INTRODUCCIÓN
La extracción de ostión americano Crassostrea virginica (Mollusca: Bivalvia: Ostreidae) se ha incrementado en E.E.U.U y en México por su importancia comercial (Kennedy, 2018; CONAPESCA-SAGARPA, 2018). Debido a esto, los bancos de ostión han disminuido en número y la sobreexplotación de estos es más frecuente (Beck et al., 2011; Wilberg et al., 2011; Baggett et al., 2014).
En México, la extracción del ostión se realiza en los sistemas lagunares y estuarinos de Tamaulipas, Veracruz, Tabasco y Campeche (SAGARPA-CONAPESCA, 2012). Con el fin de regular la extracción en dichos estados, las poblaciones silvestres de C. virginica poseen el estatus de “recurso aprovechado al máximo sustentable” (Diario Oficial de la Federación, 2012). No obstante, sólo para el estado de Tabasco, se formuló la norma NOM-015-SAG/PESC-1994 con la finalidad de regular la extracción de ostión silvestre y establecer programas de aprovechamiento y manejo. Con base en esta norma, los ostiones son categorizados de acuerdo con la longitud de su concha como sub-adultos (50-69 mm) y adultos (≥70 mm). Considerando lo anterior, la norma establece que solo los ostiones de talla de ≥70 mm de longitud de concha se deben de extraer para consumo.
En el estado de Tamaulipas, el ostión C. virginica se encuentra en Matamoros, San Fernando, Soto la Marina, Aldama y Altamira (INEGI, 2011). En estos municipios, los bancos de ostión se localizan en la Playa Bagdad, Laguna Madre, Laguna Almagre, Barra del Tordo y laguna de San Andrés (Arias-De León, 2014). En el caso de la Laguna Madre, a pesar de que el ostión tiene una pesquería establecida y regulada, los bancos de ostión han sido sobreexplotados (CONANP, 2015). Esto se refleja en la disminución de la producción del ostión, por ejemplo, en el 2012, el estado de Tamaulipas ocupó el tercer lugar con una producción de 3,990 toneladas. En la actualidad, el estado ocupa el sexto lugar con 2,528 toneladas de ostión producidas (FAO, 2018).
La sobreexplotación de los bancos de ostión se debe en parte a la falta de una norma oficial que regule la pesquería del ostión en Tamaulipas. Actualmente, es urgente contar con la información biológica-pesquera del ostión con el fin de elaborar un Plan de Manejo del ostión en Tamaulipas y Veracruz, tomando como base las acciones realizadas para el aprovechamiento sustentable del ostión en el estado de Tabasco (INAPESCA, 2018).
En la actualidad, información de la estructura poblacional del ostión C. virginica es muy escasa para el Golfo de México (Vidal-Briseño et al., 2015). Al respecto, George-Zamora & Aranda-Aldana (2000) evaluaron la producción de C. virginica e Ischadium recurvum (Bivalvia) en Mecoacán, Tabasco, México. Mientras que, Vidal-Briseño et al. (2015) evaluaron la estructura de tallas de la captura del ostión C. virginica en la Laguna de Tamiahua y Tampamachoco en Veracruz. Por su parte, Mayorga-Cruz (2021) realizó una caracterización poblacional de C. virginica existente en tres lagunas costeras de Tabasco. De la misma manera, Díaz-Jiménez et al. (2022) evaluaron aspectos de la dinámica poblacional de C. virginica en la laguna de Mecoacán, Tabasco.
Con base en la información mínima disponible es necesario orientar investigaciones hacia aspectos poblacionales en los sitios donde diariamente se realiza la extracción de C. virginica, con el fin garantizar un recurso sustentable y recuperar los bancos silvestres sobreexplotados en el estado de Tamaulipas. Debido a lo anterior, en el presente trabajo se determina la estructura poblacional del ostión americano C. virginica en el estado de Tamaulipas, México.
MATERIALES Y MÉTODOS
Área de estudio. Los ostiones fueron recolectados en los bancos ostrícolas localizados en el Río Tigre y en la Laguna de San Andrés (Figura 1). Ambos sitios se ubican en el litoral del Golfo de México, entre los municipios de Aldama y Altamira, Tamaulipas, en las coordenadas: 22° 47’ y 22° 32’ de latitud norte y 97°54› y 97° 41› de longitud oeste. El agua dulce de estos sistemas la proveen el Río Tigre y el Río Barberena. La laguna es muy somera, con poca vegetación alrededor, cuenta con bancos de ostiones (C. virginica) y alta actividad pesquera de camarón, jaiba y algunas especies de peces.

Figura 1 Ubicación geográfica de los bancos ostrícolas en el Río Tigre y en la laguna de San Andrés en el municipio de Aldama, Tamaulipas. Faltan las coordenadas geográficas para los mapas de la derecha, se sugiere poner letras a cada mapa.
Recolecta de los ostiones. Los ostiones fueron recolectados en el Río Tigre (Banco 1), la desembocadura del Río Tigre (Banco 2) y en la laguna de San Andrés (Banco 3) de enero - diciembre del 2022.
En cada banco los ostiones fueron recolectados en 2,500 m2, a una profundidad de 43±12 cm en el Río Tigre, 67±12 cm en la Desembocadura y 90±12 cm en la Laguna de San Andrés. En esta área, el muestreo de los ostiones fue mediante el método basado en cuadrantes (Garrido et al., 2007; Betanzos-Vega et al., 2018). Para ello, cada banco fue dividido en cinco cuadrantes, en cada cuadrante se lanzó aleatoriamente un marco cuadrado de acero (1 m2) cinco veces con el fin de determinar la densidad poblacional (número de ostiones/m2).
La recolección de los ostiones fue de forma manual. Los ostiones recolectados se limpiaron y lavaron con agua para retirar el exceso de materiales adheridos a la concha (pequeños bivalvos, algas y sedimento). Una vez limpios, los ostiones fueron medidos (largo y ancho), con un vernier con precisión de 0.1 mm, y pesados con una balanza digital (Ohaus Compass TM CX) con precisión de 0.1 g. Después, los ostiones fueron clasificados por reclutas (0 a 20 mm), juveniles-pre-adultos (20 a 40 mm) y adultos (40 a 60 mm) y adultos con más de una reproducción (≥ 60 mm) (Rodríguez-De La Cruz, 1988; Galtsoff, 1964). Para estimar el porcentaje de población pescable, en el presente estudio se tomó como referencia la talla mínima de extracción (70 mm de longitud concha) establecida en la Norma Oficial Mexicana NOM-015-SAG/PESC-2016; norma utilizada para regular el aprovechamiento del ostión C. Virginica en los sistemas lagunar estuarinos del Estado de Tabasco.
Análisis de datos. El análisis de distribución de la frecuencia de tallas de los ostiones recolectados se efectuó mensualmente por banco, siendo 4 mm el tamaño de intervalo de clase para cada banco. El intervalo fue calculado con la fórmula de Freedman & Diaconis (1981a, b): h = 2 (RIC) n-1/3
Dado que en el presente estudio la talla no presentó distribución normal (test Kolmogorov-Smirnov: p<0.05), se utilizó la prueba de Kruskal Wallis, que permitió comparar las medianas de diferentes muestras (Zar, 2010) para ese factor.
Se determinó la relación longitud peso mediante la aplicación de un modelo potencial Y = a X b, donde: “Y” representó el peso total y “X” representó la longitud total de la concha. Bajo el supuesto de que si b< 3 existe un crecimiento alométrico negativo, si b = 3 el crecimiento es isométrico y si b> 3 el crecimiento que presenta la especie es un crecimiento alométrico positivo (Ibáñez & Fernández, 2006)
Se determinó la abundancia en número y peso (N/m2 y kg/m2) de cada réplica, de cada zona evaluada, y la abundancia total del banco realizando las conversiones necesarias para obtener la abundancia total en kg/km2 (productividad por área).
A partir de la productividad por área o densidad (D) en peso (kg/km2), estimada para todo el banco y del área total del banco (A) en km2, se estimó la biomasa (B) total de la población en toneladas métricas (t) con la fórmula B = A*D (Cadima, 2003).
Finalmente, antes del análisis, se comprobó la ausencia de normalidad y homogeneidad de la varianza con las pruebas de Kolmogorov-Smirnov y Leven en el número promedio de largo (mm), ancho (mm) y peso (g), número promedio de los reclutas, jóvenes, adultos y adultos con más de una reproducción. Cuando no se cumplieron los supuestos estadísticos mencionados anteriormente, los resultados fueron analizados con la prueba noparamétrica de Kruskal-Wallis. Una vez que se rechazó la hipótesis nula con la prueba de Kruskal-Wallis, se procedió a comparar las medias de rangos con la prueba de Nemenyi (Alfa= 0.05).
RESULTADOS
La prueba de Kruskal-wallis (KW) presentó diferencias significativas en tallas para cada sitio (p<0.05).
Se recolectaron 2,277 ostiones de C. virginica, en el Banco 1 (n=532), Banco 2 (n=488) y Banco 3 (n=1,257).
En el Banco 1, la estructura de tallas de C. virginica estuvo constituida por organismos de 17 a 118 mm largo total (Lt). No obstante, hubo una mayor representación de individuos con tallas comprendidas entre 45 a 58 mm. La mayor proporción de ostiones (82.21%) se ubicó en longitudes valvares mayores a 42 mm (Fig. 2a). La talla media de los ostiones muestreados fue de 57.86 mm Lt. En este banco se recolectó un ejemplar en la etapa de recluta (0.18 %), 20 en la etapa juvenil-pre-adulto (3.75 %), 306 adultos (57.51 %) y 205 adultos con más de una reproducción (38.56 %).

Figura 2 Distribución de tallas de C. virginica a) Río Tigre, b) desembocadura y c) laguna de San Andrés, Aldama, Tamaulipas, México en el periodo enero-octubre 2022.
En el banco 2, la estructura de tallas de C. virginica estuvo constituida por organismos de 13 a 93 mm largo total (Lt). Hubo una mayor frecuencia de individuos con tallas comprendidas entre 54 a 65 mm de longitud total. La mayor proporción de ostiones (86.58%) se ubicó en longitudes valvares mayores a 37 mm (Fig. 2b). La talla media general de los ostiones muestreados fue de 57.84 mm Lt. En este banco se recolectaron tres ejemplares en etapa de recluta (0.61 %), 36 en etapa juvenil-pre-adulto (7.37%), 237 adultos (48.56%) y 212 adultos con más de una reproducción (43.46 %; Fig. 2b).
En el banco 3, la estructura de tallas de C. virginica estuvo constituida por organismos 12 a 106 mm largo total (Lt), con una mayor concentración de individuos de 43 a 57 mm de longitud total. La mayor proporción de ostiones se ubicó en longitudes valvares mayores a 37 mm (75.17%; Fig. 2c). La talla media general de los ostiones muestreados fue de 51.56 mm Lt. En este banco se recolectaron 15 ejemplares de la etapa recluta (1.19 %), 269 de la etapa juvenil-pre-adulto (21.40%), 625 adultos (49.75%) y 348 adultos con más de una reproducción (27.66 %).
Mediante la aplicación del modelo de regresión potencial del peso total (PT)-longitud total (Lt) para el ostión C. virginica en el banco 1 se obtuvo un crecimiento alométrico negativo en los ejemplares muestreados para esta zona, al estimar que el valor de b= 2.179 y se determinó la ecuación: (PT = 0.005 *Lt2.179; r = 0.774), la cual indicó que existe una relación entre el peso y la longitud total de los organismos (Fig. 3a).

Figura 3 Relación entre las variables longitud-peso de C. virginica a) Río Tigre, b) desembocadura y c) laguna de San Andrés.
Con respecto a la relación longitud-peso de C. virginica del banco 2 determinó un valor b = 2.110, lo que evidenció que los ejemplares muestreados para el presente estudio presentaron un crecimiento alométrico negativo. Así mismo, se estableció la ecuación: (PT = 0.007 *Lt 2.110 r = 0.739) (Fig. 3b).
Con respecto a la relación longitud-peso de C. virginica para el banco 3, se determinó un valor b = 2.458, lo que evidenció que los ejemplares muestreados para el presente estudio presentaron un crecimiento alométrico negativo. Así mismo, se estableció la ecuación: (PT = 0.001 *Lt2.458 r = 0.821), la cual demostró que existe una relación entre las variables analizadas (Fig. 3c).
A través de la prueba de Kruskal- Wallis, el ancho, largo y peso de los ostiones recolectados en cada banco se registró diferencia estadística significativa (p<0.05; Figs. 3 a, b y c). En el acho del cuerpo de los ostiones del banco 1 y banco 2 no hubo diferencia estadística significativa (P=0.180), en contraste con el banco 3 (P=0.001). No obstante, el ancho del cuerpo de los ostiones recolectados en ambos bancos fue mayor al ancho del cuerpo de los ostiones recolectados en el banco 3 (Fig. 4a).

Figura 4 Análisis estadístico de los parámetros poblaciones (largo, ancho y peso) de C. virginica. T1= Banco 1, T2= Banco 2 y T3= Banco 3.
Por otro lado, en el banco 1 y en el banco 2 no hubo diferencia estadística significativa en el largo del cuerpo de los ostiones (P=0.128), en contraste con el banco 3 (P=0.001). No obstante, el largo de los ostiones recolectados en ambos bancos fue mayor al largo del cuerpo de los ostiones recolectados en el banco 3 (Fig. 4b).
De forma similar, en el banco 1 y en el banco 2 no hubo diferencia estadística significativa en el peso del cuerpo de los ostiones (P=0.110), en contraste con el banco 3 (P=0.001). No obstante, el peso de los ostiones recolectados en ambos bancos (1 y 2) fue mayor al peso los ostiones recolectados en el banco 3 (Fig. 4c).
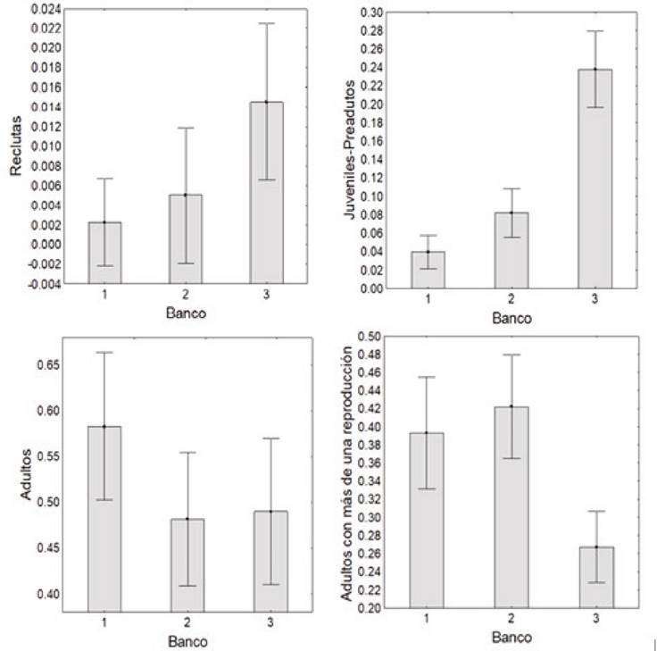
En el número de reclutas de los ostiones recolectados en cada banco no se registró diferencia estadística significativa (P=0.05; Fig. 5a).

Figura 5 Análisis de varianza de los parámetros poblaciones (recluta, joven-preadulto, adulto, adultos con más de una reproducción) de C. virginica. T1=Banco 1, T2= Banco 2 y T3= Banco 3.
La prueba de Kruskal- Wallis para juveniles mostró diferencia estadística significativa (p<0.05), sin embargo, el número promedio de juveniles de los ostiones, en el banco 1 y en el banco 2 no hubo diferencia estadística significativa en la cantidad de juveniles recolectados (P=0.115) en contraste con el banco 3 (P=0.001). En ambos bancos el número promedio de juveniles fue menor a los registrados en el banco 3 (Fig. 5b).
La prueba de Kruskal- Wallis para adultos registró diferencia estadística significativa (p<0.05). En el número promedio de adultos de los ostiones, en el banco 1 (P=0.251), banco 2 (P=0.251) y en el banco 3 (P=0.251) no hubo diferencia estadística significativa en la cantidad de adultos recolectados. El número promedio de adultos fue mayor registrado en el banco 1 que el banco 2 y 3 (Fig. 5c).
La prueba de Kruskal- Wallis para adultos con más de una reproducción registró diferencia estadística significativa (p<0.05). En el número promedio de adultos con más de una reproducción, en el banco 1 y banco 2 no hubo diferencias significativas (P=0.131) en contraste con el banco 3 (P=0.011). En ambos bancos el número promedio de adultos con más de una reproducción fue mayor a los registrados en el banco 3 (Fig. 5d).
De enero a abril, el número de ostras por metro cuadrado (N/m2) fue mayor en los tres bancos. No obstante, en el banco 2 y 3 se registró el número mayor de kilogramos por metro cuadrado (kg/m2) (Tabla 1).
Tabla 1 Valores medios mensuales de longitud (mm), abundancia media (número de ostras/m2 y kg/m2) y media total ± error estándar de la población de C. virginica por banco.
| Periodo del 2022 | Banco 1 | Banco 2 | Banco 3 | Media total | Error Estándar | |
| Ene | Tamaño medio (mm) | 55.6 | 55.1 | 50.5 | 57.3 | 2.8 |
| Ostión / m2 | 3 | 3 | 17 | 7.6 | 8.08 | |
| Kg / m2 | 0.047 | 0.044 | 0.024 | 0.038 | 0.01 | |
| Feb | Tamaño medio (mm) | 55.3 | 55.6 | 52.9 | 54.6 | 1.47 |
| Ostión / m2 | 3 | 2 | 5 | 3.3 | 1.52 | |
| Kg / m2 | 0.040 | 0.047 | 0.032 | 0.039 | 0.007 | |
| Mar | Tamaño medio (mm) | 57.4 | 57.0 | 54.7 | 56.3 | 1.45 |
| Ostión / m2 | 2 | 3 | 6 | 3.6 | 2.08 | |
| Kg / m2 | 0.035 | 0.035 | 0.027 | 0.032 | 0.004 | |
| Abr | Tamaño medio (mm) | 55.4 | 56.1 | 57.0 | 56.1 | 0.80 |
| Ostión / m2 | 2 | 3 | 4 | 3.0 | 1 | |
| Kg / m2 | 0.030 | 0.040 | 0.028 | 0.032 | 0.006 | |
| May | Tamaño medio (mm) | 57.8 | 55.9 | 50.5 | 54.7 | 3.7 |
| Ostión / m2 | 1 | 2 | 3 | 4.6 | 1 | |
| Kg / m2 | 0.037 | 0.049 | 0.020 | 0.035 | 0.014 | |
| Jun | Tamaño medio (mm) | 59.2 | 57.9 | 54.7 | 57.2 | 2.3 |
| Ostión / m2 | 1 | 2 | 3 | 2.0 | 1 | |
| Kg / m2 | 0.043 | 0.040 | 0.027 | 0.036 | 0.008 | |
| Jul | Tamaño medio (mm) | 56.6 | 61.2 | 52.9 | 56.9 | 4.1 |
| Ostión / m2 | 1 | 1 | 3 | 1.6 | 1.4 | |
| Kg / m2 | 0.036 | 0.043 | 0.023 | 0.034 | 0.01 | |
| Ago | Tamaño medio (mm) | 55.1 | 60.2 | 46.5 | 53.9 | 6.9 |
| Ostión / m2 | 1 | 2 | 3 | 2.0 | 1 | |
| Kg / m2 | 0.037 | 0.048 | 0.020 | 0.035 | 0.01 | |
| Sep | Tamaño medio (mm) | 52.7 | 54.8 | 48.8 | 52.1 | 3.0 |
| Ostión / m2 | 1 | 1 | 2 | 1.3 | 0.5 | |
| Kg / m2 | 0.038 | 0.041 | 0.019 | 0.033 | 0.01 | |
| Oct | Tamaño medio (mm) | 68.8 | 64.8 | 53.3 | 62.3 | 8.0 |
| Ostión / m2 | 1 | 1 | 2 | 1.3 | 0.5 | |
| Kg / m2 | 0.022 | 0.049 | 0.021 | 0.031 | 0.01 | |
| Nov | Tamaño medio (mm) | 60.2 | 57.1 | 40.0 | 52.4 | 10.0 |
| Ostión / m2 | 1 | 1 | 2 | 1.3 | 0.5 | |
| Kg / m2 | 0.011 | 0.038 | 0.011 | 0.052 | 0.01 | |
| Dic | Tamaño medio (mm) | 66.2 | 63.3 | 39.4 | 56.3 | 14.7 |
| Ostión / m2 | 1 | 1 | 2 | 1.3 | 0.5 | |
| Kg / m2 | 0.011 | 0.054 | 0.011 | 0.025 | 0.02 |
En cuanto a la productividad, para organismos adultos, el banco 1 y 3 registraron más biomasa que el banco 2. El banco 3 registro más biomasa para organismos adultos con más de una reproducción. La productividad en organismos en etapa de recluta registró valores menores a 1t para los tres bancos. De igual manera, para jóvenes pre-adultos se registraron valores menores a 1t para el banco 1 y 2. En contraste, el banco 3 produjo mayor productividad (Tabla 2). La biomasa con talla de captura comercial (≥ 60 mm) fue más del 40% para los tres bancos.
Tabla 2 Biomasa (t) anual estimada de C. virginica en el Río Tigre, desembocadura y laguna de San Andrés.
| Variables | Banco 1 | Banco 2 | Banco 3 |
|---|---|---|---|
| Reclutas (0-20 mm) | 0.015 | 0.005 | 0.042 |
| Jovenes- Preadultos (20-40 mm) | 0.437 | 0.665 | 2.2 |
| Adultos (40-60 mm) | 10.7 | 8.6 | 14.6 |
| Adultos con más de una reproducción (≥ 60 mm) | 11.3 | 11.9 | 14.5 |
| Biomasa total | 22.45 | 21.17 | 31.34 |
DISCUSIÓN
En la presente investigación la talla promedio de los ejemplares de la población capturada de la Laguna de San Andrés fue menor estadísticamente a la estimada en el Río Tigre y en su desembocadura. Por otro lado, se corroboró que las tallas más representativas fueron similares para todos los sitios. Este resultado es similar al reportado por Vera (2012) quien registró tallas de 45-53 mm y 53-60 mm como las más representativas. Así mismo, con lo reportado por Vidal-Briseño et al. (2015) quienes reportaron tallas de 52-56 mm y 56-60 mm.
Con respecto a la relación entre el peso total (PT) y longitud total (Lt) de los organismos, los resultados del presente trabajo señalan que los organismos de los tres bancos presentaron una relación alométrica negativa al registrar valores de la pendiente «b» significativamente menores a 3 (Banco1 b = 2.179; Banco 2 b = 2.110 y Banco 3 b= 2.458). Estos valores son menores a los reportados por Fuentes (2012), quien calculó un valor b = 2.62 para C. virginica de julio a diciembre en el 2010 en la Laguna de Tampamachoco, Veracruz, sin embargo, fueron mayores a los reportados por Vidal-Briseño et al. (2015), quienes reportaron organismos de la laguna Tamiahua con un valor de b = 1.18 y organismos de la Laguna de Tampamachoco con un valor de b = 1.26. Lo anterior, demuestra que la talla obtuvo mayor incremento en proporción que el peso (Cifuentes et al.,2012). Esta relación es requerida en los análisis pesqueros para estimar y determinar el tamaño de la población de una especie, ya que la tasa de incremento en peso y talla refleja la influencia de los factores ecológicos en un hábitat y en los organismos que lo habitan (Vásquez et al., 2015; García-Delgado & Leones-Zambrano, 2016).
Por otro lado, los organismos con mayores tallas (largo y ancho) y pesos se registraron en el Río Tigre y en su desembocadura. Esto puede deberse al tipo de hábitat y las características hidrológicas. Al respecto, Betanzos-Vega et al. (2016) reportaron al ostión americano y al ostión de mangle con mayor talla de crecimiento en las zonas interiores del Río Cuyaguateje y Cauto, en contraste con la desembocadura y zona costera. En este estudio la salinidad fue un factor determinante, ya que se registraron valores mayores de salinidad en el hábitat del ostión de mangle (30.20-39.05 ups), en comparación con el hábitat del ostión americano (15.42-34.01 ups), lo que es coincidente con otros estudios donde sitúan al ostión C.virginica en aguas salobres (Castillo-Rodríguez & García-Cubas,1984; Lodeiros & Freites, 2008).
En los tres bancos la población estuvo mayormente representada por adultos y adultos con más de una reproducción. El número menor de ostiones en etapa de recluta puede ser atribuido principalmente a que en el Estado de Tamaulipas no hay una norma oficial que establezca una talla mínima permitida de extracción del ostión. En este sentido, si se aplicara la norma NOM-015- SAG/PESC-1994 tal como se lleva a cabo en el Estado de Tabasco, solo el 17.29 % de la población de ostiones del Río tigre, 14.75 % de la población de ostiones de la desembocadura del Río Tigre y el 10.17 % de la población de ostiones de la laguna de San Andrés estaría permitida para su extracción.
Adicional a lo anterior, durante el año, en el presente estudio, se registró en todas las zonas evaluadas una densidad por debajo de los 200 ostiones/m2, esto indica que los bancos carecen de la abundancia mínima aceptable en una población natural para garantizar una pesquería sustentable de C. virginica (Palacios-Fest et al., 1988). Como antecedente de lo observado anteriormente, a principios de 1980 Solano (1995) registro 394 ostiones/m2 en la Laguna Mecoacán del estado de Tabasco, México. Años más tarde, en el 2007, en el mismo lugar, Garrido et al. (2007) reportaron una disminución del 64% de la producción del ostión americano. La disminución se debió a una gestión deficiente de la pesquería por no aplicar criterios de manejo sustentable (FAO, 1997) más que a problemas bio-ecológicos.
Por otro lado, la biomasa total de C. virginica en el Río Tigre, desembocadura del Río Tigre y laguna de San Andrés estuvo en concordancia con la disminución anual en la abundancia total de ostras/m2, observando abundancia muy por debajo de < 200 ostras/m2, y la biomasa con talla de captura comercial para los tres bancos de ≥ 60 mm. De acuerdo con Palacios-Fest et al. (1988), una condición adicional para lograr una captura sostenible es que la pesquería se realice en los bancos naturales con más de 200 ostras/m2 y que estos muestren más del 40 % de ostras con una talla ≥ 60 mm.
En los tres bancos las mayores colectas se registraron de enero a abril. En este periodo, en el área de estudio por la ocurrencia de frentes fríos, tormentas y altas precipitaciones se reducen la población de organismos depredadores (Palma, 2008), esto puede estar permitiendo que los ostiones alcancen a vivir más tiempo. Lo anterior mencionado coincide con lo reportado por Cordero (2000), donde observó que en el periodo de febrero-abril existe una mayor producción en la Laguna de Tamiahua, Veracruz. Mientras que, Vidal-Briseño et al. (2015) reporta el número mayor de ejemplares en los meses febrero y marzo en la Laguna de Tampamachoco, Veracruz.
Por otro lado, la escasez de la talla permitida para su extracción en los bancos del Río Tigre y desembocadura es posible que se deba a la contaminación generada por las constantes descargas de aguas residuales por parte de la Comisión de Agua Potable y Alcantarillado, ya que ambos bancos se localizan cerca al ejido “Las Flores” y “Morón”, donde es conocido el impacto de la urbanización en los estuarios afectando la calidad del agua, con efectos subsiguientes de estos cambios ambientales en la vida silvestre marina (Paerl, 2014; Lemley et al., 2018). Otra causa probable puede ser la sobreexplotación del ostión en esta zona, ya que en Tamaulipas se ha disminuido la producción pesquera ostrícola (FAO, 2018) debido a la sobreexplotación (CONANP, 2015). Otra posible causa es que en el ejido Morón y las Flores se encuentra el comercio restaurantero donde se consume el ostión por los turistas, lo que implica una fuerte demanda de este recurso. Lo antes mencionado no afecta a la población del banco localizado en la Laguna San Andrés, ya que este está fuera del alcance de los pescadores.
Escasos estudios se han realizado en el Río Tigre y laguna de San Andrés en cuanto al impacto en los ostiones por contaminantes persistentes como son los metales pesados. Uno de estos estudios es el reportado por Goldaracena-Islas (2007), donde se demostró la bioacumulación de cobre y niquel en C. virginica en la laguna de San Andrés. Por otro lado, Vázquez-Sauceda (2005) encontró una concentración de metales pesados (cobre, cadmio, fierro, manganeso, plomo, níquel, y zinc) en agua, sedimentos y en el tejido en la laguna de San Andrés y en la desembocadura del Río Tigre. Esto sugiere que una de las posibles fuentes de entrada de estos metales hacia la laguna es a través de este río. Debido a esto, es pertinente realizar estudios de contaminación en los sitios muestreados en sedimentos, agua y organismos. Aunado a lo anterior, en Aldama Tamaulipas la producción agrícola, acuícola y ganadera se lleva a cabo de manera intensiva, donde el uso de plaguicidas es recurrente. Así mismo, la ubicación de un puerto industrial situado a 20 kilómetros al sur del Río Tigre y laguna de San Andrés podría ser un impacto significante en la macrofauna de los cuerpos de agua del sur de Tamaulipas.
En conclusión, los resultados muestran un manejo inadecuado del recurso al observar que en los tres bancos la mayor parte de la población ostiones capturada se encuentra por debajo de la talla permitida para su extracción. Con base en la distribución de tallas se puede definir estudios enfocados a proponer planes de manejo o estrategias de explotación y manejo sustentable del recurso en el Río Tigre y en la laguna de San Andrés.










nueva página del texto (beta)



