de contenido de glucosa (PcG), fructosa (PcF), sacarosa (PcS) y almidón (PcA) del material Tepetl no injertado e injertado.
| Material | Variable | Cámara 2 (testigo) | Cámara 1 (tratamiento) | |||||
|---|---|---|---|---|---|---|---|---|
| 1 día | 7 días | 14 días | 1 día | 7 días | 14 días | |||
| Tepetl no injertado (TN) | PcG (µmolas g-1) | 4.32a | 8.67b | 7.82b | 5.49a | 17.48a | 25.47a | |
| PcF (µmolas g-1) | 1.38b | 4.54b | 5.57b | 5.9a | 9.62a | 13.04a | ||
| PcS (µmolas g-1) | 0.19a | 0.15b | 0.53a | 0.29a | 0.63a | 0.54a | ||
| PcA (µmolas g-1) | 1.54a | 1.98a | 1.12a | 2.1a | 1.62a | 1.77a | ||
| Tepetl injertado (TI) | PcG (µmolas g-1) | 5.74a | 4.51b | 5.23b | 5.58a | 14.71a | 13.53a | |
| PcF (µmolas g-1) | 4.8b | 4.4b | 5.15b | 8.08a | 11.2a | 15.48a | ||
| PcS (µmolas g-1) | 0.17a | 0.33a | 0.42b | 0.05b | 0.1b | 1.46a | ||
| PcA (µmolas g-1) | 1.72a | 2.36a | 1.33a | 1.78a | 0.88b | 1.24a | ||
Medias con la misma letra en la fila y día de muestreo no son significativamente diferente (prueba DMS).
Duke 7
El contenido de azúcares en este material, bajo las condiciones de temperatura y baja luminosidad de la cámara 1, registró un promedio de contenido de glucosa (PcG) significativamente mayores en las muestras de los días 1, 7 y 14 en las plantas no injertadas y las injertadas, en comparación al testigo, para el caso del contenido de fructosa (PcF) es significativamente mayor en los muestreos realizados el día 1, 7 y 14 de las plantas no injertadas y en las injertadas. En relación con el contenido de sacarosa (PcS), para las plantas no injertados es significativamente mayor solo en la muestra del día 1 y para las plantas injertadas es significativamente mayor solo en las muestras del día 1 y 7, finalmente, el promedio del contenido de almidón (PcA) en las plantas no injertadas solo mostró diferencia significativa en la muestra del día 7 y en los materiales injertados no se registraron diferencias significativas en las tres muestras (Cuadro 7).
Cuadro 7 Valores promedio de contenido de glucosa (PcG), de fructosa (PcF), de sacarosa (PcS) y de almidón (PcA) del material duke 7 no injertado e injertado.
| Material | Variable | Cámara 2 (testigo) | Cámara 1 (tratamiento) | |||||
|---|---|---|---|---|---|---|---|---|
| 1 día | 7 días | 14 días | 1 día | 7 días | 14 días | |||
| Duke 7 no injertado (DN) | PcG (µmolas g-1) | 6.02b | 5.93b | 6.7b | 17.03a | 13.93a | 12.48a | |
| PcF (µmolas g-1) | 1.33b | 4.36b | 5.66b | 7.52a | 10.15a | 13.63a | ||
| PcS (µmolas g-1) | 0.14b | 0.22a | 0.29a | 0.23a | 0.27a | 0.25a | ||
| PcA (µmolas g-1) | 1.18a | 0.79b | 0.97a | 1.55a | 1.37a | 0.88a | ||
| Duke 7 injertado (DI) | PcG (µmolas g-1) | 7.67b | 10.3b | 6.24b | 22.02a | 21.03a | 12.41a | |
| PcF (µmolas g-1) | 5.59b | 6.46b | 7.81b | 13.59a | 11.36a | 15.88a | ||
| PcS (µmolas g-1) | 0.14b | 0.1b | 0.43a | 0.46a | 0.32a | 0.13b | ||
| PCA (µmolas g-1) | 1.91a | 1.94a | 0.9a | 1.67a | 1.33a | 1.05a | ||
Medias con la misma letra en la fila y día de muestreo no son significativamente diferente (prueba DMS).
Conclusiones
El estrés por bajas temperaturas afecta el contenido de azúcares, aumentando la concentración de glucosa y fructosa significativamente en los brotes vegetativos de los materiales de aguacate de la raza mexicana (aceitoso, colecta 1, tepetl y duke 7) injertados y no injertados con la variedad ‘Hass’, asociándose a la tolerancia al frío como un osmoprotector natural.
Considerando que los materiales con mayor concentración de glucosa y fructosa bajo condiciones de frío fueron Duke 7 y Tepetl, se recomiendan para su establecimiento como portainjertos de la variedad ‘Hass’ en zonas con temperaturas que oscilen entre 15.61 °C promedio en el día y 4.40 °C promedio en la noche.
Los materiales que presentaron crecimiento bajo condiciones de frío fue aceitoso y colecta 1 injertados y sin injertar; sin embargo, el crecimiento de las plantas sin aumento en la concentración de azúcares (glucosa y fructosa) en los brotes vegetativos los hace más susceptibles a daños por frío.










texto en 



