Introducción
En México existe un severo deterioro de los ecosistemas forestales y del recurso suelo. Datos de la CONAFOR (2022), indican que el país en el periodo 2001-2018 se perdieron en promedio 212 070 ha al año; siendo las de mayor pérdida la ecorregión de selvas-cálido húmedas (con pérdidas estimadas de 87 884 ha año-1), seguido de las ecorregiones de selvas cálido-secas (57 733 ha año-1). Esto ha originado que más del 75% de los suelos del territorio nacional presenten problemas de erosión, salinización, compactación, encostramiento, desbasificación, deshumificación, contaminación y en el extremo, procesos de desertificación agudizados por el cambio climático (Ortega et al., 2018). Las causas del deterioro son diversas, pero casi todas se deben a las actividades antrópicas incentivadas por intereses económicos, tales como la tala clandestina e inmoderada, la quema de biomas para abrir tierras al cultivo, el indebido cambio de uso del suelo, la ganadería extensiva y el sobrepastoreo (Ortega-Baranda, Sánchez, Sánchez, Luis y Ruvalcaba, 2020), la pobreza de comunidades rurales, la omisión y falta de aplicación de la ley por parte de los gobiernos federal y estatales, a lo que hay que añadir la falta de educación y cultura de una sociedad proclive a la degradación socio ambiental de la industrialización que amenaza el equilibrio ecológico, la seguridad alimentaria y el desarrollo sostenible de la sociedad, ya que soslaya las importantes funciones que tiene el suelo y la vegetación de bosques y selvas como la producción de O2 atmosférico, la captura de gases de efecto invernadero como el CO2, CH4 y N2O. La regulación del clima y del ciclo del agua, así como todos los beneficios ecosistémicos que esto implica para las comunidades rurales y urbanas (Sánchez-Bernal, Camacho, Rodríguez y Ortega, 2013). En el ámbito regional, desde 1948 por decisión política del gobierno federal, la planicie costera fue sujeta a cambio de uso del suelo para dar paso a la actividad ganadera. Sin embargo, una vez que se agotó la fertilidad de los suelos y de que el cambio climático presentó veranos más secos (Nájera-González, Carrillo, Morales y Nájera, 2021), disminuyó la cantidad y calidad del forraje producido por ha y con ello la posibilidad de satisfacer las necesidades alimenticias del ganado, por lo que, como alternativa, los animales jóvenes año con año son trasladados a otras regiones del país ricas en pastos para culminar su proceso de engorda. En adición, el sobrepastoreo y el riego de pastizales con aguas de elevada concentración salina generan procesos de salinización en los suelos, que reducen la superficie de llanura pastizal, decrece la producción de biomasa, la calidad nutritiva de los pastos y los productores padecen magras cosechas forrajeras (Sánchez-Bernal, Santos, Ortega, López y Camacho, 2020). La presente investigación evaluó la tolerancia a sales de híbridos del género Brachiaria proporcionados por el Centro Internacional de Agricultura Tropical (CIAT 2004): Cobra (BR02/1794), Cayman (BR02/1752), Camello (GP 3025) y Mulato II (CIAT 36087) a condiciones de las sales puras NaCl, MgCl2 y NaHCO3, en siete niveles de salinidad: 0, 1.13, 2.48. 3.84. 5.19, 6.40 y 9.60 g L-1, con el fin de determinar el umbral salino de su crecimiento y desarrollo. La hipótesis fue que los pastos Cobra y Camello reducen 50% su crecimiento a una concentración salina de 9.60 g L-1. Los resultados servirán a los productores ganaderos de la región para tomar decisiones en relación con la variedad de pasto que puede ser utilizada como forraje alterno para alimentar ganado en condiciones salinas y secas.
Materiales y Métodos
Localización del área de estudio
La presente investigación se realizó en el invernadero del Centro de Investigación de Pastos Tropicales (CIPAT) del grupo Papalotla, S. A. de C. V., en la comunidad de Santa Elena, Tonameca, Oaxaca. El centro proporciono la semilla mejorada genéticamente de diferentes cruces de pastos del género Brachiaria.
Preparación de unidades experimentales y establecimiento del experimento
En condiciones de invernadero en bolsas de polietileno de 4.5 kg de capacidad, con el sustrato agrolita cubierta por una capa de 2 cm de espesor de tezontle se sembró semilla certificada de los pastos híbridos del género Brachiaria: Cobra (BR02/1794), Cayman (BR02/1752), Camello (GP 3025) y Mulato II (CIAT 36087). La densidad de siembra fue de 20 semillas por maceta. A cada maceta se le aplicó un volumen de 2 L de solución salina conforme los tratamientos seleccionados como experimentos independientes. Se utilizaron tres sales puras (una por tratamiento): NaCl, MgCI2 y NaHCO3. Se estableció un testigo o control (C0) con agua destilada y seis niveles de salinidad con concentraciones de 1.13, 2.48, 3.84, 5.19, 6.40 y 9.60 g L-1 con conductividades eléctricas (CE) en la solución de 1.77, 3.88, 6.0, 8.11, 10.0 y 15.0 dS m-1, respectivamente y que de acuerdo con Maas y Hoffman (1977), disminuyen el crecimiento y producción de biomasa en el orden 0% (C1), 25% (C2), 50% (C3), 75% (C4), 100% (C5) y 150 % (C6). El diseño de tratamientos fue un factorial con dos factores: cuatro pastos y siete niveles de salinidad de las cuales tres fueron sales puras y un control; se hicieron tres repeticiones por tratamiento. Las soluciones se prepararon en laboratorio con base en la constante de proporcionalidad de Richards (1974): mg L-1 = 0.640 × CE. Se determinó su pH y su CE con el equipo marca Hanna Instruments® modelo HI 98129. El potencial osmótico en MPa se evaluó con base en la ecuación:
Donde M = concentración molar, R = constante de los gases (en el caso del NaCl, tiene una constante de disociación de 1.8) y T = Temperatura en °K. En adición, se preparó una solución nutritiva de Steiner (1984), con fórmula 15-30-15, que se vertió a cada uno de los contenedores de las soluciones salinas con las que se irrigaron las macetas experimentales. El riego consistió en la reposición de agua consumida por evaporación cada tercer día, a fin de mantener los tratamientos a peso constante. La temperatura del invernadero osciló entre 25 a 28 grados centígrados.
El experimento se realizó del 2 de julio al 30 de septiembre de 2020 y comprendió en registrar la emergencia de los tallos visibles por encima del sustrato (DDE) (Bernstein, 1964) cada tercer día, durante un periodo de 15 días después de la siembra (DDS). Durante este periodo se protegió a las plantas contra fungosis mediante la aplicación de Captan ultra 50 WP, a dosis de 2 g L-1. Pasados los 15 días después de la emergencia (DDE) se dejaron sólo cuatro plántulas por maceta. La altura de plantas se midió con una regla métrica durante un periodo de tres meses en intervalos de 15 días después de la DDE (15, 30, 45, 60, 75 y 90 días). El análisis del crecimiento consideró el número de hojas maduras (Aitken, 1977), la longitud del tallo (cm) desde la superficie del sustrato hasta el ápice del tallo y la tasa de incremento de longitud del tallo mediante la fórmula:
Donde LT2 y LT1: longitud del tallo principal al final y al inicio de un periodo determinado; t2 y t1: tiempo final e inicial del periodo dado; el diámetro del tallo se midió con un vernier digital marca Truper® en periodos de 15 días a los 22, 44, 66 y 90 DDE a partir de la unión tallo-raíz de cada planta. En el mismo periodo, se contó el número de hojas y de macollos. La longitud de la raíz (cm) se midió desde la yema axilar de la base del tallo hasta el ápice más distante. Las plantas se cosecharon y se separó la raíz y la parte aérea. La acumulación de biomasa se determinó con la suma del peso seco de la raíz y la parte aérea de las plantas; la acumulación proporcional de biomasa se obtuvo dividiendo el peso seco (g) de cada órgano entre el peso seco total de cada planta. Se calibró un modelo lineal de predicción del peso seco total de plantas (PST) en función del Ψπ de las soluciones, mediante la ecuación:
Donde; y = Peso seco total de la planta (g), A = ordenada al origen; B = pendiente de la recta o número de unidades (g) que aumenta o disminuye el PST por unidad de decremento del Ψπ de la solución, x = Ψπ de la solución (MPa). El análisis de varianza y la prueba de medias por Tukey α= 0.05 se llevaron a cabo mediante el programa SAS (2010).
Resultados y Discusión
Emergencia de plántulas de pastos
Cada sal y nivel de concentración produjo un retraso y disminución en el porcentaje de emergencia (DDE) de los cuatro híbridos. El máximo promedio porcentual de DDE se registró en el pasto Cobra en el intervalo de concentración de sales de 0 a 2.48 g L-1, en el orden NaCl (92.8%, C0 = 59.6%) > MgCl2 (87.2%, C0 = 60.3%) > NaHCO3 (85.6%, C0 = 59%). Los pastos Cayman y Camello en ese intervalo registraron un porcentaje de DDE de 73.3%, C0 = 31.5% y 63.9%, C0 = 27% respectivamente para NaCl; 70.6%, C0 = 30.9% y 59.3%, C0 = 27.3%, respectivamente para MgCl2; y 61.1%, C0 = 29.6% y 72.8%, C0 = 27.6% para NaHCO3. En el intervalo 3.84 a 5.19 g L-1, dichos porcentajes disminuyeron. La mayor DDE la registró Cobra con 79.2% seguido del pasto Cayman con 61.7%, Camello con 60% y Mulato II con 55%, Las sales afectaron la DDE a este nivel en el siguiente orden MgCl2 < NaCl < NaHCO3. Por su parte la menor DDE se registró para el pasto Mulato II en la sal NaCl con 30.8%, C0 = 32.3%; MgCl2 con 23.3%, C0 = 25%; y NaHCO3 con 0%, C0 = 22.9%. De las tres sales evaluadas, la que inhibió más la DDE fue NaHCO3 en la concentración de 6.40 a 9.60 g L-1, (Cuadro 1). La estadística indica diferencias significativas (P = 0.05) en los dos últimos niveles en los cuatro híbridos evaluados.
Cuadro 1: Efecto de la CE, pH y Ψπ de soluciones salinas en el porcentaje de emergencia (DDE) de pastos híbridos del género Brachiaria en diversos días después de la siembra (DDS).
Table 1: Effect of EC, pH and Ψπ of saline solutions in the percentage of emergence (DDE) of hybrid grasses of the genus Brachiaria on various days after sowing (DDS).
| Sal | Pasto | Concentración | CE | pH | Ψπ | Porcentaje de emergencia (DDE) | ||||
| 3 | 6 | 9 | 12 | 15 | ||||||
| g L-1 | dS m-1 | MPa | ||||||||
| NaCl | Cayman |
0 1.13 2.48 3.84 5.19 6.40 9.60 |
0 1.75 3.85 6.0 8.1 10.1 15.2 |
7.4 6.4 6.5 6.3 6.2 6.1 6.3 |
0 -0.06 -0.08 -0.13 -0.18 -0.23 -0.54 |
0 0 0 0 0 0 0 |
16.16 13.33 6.66 1.66 10 1.66 5 |
31.66 35 28.33 15 23.33 1.66 5 |
61.66 53.33 43.33 25 36.66 26.66 15 |
78.33 a 76.66 a 65 b 58.33 b 50 b 40 b 18.33 c* |
| NaCl | Cobra |
0 1.13 2.48 3.84 5.19 6.40 9.60 |
0 1.75 3.85 6.0 8.1 10.1 15.2 |
7.4 6.4 6.5 6.3 6.2 6.1 6.3 |
0 -0.06 -0.08 -0.13 -0.18 -0.23 -0.54 |
0 0 0 0 0 0 0 |
41.66 26.66 18.33 16.66 16.66 8.33 10 |
56.66 41.66 23.33 30 28.33 20 36.66 |
100 71.66 48.33 55 61.66 46.66 58.33 |
100 a 93.33 a 85 a 78 b 75 b 68.33 b 66.66 b |
| NaCl | Camello |
0 1.13 2.48 3.84 5.19 6.40 9.60 |
0 1.75 3.85 6.0 8.1 10.1 15.2 |
7.4 6.4 6.5 6.3 6.2 6.1 6.3 |
0 -0.06 -0.08 -0.13 -0.18 -0.23 -0.54 |
0 0 0 0 0 0 0 |
0 0 0 1.66 0 3.33 0 |
25 6.66 11.66 3.33 1.66 5 1.66 |
30 11.66 16.66 8.32 3.33 8.33 5 |
80 a 58.33 b 53.33 b 36.66 c 36.66 c 35 c 35 c |
| NaCl | Mulato II |
0 1.13 2.48 3.84 5.19 6.40 9.60 |
0 1.75 3.85 6.0 8.1 10.1 15.2 |
7.4 6.4 6.5 6.3 6.2 6.1 6.3 |
0 -0.06 -0.08 -0.13 -0.18 -0.23 -0.54 |
0 0 0 0 0 0 0 |
0 0 0 0 0 0 0 |
33.33 38.33 25 21.66 18.33 8.33 5 |
46.66 46.66 35 36.66 36.66 25.33 18.33 |
81.66 a 75 a 71.66 b 63.33 b 48.66 b 40 b 21.66 c |
| MgCl2 | Cayman |
0 1.13 2.48 3.84 5.19 6.40 9.60 |
0 1.74 3.88 6.2 8.3 10.2 15.2 |
7.4 6.8 6.7 6.9 7.3 7.2 7.0 |
0 -0.12 -0.15 -0.20 -0.23 -0.25 -0.31 |
0 0 0 0 0 0 0 |
11.66 16.66 10 10 6.66 5 3.33 |
28.33 36.66 30 28.33 23.33 13.33 13.33 |
48.33 55 46.66 45 b 36.66 20 36.66 |
66.66 a 75 a 70 a 66.66 b 56.66 b 35 c* 51.66 b |
| MgCl2 | Cobra |
0 1.13 2.48 3.84 5.19 6.40 9.60 |
0 1.74 3.88 6.2 8.3 0.2 15.2 |
7.4 6.8 6.7 6.9 7.3 7.2 7.0 |
0 -0.12 -0.15 -0.20 -0.23 -0.25 -0.31 |
0 0 0 0 0 0 0 |
43.33 20 20 21.66 11.66 20 18.33 |
58.33 36.66 31.66 40 31.66 28.33 30 |
100 65 60 61.66 50 58.33 60 |
100 a 88.33 a 73.33 a 81.66 a 76.66 a 75 a 78.33 a |
| MgCl2 | Camello |
0 1.13 2.48 3.84 5.19 6.40 9.60 |
0 1.74 3.88 6.2 8.3 10.2 15.2 |
7.4 6.8 6.7 6.9 7.3 7.2 7.0 |
-0.12 -0.15 -0.20 -0.23 -0.25 -0.31 0 |
0 0 0 0 0 0 0 |
0 3.33 0 0 0 0 0 0 |
25 6.66 5 3.33 5 1.66 3.33 |
30 10 10 6.66 13.33 8.33 10 |
81.66 a 50 b 46.33 b 45 b 35 b 30 b 15 c* |
| MgCl2 | Mulato II |
0 1.13 2.48 3.84 5.19 6.40 9.60 |
0 1.74 3.88 6.2 8.3 10.2 15.2 |
7.4 6.8 6.7 6.9 7.3 7.2 7.0 |
0 -0.12 -0.15 -0.20 -0.23 -0.25 -0.31 |
0 0 0 0 0 0 0 |
0 1.66 0 1.66 0 0 0 |
30 23.33 23.33 20 16.66 6.66 8.33 |
35 35 31.66 40 21.66 13.33 10 |
60 a 63.33 a 63.33 a 60 a 50 b 31.66 b 15 c* |
| NaHCO3 | Cayman |
0 1.13 2.48 3.84 5.19 6.40 9.60 |
0 1.74 3.88 6.2 8.3 10.2 15.2 |
7.4 6.8 6.7 6.9 7.3 7.2 7.0 |
0 -0.14 -0.19 -0.21 -0.25 -0.30 -0.38 |
0 0 0 0 0 0 0 |
13.13 11.66 10 6.66 3.33 0 0 |
26.66 25 26.66 26.66 8.33 8.33 0 |
46.66 45 43.33 35 26.66 15 5 |
61.66 a 58.33 a 63.33 a 63.33 a 33.33 b 21.66 b 6.66 c* |
| NaHCO3 | Cobra |
0 1.13 2.48 3.84 5.19 6.40 9.60 |
0 1.74 3.88 6.2 8.3 10.2 15.2 |
7.4 6.8 6.7 6.9 7.3 7.2 7.0 |
0 -0.14 -0.19 -0.21 -0.25 -0.30 -0.38 |
0 0 0 0 0 0 0 |
40 13.33 8.33 6.66 5 6.66 6.66 |
55 25 18.33 18.33 10 13.33 6.66 |
100 71.66 30 35 20 28.33 13.33 |
100 a 91.6 a 65 b 65 b 41b 56.66 b 41.66 b |
| NaHCO3 | Camello |
0 1.13 2.48 3.84 5.19 6.40 9.60 |
0 1.74 3.88 6.2 8.3 10.2 15.2 |
7.4 6.8 6.7 6.9 7.3 7.2 7.0 |
0 -0.14 -0.19 -0.21 -0.25 -0.30 -0.38 |
0 0 0 0 0 0 0 |
0 1.66 1.66 0 0 0 1.66 |
25 1.66 11.66 5 5 0 6.66 |
30 21.66 21.66 13.33 10 6.66 8.33 |
83.33a 68.33 b 66.66 b 63.33 b 56.66 b 25 c 18.33 c* |
| NaHCO3 | Mulato II |
0 1.13 2.48 3.84 5.19 6.40 9.60 |
0 1.74 3.88 6.2 8.3 10.2 15.2 |
7.4 6.8 6.7 6.9 7.3 7.2 7.0 |
0 -0.14 -0.19 -0.21 -0.25 -0.30 -0.38 |
0 0 0 0 0 0 0 |
1.66 0 0 0 0 0 0 |
30 20 8.33 0 1.66 0 0 |
30 26.66 18.33 5 10 0 0 |
53.33 a 35 b 26.66 b 15 c 10 c 0 c* 0 c* |
El retraso en la DDE fue mayor en las semillas de pasto Mulato II sometidas a > 2.48 g L-1 de NaHCO3. Los híbridos Cobra, Cayman y Camello en ese orden presentaron porcentajes de DDE > 60% hasta 3.84 g L-1de concentración, después de lo cual disminuyeron. La respuesta que inducen sales puras como NaCl, MgCl2 y NaHCO3 fue descrita por Strogonov (1964) quien atribuye al estrés osmótico e hídrico de las sales cloruradas sódica y magnésica; el déficit hídrico en el tejido seminal inhibe la producción de nitrato reductasa y poliaminas, así como una alteración hormonal con menor producción de giberelinas y de ácido abscísico, esenciales para la emergencia. El efecto es de menor intensidad comparado con el producido por NaHCO3 que por su toxicidad e hidrólisis alcalina, disminuye la permeabilidad de la membrana plasmática, altera procesos metabólicos y en altas concentraciones impide la imbibición de la semilla y la germinación. Investigaciones de Flowers y Colmer (2008), indican que las semillas de muchas hortalizas y algunos pastos disminuyeron hasta 50% su germinación a 3.84 g L-1 de NaCl. En los pastos Cobra y Cayman, Sánchez-Bernal et al. (2020) registraron tal disminución a 6 dS m-1 de CE de Cloruro de sodio.
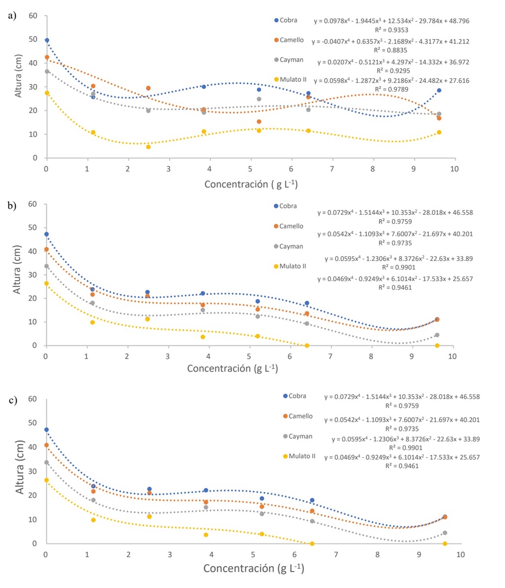
Efecto de las sales en la altura de plantas de pastos
Los cuatro pastos redujeron la altura de plantas al aumentar la salinidad con respecto al testigo. Asimismo, la TIL disminuyó al incrementar la concentración salina de las soluciones a los 90 días DDS, en este sentido: el pasto Cobra presentó la TIL más alta con 0.52 m para plantas testigo, dicho valor disminuyó en NaCI, MgCI2, y NaHCO3 a 0.31 m, 0.17 m y 0.12 m, respectivamente hasta una concentración de 9.60 g L-1. Los pastos Cayman y Camello presentaron comportamiento intermedio con el testigo con respecto a Cobra. Por su parte el pasto Mulato II registró la TIL más baja con 0.28 m para las plantas testigo, que se redujo en NaCI, MgCI2, y NaHCO3 a 0.12 m, 0.05 m y 0 m respectivamente a una concentración de 9.60 g L-1. El orden reductivo de la TIL fue Cobra < Camello < Cayman < Mulato II. La concentración salina que más disminuyó la TIL de los pastos fue 9.60 g L-1, ya que NaCl redujo la altura en un 43.46% en pasto Cobra, 53.9% en pasto Camello, 48.9 % en pasto Cayman y 63.22% en pasto Mulato II con respecto a sus testigos, respectivamente. Por su parte MgCl2 disminuyó la altura de plantas de pastos respecto al testigo para la concentración mencionada en 64.1% (Cobra), 67.4% (Camello), 62.52% (Cayman) y 80.8% (Mulato II). El NaHCO3 produjo la disminución más pronunciada en dicho nivel salino: 76.3% (Cobra), 67.4% (Camello), 79.5% (Cayman) y 100% (Mulato II). En la Figura 1, se observa la tendencia de los cuatro pastos a disminuir la altura con incrementos de nivel de las tres sales puras. La disminución en altura conforme incrementa la salinidad, es una respuesta del organismo vegetal para tolerar el estrés celular, fundamentalmente al efecto osmótico tóxico-iónico y al desbalance nutricional ya que se reduce la producción de protoplasma, de división celular y de elongación que limitan el crecimiento de órganos vegetales (Lamz-Piedra y González-Crespo, 2013; Sánchez-Bernal et al., 2020). Otra respuesta del vegetal se presenta en alteraciones en la producción de fitohormonas, se dejan de producir auxinas y giberelinas, las primeras responsables de la división y la elongación celular y las segundas de la diferenciación. En estas condiciones el crecimiento del tallo y su expansión longitudinal se detienen (Rodríguez-Pérez, 2006).
Investigadores como Levy y Velleux (2007) y Sánchez-Bernal et al. (2013) reportaron que a umbrales salinos no tolerados por plantas cultivadas con sales como: NaCl y MgCl2 producen enanismo por aberración genética. Este fenómeno se constató en plantas de pasto Mulato II a concentraciones de NaCl y MgCl2 de 9.60 g L-1, mientras que con NaHCO3 la inhibición de altura se verifico a 5.60 g L-1, esto denota un efecto diferencial entre híbridos, tipos de sal y concentraciones. En este sentido Argentel, González y Plana (2006), observaron en Triticum aestivum L. variedad Cuba c-204 una disminución de altura de 33 a 35% al incrementar la CE de 25 a 28 dS m-1 respecto al testigo. Por su parte, Salomón y Samudio (2015) reportan una disminución de altura de pasto Panicum máximum Jacq. variedades Tanzania y Mombasa al aumentar la CE de 0 a 22 dS m-1. La reducción de altura de los pastos experimentales fue superior a los ejemplos citados.
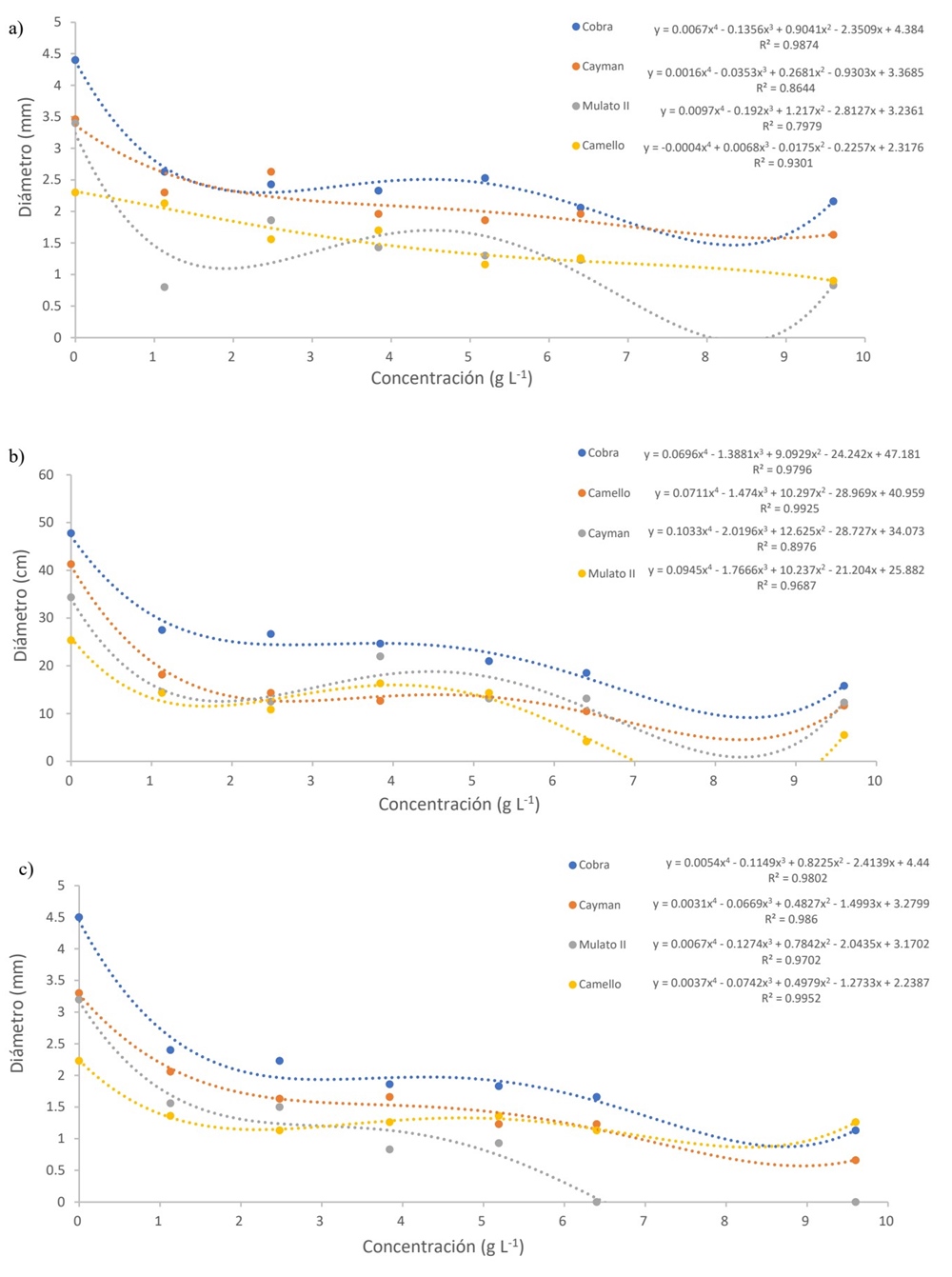
Efecto de las sales en el diámetro de tallo de los pastos
El diámetro del tallo se vio disminuido por el incremento de concentración salina (Figura 2), las sales redujeron este crecimiento en el orden de: NaCI < MgCI2 < NaHCO3; el NaCl fue la sal que afectó menos el diámetro del tallo.
En lo que respecta a la concentración de sal de NaCl en las variedades de pastos híbridos del género Brachiaria fue la siguiente: Las plantas del pasto Cobra mostraron una reducción de 2.30 mm, en el intervalo de concentración salina de 2.40-9.60 g L-1, a diferencia de las plantas testigo que presentaron un diámetro del tallo de 4.4 mm, por lo tanto, la disminución del diámetro del tallo fue en un 47.7% respecto al testigo. En lo referente al pasto Cayman, las plantas testigo alcanzaron un diámetro del tallo de 3.46 mm y mostraron una reducción del diámetro a 2.46 mm en el intervalo de concentración salina de 1.13-2.48 g L-1, disminuyó a 1.85 mm lo que representó una contracción de 46.5%. Por su parte las plantas del pasto Mulato II, registraron en el testigo un diámetro de 3.4 mm en el intervalo de concentración salina de 1.13-9.60 g L-1, con respecto al resto de las concentraciones tuvieron una reducción en promedio de 1.24 mm (reducción del 63.5%). En el pasto Camello, las plantas registraron los menores diámetros al incrementar la concentración salina, sin embargo, al disminuir la concentración de 0-1.13 g L-1 se indujeron los diámetros mayores de 2.30 y 2.13 mm respectivamente. El decrecimiento fue notorio en el intervalo de concentración salina de 2.48-6.40 g L-1, ya que el diámetro se redujo a 1.42 mm (reducción de 38.2%). La mayor disminución se observó a concentraciones de 9.60 g L-1 con 0.90 mm de diámetro (reducción de 60.87%).
La sal MgCI2, redujo el diámetro del tallo al incrementar el nivel salino en todos los casos de pastos híbridos del género Brachiaria. El pasto Cobra en concentración salina de 3.84 a 9.60 g L-1 tuvo un diámetro de 1.61 mm, que implicó una reducción de 62.2% respecto al testigo con diámetros de 4.26 mm. Las plantas de pasto Cayman, presentaron un diámetro en el testigo de 3.36 mm, sin embargo, se tuvo una disminución de diámetro del tallo a 1.25 mm en el intervalo salino de 1.13-9.60 g L-1 (disminución de 51.2%). En el caso del pasto Camello la disminución del diámetro del tallo fue mayor en concentraciones salinas de 5.19 - 9.60 g L-1, presentando diámetros de 1.25 mm, siendo que para el testigo fue de 2.33 mm, lo que mostró una reducción de 53.64%.
El efecto de la sal NaHCO3 en el testigo del diámetro del tallo del pasto Cobra fue superior con 4.50 mm, este decreció a 1.62 mm en el intervalo de concentración salina de 3.84-9.60 g L-1 (reducción de 64%). En el pasto Cayman, las plantas testigo presentaron un diámetro de 3.30 mm, sin embargo, en el intervalo de salinidad de 2.48 - 9.60 g L-1, redujeron en 61.2% con diámetro promedio de 1.28 mm. Por su parte el pasto Camello presentó una disminución en el diámetro a 1.27 mm en el intervalo de concentración salina de 1.13-5.19 g L-1 (reducción de 43.05%) a diferencia del testigo que tuvieron diámetros de 2.23 mm. En la Figura 2, se observa que el pasto Mulato II registró 3.20 mm de diámetro en sus plantas testigo, pero este disminuyó en el intervalo de concentración salina de 3.84-5.19 g L-1 a 0.88 mm (decremento de 72.5%). El efecto más restrictivo se observó en el intervalo de concentración salina de 6.40-9.60 g L-1 ya que las plantas no registraron incremento en diámetro del tallo.
En opinión de Poljakoff y Lerner (1999), los efectos salinos osmótico y tóxico atrofian el crecimiento de los órganos vegetales. Ante el estrés salino las plantas responden con una serie de mecanismos de supervivencia. Uno de ellos es la translocación de fotoasimilados hacia órganos de reserva como hojas viejas y raíces, en estas condiciones no se producen renuevos foliares y las yemas axilares no brotan, en consecuencia, no hay formación de hijuelos o macollos (Saroff, Pagliaricci y Ferreira, 2003).
Efecto de las sales en el número de hojas de pastos
Las sales disminuyeron el número de hojas por planta al aumentar la concentración salina, tal disminución fue diferente de acuerdo con el tipo de sal. Las plantas del pasto Cobra disminuyeron la producción del número de hojas al pasar de 17.11 hojas en el intervalo de concentración salina de 2.48-5.19 g L-1 a 10.49 hojas por planta en el intervalo salino de 6.40-9.60 g L-1, lo que representa una reducción de 77.4% con respecto al testigo. El pasto Cayman decreció el número de hojas en el intervalo salino de 6.40-9.60 g L-1, disminuyendo a 7.83 hojas, lo que representa una reducción de 83.1%. Por su parte el número de hojas del pasto Camello en concentración salina de 6.40-9.60 g L-1 se formaron 10.33 hojas en promedio (reducción de 83%) con respecto a la concentración de 0-1.33 g L-1, donde no hubo reducción de hojas Por otro lado, el pasto Mulato II disminuyó el número de hojas a partir de concentraciones de 1.13-9.60 g L-1 a 7.16 hojas, que redujo 84.6% respecto del testigo. El efecto de la sal MgCI2 en el número de hojas de los cuatro pastos híbridos fue el siguiente: El pasto Cobra en sus plantas testigo registró en promedio 19 hojas por planta y redujo a 8.83 hojas en el intervalo salino de 3.84-9.60 g L-1 lo que representa una disminución de 81%. Las plantas testigo del pasto Cayman tuvieron 16 hojas, con respecto al resto de concentraciones salinas, dicho valor redujo hasta 8.66 hojas en el intervalo salino de 5.19-9.60 g L-1, lo que disminuyó 81.3% respecto del testigo. El pasto Camello en las plantas testigo registraron 13.33 hojas al resto de concentraciones salinas; la reducción llegó a 8.66 hojas en el intervalo salino de 6.40-9.60 L-1, que redujo el número de hojas respecto del testigo a 81.3%. El pasto Mulato II formó en promedio 8.94 hojas (reducción de 80.74%) en concentraciones salina de 5.19-9.60 g L-1. La sal NaHCO3 presentó la mayor afectación en la producción del número de hojas. Así, el pasto Cobra en el intervalo salino de 0-1.13 g L-1, registró el mayor número de hojas entre 20.33 y 18 respectivamente, al producido por el resto de los niveles salinos; dicho valor se redujo a 8.99 hojas a concentración salina de 9.60 g L-1 que implica una reducción de 80.6% respecto al testigo. En pasto Cayman, el intervalo de concentración salina de 0-1.13 g L-1 produjo entre 15 y 14.33 hojas respectivamente; este valor disminuyó a 6.22 hojas de salinidad de 5.19-9.60 g L-1, lo que implica una disminución de 86.6%. El pasto Camello presentó entre 15.66 y 14 hojas en concentración salina de 0-1.13 g L-1; por su parte la concentración salina de 2.48-3.84 g L-1, redujo el número de hojas a 8.77 en el intervalo salino de 5.19-9.60 g L-1, lo que produjo una reducción de 81.1%. Las plantas de pasto Mulato II, disminuyeron el número de hojas al incrementar la concentración salina de 2.48-5.19 g L-1 con 7.44 hojas, que representa una disminución de 84%. El efecto más pronunciado se verificó en la salinidad de 6.40-9.60 g L-1 sin la presencia de hojas, reducción del 100%. Al presentarse la reducción en el número de hojas en las plantas sometidas a estrés salino, se debe principalmente a la acumulación de iones Na+ y Cl- al interior de las células meristemáticas que a concentraciones > 50 mM provocan en glicófitas desequilibrio electroquímico de la membrana plasmática, disminución de la permeabilidad selectiva, plasmólisis e inhibición del crecimiento (Gorham, 1996). El efecto puede ser reversible o permanente, lo que depende de la periodicidad del suministro de agua mediante el riego (Mohammed y Sen, 1990), esto influye en la periodicidad del estrés. En casos extremos se necrosan los tejidos vegetales por deshidratación (Sánchez-Bernal et al., 2020). Se cree que la necrosis se produce por la concentración excesiva de sales que exceden la capacidad de compartamentalizar electrolitos en la vacuola (Lamz-Piedra y González-Cepero, 2013). Otros efectos de la salinidad en las hojas son la halosuculencia por NaCl o aumento del espesor del tejido foliar para evitar la transpiración excesiva (Parés, Arizaleta, Sanabria y García, 2008). La disminución en el número de hojas tiene explicación en la reducción de la expansión foliar y en la pérdida de turgencia de las células provocado por las sales, efecto que en el presente experimento evidenció ser menos intenso en los pastos sometidos a las sales cloruradas sódica y magnésica y más restrictivo en el tratamiento con NaHCO3 a niveles salinos > 6.40 g L-1. En ese sentido, Stravidou, Hastings, Webster y Robson (2017) reporta que la salinidad disminuyó 50% el número de hojas de pasto gigante (Miscanthus x gigantus J, M, Greef & Deuter Ex Hook & Renvoize) respecto al testigo a CE > 10.65 dS m-1 datos similares a los obtenidos con las sales experimentales del presente estudio. A mayor incremento Sánchez-Bernal et al. (2020) señalan que el pasto Cayman redujo el número de hojas a CE > de 2.0 dS m-1 de NaCl, mientras que el pasto Cobra redujo con intensidad la expansión foliar a CE > 4.0 dSm-1, una de las razones por las que se consideró a Cayman un pasto sensible y a Cobra un pasto de moderada tolerancia a dicha sal.
Efecto de las sales en el número de macollos
Se presentó la tendencia de los pastos a disminuir el número de macollos por planta al incrementar la concentración salina. Está disminución fue diferencial ya que NaCI produjo el siguiente orden de disminución en los híbridos Cobra < Cayman < Camello < Mulato II. El pasto con mayor número de macollos por planta fue Cobra, cuyo testigo formó ocho macollos y disminuyó a 3.5 en el intervalo de concentración de sales de 5.19-9.6 g L-1, lo que representa una disminución de 56.2%. El pasto Cayman en las plantas testigo presento siete macollos, para el intervalo de concentración de sales de 1.13-9.60 g L-1, tuvo una disminución a cuatro macollos (reducción de 42.86%). En pasto Camello, sus plantas testigo formaron 5.3 macollos que disminuyeron a tres en el intervalo de concentración de sales de 2.48 a 9.60 g L-1, una reducción de 43.4%. Por su parte, las plantas testigo del pasto Mulato II produjeron 3.6 macollos por planta, las subsiguientes concentraciones salinas disminuyeron el número de macollos por planta a 1.7, lo que ocurrió a 6.40 g L-1 (reducción porcentual de 52.7%), sin embargo, la tendencia fue más intensa en la concentración salina de 9.60 g L-1 que redujo a 0.66 macollos por planta, una disminución de 81.6%. En condiciones de MgCI2 el orden de disminución del número de macollos fue Cobra < Cayman < Camello < Mulato II. Bajo el efecto de dicha sal, el pasto Cobra presentó el mayor número de macollos en las plantas testigo de seis disminuyó a tres en promedio en una reducción de 50% a 9.6 g L-1 de concentración salina. El pasto Cayman en sus plantas testigo presento seis macollos, número que disminuyó en promedio a cuatro de 5.19 a concentración salina de 9.60 g L-1, es decir una reducción de 50%. En pasto Camello, las plantas testigo en promedio produjeron 4.3 macollos respecto de las sometidas a condiciones salinas; este valor decreció a 1.3 macollos por planta en el intervalo de concentración salina de 6.40 a 9.60 g L-1, lo que implica una reducción de 69.7%. El pasto que presentó la mayor disminución en la producción de macollos por planta fue Mulato II con 3.66 macollos en el testigo, mientras que a concentraciones salinas de 6.40 a 9.60 g L-1, formaron en promedio 1.49 macollos por planta, esto es una disminución de 59.2% respecto al testigo. La sal NaHCO3 disminuyó la producción de macollos por planta de los pastos como sigue: Cobra < Cayman < Camello < Mulato II, el tratamiento testigo fue el que produjo el mayor número de macollos en todos los casos con promedio de 6.33, 5, 4 y 3, respectivamente. Estos valores se mantuvieron hasta concentraciones salinas de 3.84 g L-1. Los incrementos salinos redujeron el número de macollos por planta, esto se debe al estrés salino que afecta el crecimiento y desarrollo de las plantas cultivadas en sus distintas etapas y órganos vegetales. Con la misma tendencia Sánchez-Bernal et al. (2020) reportaron que NaCl redujo 50% el número de macollos en pasto Cayman a una CE de 10 dS m-1, esta reducción se presentó en pasto Cobra a 12 dS m-1 de CE. En la presente investigación, es evidente que los cuatro híbridos redujeron el número de macollos por planta, con en proporción menor en las sales cloruradas sódica y magnésica, que a 5.19 g L-1 disminuyó 60% la formación de hijuelos, lo que puede atribuirse a su efecto osmótico-tóxico. Después de esta concentración la formación de macollos fue mínima. Al respecto existe evidencia que a niveles salinos que inhiben el crecimiento del tallo, la raíz no deja de crecer, lo que resulta en un aumento de la tasa de acumulación de biomasa raíz/tallo. Esto se debe a que ante la salinidad la planta responde con una redistribución de fotoasimilados de las hojas jóvenes a las hojas viejas y hacia órganos de reserva como la raíz, por lo que renuevos foliares y yemas meristemáticas del tallo dejan de formarse (Kafkafi y Bernstein, 2002). Esto puede explicar la respuesta al amacolla miento de los pastos sometidos a las condiciones experimentales. Investigaciones realizadas por Worku, Sarwar y Nekir (2019) en pasto Rhoades (Chloris gayana Kunth) indicaron reducción del número de macollos por planta de 7.2 a 4.8 al aumentar la CE de 0 a 20 dS m-1. Por su parte, Yapu y Yapu (2014), observaron en tres variedades de cebada forrajera (Ivon, Gloria e Ibta-80) una disminución de 739 a 340 macollos m-2 al incrementar la CE de la solución del suelo de 0.94 a 8.76 dSm-1 de NaCl. En la presente investigación, las sales cloruradas sódica y magnésica presentaron un efecto osmótico-tóxico menos dañino que el producido por NaHCO3, cuya toxicidad en pasto Mulato II impidió la formación de hijuelos en el intervalo de 6.40 a 9.60 g L-1. Esto coincide con las observaciones de Strogonov (1964) de que las sales NaCl y MgCl2 son menos tóxicas en plantas con tendencias halófitas como los pastos que la generada por la hidrólisis alcalina de NaHCO3 y es congruente con la distribución representada por los nomogramas de la Figura 3.
Efecto en el crecimiento de la raíz de pastos
En el uso del NaCl, la longitud de la raíz del híbrido Cobra en concentraciones salinas de 0-1.13 g L-1, registraron en promedio 22.08 cm, el decremento se observó conforme aumentó la concentración, fue más pronunciada en el intervalo salino de 6.40-9.60 g L-1 con 9.6 cm en promedio de longitud (reducción de 56.5%). En pasto Camello, la longitud de la raíz en plantas testigo se registró una elongación de 15.36 cm, respecto del resto de las concentraciones; este valor disminuyó de concentraciones salinas de 6.40-9.60 g L-1 a una longitud de raíz de 7.4 cm. Las plantas de pasto Cayman, presentaron testigos con longitud radical entre los 14.5 cm (100% del crecimiento), disminuyendo a 6.7 cm en el intervalo salino de 6.40-9.60 g L-1, implicando una reducción de 53.8%. En plantas de pasto Mulato II, la longitud de raíz no presentó diferencia en el intervalo de concentraciones salinas de 0 - 9.60 g L-1, sin embargo, un análisis de correlación permitió distinguir la disminución de la elongación conforme incremento el nivel salino. Así en las plantas testigo, el crecimiento promedio de la raíz fue de 9.5 cm que representa el 100%, y disminuyó a 2.4 cm al aumentar la salinidad a 9.60 g L-1. En MgCI2, el pasto Cobra registró una longitud de raíz de 22.08 cm en promedio en las plantas testigo, en concentraciones salinas de 1.13-2.48 g L-1 la elongación de la raíz se redujo 18.08 cm. El efecto más limitante se registró a 9.60 g L-1 de concentración salina con una longitud de raíz de 8.13 cm (disminución del 63.18%), con respecto del testigo. En pasto Camello, la longitud de la raíz de las plantas testigo registraron 15.36 cm (100% de crecimiento) presentando una reducción de 6.93 cm al pasar a concentraciones salinas de 1.13 a 9.6 g L-1 (disminución de 54.89%), el decremento más pronunciado se verificó en la concentración de 9.60 g L-1. En pasto Cayman las plantas testigo obtuvieron en promedio una longitud de raíz de 14.50 cm con la concentración de 1.13 g L-1. Esta longitud de raíz disminuyó en concentraciones salinas de 9.60 g L-1 a 5.7 cm (reducción de 60.9%) respecto a las plantas testigo. En pasto Mulato II, la longitud de la raíz en las plantas testigo fue de 9.56 cm que estadísticamente no representó diferencia con la concentración salina de 1.13 g L-1, al incrementar la salinidad se redujo la elongación a 5.41 cm, el decremento fue de 43.06% respecto de las plantas testigo, En NaHCO3, Cobra presentó una longitud de raíz de 22.08 cm, esta disminuyó en promedio a 10.05 cm en el intervalo de concentración salina de 6.40 - 9.60 g L-1 (con disminución de 40.49%). El pasto Camello, registró una longitud de raíz de 15.36 cm en el testigo y 13.46 cm en concentraciones salinas de 1.13-2.48 g L-1 (reducción de 12.37%); el decremento fue mayor en el intervalo de concentración de 6.40-9.60 g L-1 con un promedio de longitud de 8.41 cm (reducción del 45.25%). En las plantas testigo de pasto Cayman la longitud de la raí fue de 14.50 cm (100% de crecimiento), sin significancia estadística en la concentración de 1.13 g L-1; la longitud de la raíz se redujo a 4.8 cm a concentraciones salinas de 2.48 a 9.60 g L-1 (disminución de 66.9%), respecto al testigo.
Por su parte, el pasto Mulato II presentó los resultados más bajos de longitud de raíz; en las plantas testigo se registró un promedio de 9.56 cm, respecto a los demás niveles salinos. La mayor disminución ocurrió a 9.60 g L-1 de concentración donde la planta no tuvo crecimiento en longitud de raíz. Esta disminuyo al incrementar la concentración salina, esta fue diferencial de acuerdo con el tipo de sal y pasto. La mayor tolerancia a sales NaCl y MgCl2 la presentó el pasto Cobra hasta 5.19 g L-1, seguido de los pastos Cayman y Camello, en concentraciones superiores el decremento en longitud de raíz fue > 60%. No ocurrió lo mismo con NaHCO3 ya que a concentraciones de 1.13 g L-1 de sal, los cuatro pastos presentaron menor longitud de raíz, sin embargo, los niveles salinos cercanos a 9.6 g L-1 no presentaron un crecimiento en la longitud. Este comportamiento indica diferencia de tolerancia a sales, que es explicada satisfactoriamente por Strogonov (1964) al señalar que los cultivos agrícolas tienen respuesta diferencial a las sales, lo cual se manifiesta entre especies y variedades, entre etapas de desarrollo y aún más entre órganos de una misma planta. Existe evidencia de que a niveles salinos que inhiben el crecimiento del tallo, el crecimiento de la raíz no es afectado, lo que resulta en un aumento de la tasa de acumulación de biomasa raíz/tallo, esto indica que las raíces son menos sensibles al estrés osmótico que el tallo (Kafkafi y Bernstein, 2002). La mayor tolerancia de la raíz a la salinidad que el tallo es indicio de que se trata de un órgano de acumulación de substancias de reserva y de síntesis de hormonas, las cuales ante el estrés salino se mueven a una tasa de flujo mayor hacia las zonas de crecimiento, de esta forma la raíz puede cumplir sus funciones de producción de protoplasma, división celular y elongación, sin embargo, restringe la zona meristemática y de expansión de otros órganos vegetales. Investigaciones más detalladas de Bernstein (1964) indican que por efectos salinos las células dejan de sintetizar la enzima nitrato reductasa fundamental para la producción de protoplasma, lo que sugiere que la salinidad tiene efectos a nivel cromosómico por aberración genética. Otra explicación de la reducción de la raíz es la de Yamashita y Matsumoto (1996), quienes detectaron en raíces de maíz sometidas a 100 mM de NaCl, una disminución de la tasa de división celular de los meristemos apicales, así como en su elongación. Para Sánchez-Bernal, Ortega, González, Camacho y Kohashi (2008) el tipo de salinidad influye en las zonas afectadas, por ejemplo, en condiciones de salinidad clorhídrica se inhibe con intensidad la zona de división celular de plantas de papa, en contraste en condiciones de salinidad sulfática se afectó más la elongación celular. Actualmente se sabe que las respuestas de crecimiento y elongación de los órganos de las plantas varía de acuerdo con la especie como se constató con experimentos hechos en Atriplex talarica ya que el incremento salino inhibió la división y aumentó la elongación celular, mientras que en pasto Sudán la salinidad con NaCl inhibió la división celular y la elongación. Estudios realizados por Sánchez-Bernal et al. (2020) con pastos Cobra y Cayman en condiciones de NaCl, indican que a medida que aumentó la concentración salina disminuyó la magnitud de la raíz, lo que atribuyeron al efecto osmótico producido por la sal. Las observaciones de la presente investigación permiten señalar que NaCl y MgCl2 aminoraron el incremento en longitud radical de los cuatro híbridos de pasto a concentraciones > 5.19 g L-1. El efecto más intenso lo produjo la sal NaHCO3 que en pasto Mulato II a concentraciones > 3.4 g L-1, inhibió la formación de raíz. Un efecto similar fue reportado por Sánchez-Bernal et al. (2008) en tubérculos de papa cv. Alpha sometidos a 6.0 dS m-1 de dicha sal.
Efecto de las sales NaCl, MgCl2 y NaHCO3 en el peso seco total (PST) de los pastos
La tasa de acumulación de biomasa raíz/tallo en condiciones de NaCl para los pastos Cobra, Cayman, Camello y Mulato II, fue de 0.32, 0.013, 0.06 y 0.27 respectivamente. En MgCl2 esta fue de 0.17, 0.014, 0.125 y 0 para Cobra, Cayman, Camello y Mulato. En NaHCO3 la tasa de acumulación fue de 0.27, 0.12, 0.06 y 0, para Cobra, Cayman, Camello y Mulato II, en ese orden. Un análisis detallado indica que en NaCl las plantas acumularon más peso seco en el tallo que en la raíz incluso hasta 9.60 g L-1 de concentración salina, en MgCl2 hasta 6.40 g L-1, circunstancia que se atribuye a la tolerancia a sales de cada híbrido (Rhoades, 1992) y a que las hojas formadas en condiciones salinas clorurada sódica y magnésica, se convirtieron en órganos de reserva de fotosintatos, lo que explica la mayor acumulación de biomasa en la parte aérea con reducción en la translocación de fotoasimilados hacia la raíz al incrementar la concentración salina (Maas y Hoffman, 1977). El mayor efecto inhibitorio se verificó en NaHCO3 de 5.19 a 9.60 g L-1 de concentración, ya que en ese nivel el pasto Mulato dejó de formar órganos de crecimiento, lo que se atribuye a su intensa toxicidad y a las reacciones de hidrólisis alcalina que inducen la degradación de tejidos vegetales (Strogonov, 1964). Las concentraciones de 0 a 2.40 g L-1 no afectaron la acumulación de biomasa total de los pastos. A este nivel, las plantas pueden realizar un rápido crecimiento poco sostenido ya que las sales actúan como nutrimentos, hasta un umbral después del cual la concentración electrolítica no puede ser tolerada y la curva de crecimiento decae (Flowers, 2004). Este punto de inflexión para las tres sales y en los cuatro pastos se registró a 3.84 g L-1, lo que indica que los pastos Cobra, Cayman y Camello son moderadamente sensibles a NaCl y MgCl2, ya que redujeron 79, 70 y 77%, respectivamente, el PST en comparación al testigo, mientras que el pasto Mulato II es muy sensible a NaHCO3 pues ese mismo nivel disminuyó 85% la acumulación de biomasa de órganos aéreos y subterráneos. En las condiciones experimentales, la reducción del peso seco total (PST) de los cuatro pastos se ajusta a los modelos de ecuación polinómica señalados en la Figura 4.
Modelos de predicción del peso seco total (PST) de pastos
Los modelos de calibración del peso seco total de pastos en función del potencial osmótico (Ψπ) en MPa de cada solución salina plasmados en el Cuadro 2, predicen que al disminuir el Ψπ, decrecerá el PST de los pastos como a continuación se indica. En NaCl Cobra < Camello < Mulato II < Cayman; en MgCl2 Mulato II < Camello < Cobra < Cayman y en NaHCO3 Cobra < Cayman < Camello < Mulato II. En general todas las sales disminuyeron el peso seco total de los pastos al disminuir el potencial osmótico de la solución salina en el siguiente orden: En NaCl, la mayor disminución de Ψπ en la solución fue de -0.54 MPa que en pasto Cobra redujo la biomasa total 79.5%, en pasto Cayman la aminoró 69.6%; en pasto Camello 77.65% y en pasto Mulato II 85.5%. En MgCl2 la mayor disminución de Ψπ fue de -0.31 MPa que en pasto Cobra redujo el PST 77.2%. en pasto Cayman 60.2%; en pasto Camello 81.7% y en pasto Mulato II se redujo 77.6%. En NaHCO3 la disminución más intensa de Ψπ fue de -0.38 MPa, que en pasto Cobra redujo el PST 73%, en pasto Cayman 60%, en pasto Camello 81.1% y en pasto Mulato II 100%. Los cuatro pastos acumularon la mayor cantidad de biomasa total en las sales NaCl y MgCl2, lo que indica que el crecimiento fue menos afectado por las sales clorurada sódica y magnésica cuyo efecto es de tipo osmótico-tóxico, en tanto que el de la sal NaHCO3 es eminentemente tóxico, ya que la acumulación de biomasa total disminuyó por la toxicidad de sus altas concentraciones, más que por el efecto osmótico. Sánchez-Bernal et al. (2020) atribuye la disminución de peso seco de pastos Cobra y Cayman al efecto osmótico de las sales que inducen déficit hídrico en los tejidos, causticidad o quema y necrosis de tejidos vegetales que en conjunto abaten la tasa fotosintética y el crecimiento.
Cuadro 2: Modelos para la determinación del peso seco total en pastos Cobra, Cayman, Camello y Mulato II, en función del potencial osmótico de las diferentes sales puras.
Table 2: Models for the determination of the total dry weight in Cobra, Cayman, Camello and Mulato II grasses, depending on the osmotic potential of the different pure salts.
| Sal | Pasto | Ecuación | R | R2 | MSE |
| NaCl | Cobra | PST = 3.69 + 6.20 (x) | 0.86 | 0.93 | 0.24 |
| NaCl | Cayman | PST = 2.09 + 3.09 (x) | 0.86 | 0.92 | 0.06 |
| NaCl | Camello | PST = 1.66 + 2.51 (x) | 0.95 | 0.97 | 0.01 |
| NaCl | Mulato II | PST = 0.61 + 1.07 (x) | 0.84 | 0.91 | 0.08 |
| MgCl2 | Cobra | PST = 3.21 + 5.35 (x) | 0.77 | 0.87 | 0.34 |
| MgCl2 | Cayman | PST = 1.49 + 1.69 (x) | 0.84 | 0.92 | 0.02 |
| MgCl2 | Camello | PST = 1.43 + 2.31 (x) | 0.88 | 0.93 | 0.03 |
| MgCl2 | Mulato II | PST = 0.64 + 1.18 (x) | 0.79 | 0.89 | 0.01 |
| NaHCO3 | Cobra | PST = 3.44 +6.00 (x) | 0.75 | 0.86 | 0.48 |
| NaHCO3 | Cayman | PST = 1.49 +1.87 (x) | 0.95 | 0.97 | 0.79 |
| NaHCO3 | Camello | PST = 1.80 + 3.05 (x) | 0.87 | 0.93 | 0.05 |
| NaHCO3 | Mulato | PST = 0.645 + 1.45 (x) | 0.87 | 0.93 | 0.05 |
Donde x = Potencial osmótico (MPa).
Where x = Osmotic potential (MPa).
Rendimiento biológico de los pastos cobra, cayman, camello y mulato II en condiciones de estrés salino inducido por las sales puras experimentales
Es evidente que los cuatro pastos disminuyeron el peso seco total con incrementos de concentración salina, circunstancia desfavorable a la producción forrajera. En el Cuadro 3 se observa que la biomasa fue más disminuida en niveles > 3.84 g L-1 ya que en los cuatro pastos la reducción de biomasa fue > 40%. Así mismo en condiciones de NaCl y MgCl2 los cuatro pastos se tipifican como sensibles hasta la referida concentración, a concentraciones superiores son extremadamente sensibles, incluso en NaHCO3 al nivel más extremo, el pasto Mulato II dejó de formar órganos aéreos y subterráneos. En pastos Cobra y Cayman, Sánchez-Bernal et al. (2020) reportaron una reducción de 60% en el primer pasto a 4 dS m-1 de NaCl, mientras que en pasto Cayman esta reducción ocurrió a 2 dS m-1 de CE de la solución de riego, motivo por el cual fueron clasificadas respectivamente como de moderada tolerancia y alta sensibilidad a dicha sal. En atención a la clasificación de Maas y Hoffman (1977) de tolerancia de cultivos a las sales, se determinó que el pasto Mulato II puede clasificarse como muy sensible a la sal NaHCO3 y sensible a NaCl y MgCl2; en tanto que los pastos Cobra, Cayman y Camello, se tipifican como especies sensibles hasta la concentración de 5.19 g L-1 y extremadamente sensibles a los niveles superiores Los cuatro pastos son de moderada tolerancia a las tres sales hasta 2.48 g L-1 de concentración.
Cuadro 3: Reducción de biomasa de los pastos Cobra, Cayman, Camello y Mulato II con incrementos de CE.
Table 3: Reduction of biomass of Cobra, Cayman, Camello y Mulato II grasses, to increase EC levels.
| Sal | Pastos | Intervalos de CE | Porcentaje de reducción de biomasa | Nivel de tolerancia | ||||||
| Nivel 1 | Nivel 2 | Nivel 3 | Nivel 1 | Nivel 2 | Nivel 3 | 1 | 2 | 3 | ||
| - - - - - dS m-1 - - - - - | - - - - - - - % - - - - - - - | |||||||||
| NaCl | Cobra | (2 a 4) | (4 a 10) | (10 a 15) | 31.11 | 54.22 | 89.22 | MT | MS | S |
| NaCl | Cayman | (2 a 4) | (4 a 10) | (10 a 15) | 40.0 | 43.25 | 80.15 | MT | MS | S |
| NaCl | Camello | (2 a 4) | (4 a 10) | (10 a 15) | 33.33 | 66.66 | 79.16 | MT | MS | S |
| NaCl | Mulato II | (2 a 4) | (4 a 10) | (10 a 15) | 39.23 | 76.40 | 98.82 | MT | MS | ES |
| MgCl2 | Cobra | (2 a 4) | (4 a 10) | (10 a 15) | 40.27 | 50.88 | 61.50 | MT | MS | S |
| MgCl2 | Cayman | (2 a 4) | (4 a 10) | (10 a 15) | 42.4 | 44.93 | 51.69 | MT | MS | MS |
| MgCl2 | Camello | (2 a 4) | (4 a 10) | (10 a 15) | 38.0 | 43.33 | 47.59 | MT | MS | MS |
| MgCl2 | Mulato II | (2 a 4) | (4 a 10) | (10 a 15) | 51.90 | 57.14 | 69.19 | S | S | S |
| NaHCO3 | Cobra | (2 a 4) | (4 a 10) | (10 a 15) | 50.79 | 56.20 | 73.81 | S | S | ES |
| NaHCO3 | Cayman | (2 a 4) | (4 a 10) | (10 a 15) | 43.14 | 59.97 | 60.0 | S | S | ES |
| NaHCO3 | Camello | (2 a 4) | (4 a 10) | (10 a 15) | 29.08 | 34.75 | 53.74 | MT | MS | S |
| NaHCO3 | Mulato II | (2 a 4) | (4 a 10) | (10 a 15) | 57.97 | 65.12 | 100 | ES | ES | ES |
Donde: ES = extremadamente sensible; S = sensible; MS = moderadamente sensible; T = tolerante; MT = moderadamente tolerante.
Where: ES = extremely sensitive; S = sensitive; MS = moderately sensitive; T = tolerant; MT = moderately tolerant.
Conclusiones
1. Los cuatro pastos fueron afectados por el estrés salino con disminución del crecimiento y producción de biomasa < 60% a 3.84 g L-1 de concentración. A mayores niveles salinos la inhibición del crecimiento es mayor.
2. Los pastos Cobra, Cayman y Camello son moderadamente tolerantes a las sales NaCl y MgCl2 hasta 4 dS m-1 de CE en la solución de riego. A mayor salinidad son moderada y altamente sensibles al estrés osmótico-tóxico. El pasto Mulato II se tipifica como sensible y extremadamente sensible a la sal NaHCO3 a medida que incrementa la concentración salina.










nueva página del texto (beta)







