Introducción
La guanábana (Annona muricata L.) pertenece a la familia de las Annonaceae, es originaria de México y Centro América, se caracteriza por crecer principalmente en los trópicos (Nugraha et al., 2019); sin embargo, también se encuentra distribuida en el Este y Oeste de África y el Sureste de China (Hernández-Fuentes et al., 2021). Los frutos del árbol de guanábana pesan entre 0.9 y 10 kg, éstos presentan una epidermis con protuberancia de los carpelos y pulpa fibrosa, por lo general con más de 100 semillas de 1 a 2 cm de longitud (Jiménez et al., 2014), también son muy apreciados por su pulpa comestible, la cual es de textura suave y fibrosa con un rico sabor agridulce, además de poseer un alto contenido de nutrientes y compuestos bioactivos, debido a esto, el fruto guanábana representa una opción como alimento, ya que puede aportar beneficios a la salud humana, además de que tiene gran potencial para su industrialización y desarrollo de diversos productos alimenticio (Villarreal-Fuentes et al., 2020)
De acuerdo con registros del Servicio de Información Agroalimentaria y Pesquera (SIAP), para el 2019, en México se reportaron 3 612.54 ha de guanábana cultivadas, con un rendimiento promedio de 9.69 t ha-1 y un valor de la producción total cercana a los 248 millones de pesos; del número de hectáreas a nivel nacional, en Nayarit se ha reportado 2 456.94 ha, lo que representó (68%), distribuidas en los municipios de Compostela (2 371 ha), San Blas (52.4 ha), Bahía de Banderas (15 ha), Tepic (12 ha) y Xalisco (6.54 ha) (SIAP, 2019).
En México existe gran diversidad de genotipos de guanábana, ya que la mayoría de las plantaciones establecidas, corresponden a árboles propagados por semilla (Hernández et al., 2017), tal es el caso de Nayarit donde las plantas de guanábana se propagan de manera sexual en los huertos, por lo que sus frutos presentan características morfológicas diversas, éstas variaciones pueden ser aprovechadas, mediante la selección y evaluación de materiales que muestren ventajas comparativas y posteriormente puedan ser caracterizados, registrados y liberados como variedades (Nolasco-González et al., 2019). Estas características sugieren un vasto recurso genético, que se puede aprovechar en investigaciones sobre la selección de genotipos superiores a través de la caracterización, selección, uso y conservación (Terán-Erazo et al., 2019).
Al respecto, en Nayarit, se han realizado investigaciones a nivel morfológico y fisicoquímico de los frutos de guanábana, cuyos resultados han permitido hacer selecciones y registro de variedades (Guanay-1, Guanay-2 y Guanay-3) de las cuales obtuvo el derecho de obtentor la Universidad Autónoma de Nayarit. El objetivo de esta contribución es compartir y difundir las principales características morfológicas y fisicoquímicas de tres nuevas variedades de guanábana Guanay-1, Guanay-2 y Guanay-3.
Materiales y métodos
Origen de las variedades Guanay-1, Guanay-2 y Guanay-3
Para la obtención de estas variedades se realizó una selección de 30 árboles (10 por variedad) vigorosos a pie franco y ausencia visible de plagas y enfermedades en un huerto comercial en la localidad de Venustiano Carranza (21° 32’ 2.77” latitud norte, 104° 58’ 39.73” longitud oeste, 893 msnm) del municipio de Tepic, Nayarit. Los árboles de estudio tenían 19 años, el origen de éstos proviene de genotipos de guanábana establecidos en huertos del ejido Platanitos (21° 31’ 24.25’’ latitud norte, 104° 58’ 27.37’’ longitud oeste, 1 075 msnm) del municipio de Tepic, Nayarit.
En 2016, se realizó una selección de los árboles, tomando en cuenta las características morfológicas distintivas de los frutos; posteriormente se dio seguimiento por dos años, se observó que los frutos de los árboles seleccionados conservaran las características morfológicas distintivas de cada variedad, en 2018 se realizó la caracterización morfológica y fisicoquímica de los frutos (6 frutos por árbol de cada variedad) en madurez de consumo. Como base para la caracterización de los frutos, se usaron los descriptores de chirimoya (Annona cherimola Mill.) registrados y propuestos por la Unión Internacional para la Protección de las Obtenciones Vegetales (UPOV, 2019).
La acidez titulable se determinó por el método oficial AOAC (2005), mediante la titulación volumétrica con hidróxido de sodio (NaOH) y fenolftaleína como indicador, los resultados se expresaron en por ciento de ácido cítrico. La firmeza se evaluó con un texturometro (Chatillon® MT 150 L) con un puntal cónico de 6 mm de diámetro de la base y 5 mm de longitud de la base del cono al ápice. Con los datos obtenidos se realizó un análisis de varianza y comparación de medias con la prueba de Tukey (p≤ 0.05) mediante el software Statistical Analysis System (SAS® V. 9.2).
Descripción de las variedades
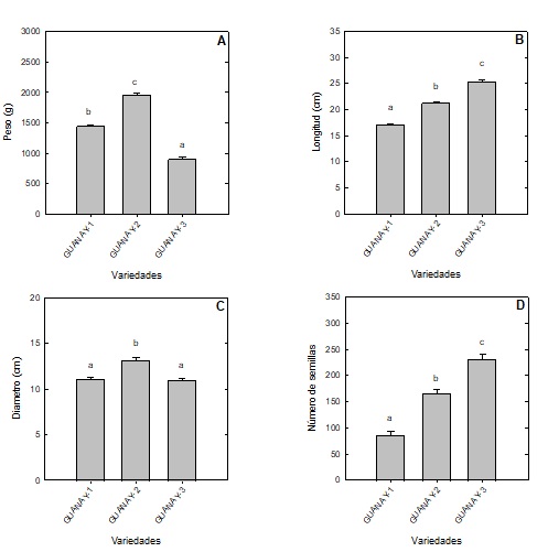
La forma de los frutos de la variedad Guanay-1 fue acorazonada con un ápice de forma redonda, el hábito de los frutos se presentó en tallos y ramas, el peso fue de 1438.79 g, la longitud de 17.09 cm, con un diámetro de la sección transversal de 11.07 cm, los frutos presentaron protuberancias estilares pequeñas en la superficie las cuales midieron 0.5 mm de longitud (Figura 1 A). Los frutos de la variedad Guanay-2 presentaron una forma irregular con un ápice cónico, el hábito de los frutos se presentó tanto en tallos como en ramas; promediaron un peso de 1 948.01 g, una la longitud de 25.31 cm y un diámetro de 13.17 cm, las protuberancias que presentaron los frutos en la superficie midieron 2.05 mm de longitud (Figura 1 B ).
La forma de los frutos de la variedad Guanay-3 fue cónica con un ápice redondo; el hábito de los frutos se presentó en tallos y en ramas, el peso de esta variedad fue de 902.27 g, con una longitud de 21.17 cm y un diámetro de 10.96 cm, las protuberancias presentes en la superficie de esta variedad midieron 7.56 mm de longitud (Figura 1C). El análisis de varianza presentó diferencias significativas entre variedades (p≤ 0.05). Generalmente la forma de los frutos de guanábana se describe como ovalada-acorazonada y algunos frutos presentan forma irregular, asimétrica curvada debido al desarrollo inapropiado del carpelo o vacíos producidos por insectos (Lawrence, 2007).
El peso y las dimensiones de los frutos también son variados y se ha reportado pesos entre los 0.4 y los 2 500 g, diámetros longitudinales de 10 hasta 26 cm y ecuatoriales de 8 a 15 cm (Nolasco-González et al., 2019). La variabilidad que presentaron los frutos de guanábana, en sus características morfológicas, se debe a que provienen de plantas reproducidas por semilla, lo que conlleva a que los frutos presenten alta variación en la forma y tamaño (Terán-Erazo et al., 2019).
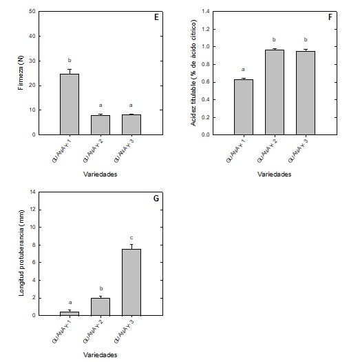
Los frutos de la variedad Guanay-1 tuvieron menor número de semillas (86), mayor firmeza (24.62 N) y menor acidez titulable (0.62%), mientras que los frutos de la variedad Guanay-2 registraron mayor número de semillas (166), acidez titulable alta (0.96%) y menor firmeza (7.82 N) con respecto a Guanay-1. La variedad Guanay-3 mostró la mayor cantidad de semillas (231) y el mayor tamaño de la protuberancia (7.5 mm) a diferencia de las otras dos variedades, la acidez titulable y la firmeza fue similar a la variedad Guanay-2 (Figura 2 y 3).

Figura 2 Peso (A); longitud (B); diámetro (C); y número de semillas (D) de tres variedades de guanábana (Guanay-1, Guanay-2 y Guanay-3). Cada punto representa la media de 11 a 26 observaciones y su error estándar. Literales diferentes presentan diferencias significativas (p≤ 0.05).

Figura 3 Firmeza (E); acidez titulable (F); y longitud de la protuberancia (G) de tres variedades de guanábana (Guanay-1, Guanay-2 y Guanay-3). Cada punto representa la media de 11 a 26 observaciones y su error estándar. Literales diferentes presentan diferencias significativas (p≤ 0.05).
Estadísticamente se presentaron diferencias significativas (p≤ 0.05) entre variedades. El número de semillas por fruto presentó alta variabilidad ya que se ha reportado que éstos pueden tener más de 200 semillas y que esto depende del tamaño del fruto (Nolasco-González et al., 2019). Jiménez-Zurita et al. (2016) reportan una acidez titulable de entre 0.3 hasta 1.2%, por su parte estos mismos autores indican valores de 21.61 y 7.19 N en frutos maduros, los cuales coinciden con los datos de esta investigación (0.62-0.96% de ácido cítrico) y (24.61 y 7.83 N) respectivamente.
Conclusiones
Se registraron en el Catálogo Nacional de Variedades Vegetales (CNVV) tres variedades de guanábana Guanay-1 (número de registro GUN-OO1-020719), Guanay-2 (número de registro GUN-OO2-020719) y Guanay-3 (número GUN-OO3-020719) cuyas principales características distintivas fueron: el tamaño, forma, peso, número de semillas, acidez titulable y el tamaño de las protuberancias. La selección por características morfológicas resultó un método adecuado para registrar tres variedades de guanábana. El registro de las variedades puede contribuir en el desarrollo tecnológico del cultivo de guanábana en Nayarit.









texto en 



