Introducción
Lo que hoy conocemos como lesión renal aguda (LRA), en el siglo pasado tuvo al menos 25 conceptos y 35 definiciones diferentes.1-4 La primera referencia encontrada fue de Galeno (129-216 d.C), quien describió a un paciente oligúrico.5,6 En el siglo XVIII (1796), Morgagni (y luego Abercrombie) introdujo el concepto de ischuria (ischuria urethralis, ischuria vesicalis, ischuria ureterica e ischuria renalis) para describir el cese o retención de orina.7,8 A inicios del siglo XX, la enfermedad aguda de Bright (nefritis aguda) se convirtió en la terminología para referirse a una enfermedad renal aguda.9
Durante este siglo hubo una gran contribución de la medicina militar (trauma) en este campo; un documento histórico que centró la atención y detonó la sucesiva cascada de estudios fue un artículo publicado en 1941 por Bywaters y Beall durante la Segunda Guerra Mundial, aquí se definió como «nefritis de guerra».10 El término insuficiencia renal aguda (IRA) fue introducido por Smith, en el capítulo «Insuficiencia renal aguda relacionada a lesiones traumáticas» en su libro El Riñón: estructura y función en la salud y la enfermedad.11
En el año 2000 se creó la Acute Dialysis Quality Initiative (posteriormente Acute Disease Quality Initiative, ADQI), una organización sin fines de lucro cuya intención fue proporcionar un análisis objetivo y desapasionado de la literatura y una descripción del estado actual de la práctica de diagnóstico y manejo de la LRA, así como otras condiciones en las que la diálisis y las terapias relacionadas se aplican a pacientes críticamente enfermos; mejorar la atención de pacientes con LRA y otros a través de la medicina basada en evidencia; y establecer estándares para el diagnóstico y manejo de la LRA y trastornos relacionados.12 En el año 2000 se realizó la primera conferencia consenso tomando como antecedente que el manejo de la IRA en pacientes críticamente enfermos era en extremo variable y no existían estándares para soporte con terapia de reemplazo renal; el objetivo fue revisar la evidencia disponible, hacer recomendaciones prácticas basadas en la evidencia, y delinear preguntas clave para estudios futuros. Concluyeron que después de casi un cuarto de siglo de uso y a pesar de la creciente aceptación, seguían existiendo deficiencias significativas en nuestro conocimiento sobre la terapia de reemplazo renal continuo y esto llevó a variaciones en la práctica; uno de los puntos más importantes que dejó la conferencia consenso fue que se necesitaba con urgencia una definición/clasificación «funcional» uniforme de la IRA para estudios futuros.13
En 2002 se realizó la segunda conferencia consenso (Vicenza, Italia), el primer tema a resolver fue definir IRA a través de la pregunta ¿Por qué definir la insuficiencia renal aguda? Se organizó una discusión con los antecedentes sobre el incremento de la creatinina y disminución del gasto urinario.14
En el año 2004 se publicó la definición y sistema de clasificación por gravedad propuesto de IRA; la definición y sistema de clasificación incluyó criterios de creatinina sérica y gasto urinario; un paciente puede cumplir con criterio de creatinina, o de gasto urinario, o de ambos; se debe usar el criterio que señale la peor clasificación posible; se propuso el acrónimo RIFLE (Risk of renal dysfunction; Injury to the kidney; Failure of kidney function, Loss of kidney function, and End-stage kidney disease) , los primeros tres niveles se clasificaron como niveles de disfunción renal y los dos últimos como niveles de desenlaces clínicos.15
La Acute Kidney Injury Network (AKIN) en 2007 propuso modificar esta definición/estadificación con base en el reconocimiento de que incluso pequeños cambios en la creatinina sérica se asociaban con incremento en la mortalidad. El diagnóstico de LRA se estableció como una disminución abrupta (menor de 48 horas) de la función renal definida como un aumento absoluto de la creatinina sérica igual o mayor de 0.3 mg/dL (≥ 26.4 μmol/L), un aumento porcentual de la creatinina sérica mayor o igual a 50% (1.5 veces a partir del valor inicial), o una reducción del gasto urinario (oliguria de menos de 0.5 mL/kg por hora durante más de seis horas).16
En 2012 las guías internacionales del grupo Kidney Disease: Improving Global Outcomes (KDIGO) conjuntaron los sistemas de definición/clasificación previos propuestos por la ADQI y AKIN.17 Se han realizado múltiples validaciones con las tres clasificaciones, todas han mostrado validez, confiabilidad y utilidad.18-27
Biomarcadores en lesión renal aguda
La National Institutes Health (NIH) definió biomarcador como las características biológicas, bioquímicas, antropométricas, fisiológicas, etc., objetivamente medibles, capaces de identificar procesos fisiológicos o patológicos, o bien una respuesta farmacológica a una intervención terapéutica.28 Desde el siglo pasado (1975) ya se hablaba de algunos biomarcadores de LRA: the lysosomal a-glucosidase (GLU) enzyme,29 adenosine deaminase binding protein (AdAbp),30,31urinary epidermal growth factor levels.32,33Endothelin-1,34 Adhesion molecules,351,5-anhydroglucitol,36,37insulin-like growth factor-I axis,38 hemostasis activation markers,39hepatocyte growth factor,40neutrophil gelatinase-associated lipocalin;41 en la última década se han estudiado biomarcadores de LRA (Figura 1).42,43
Nueva definición propuesta
Se sugiere que se realice investigación sobre si una combinación de biomarcadores de daño y funcionales junto con información clínica en pacientes de alto riesgo podría ayudar a mejorar la precisión diagnóstica de nueva definición propuesta de LRA.44
La lipocalina asociada a la gelatinasa de neutrófilos (uNGAL), también conocida como lipocalina-2, 24p3, siderocalina o uterocalina, es una pequeña glicoproteína secretada de 25 kDa, se identificó inicialmente en neutrófilos; se expresa en células renales, endoteliales, hepáticas y de músculo liso (CML) así como en cardiomiocitos, neuronas y células inmunitarias (macrófagos, células dendríticas).45
Evidencia reciente demuestra que la uNGAL está estrechamente asociada con la LRA, su expresión en orina y sangre aumenta significativamente y está asociada con la gravedad de la lesión renal y podría detectarse antes que otros marcadores de LRA. Por lo tanto, uNGAL muestra potencial para ser un nuevo marcador bioquímico temprano efectivo de LRA (Figura 1).46,47
Material y métodos
Escenario: el estudio se realizó en la Terapia Intensiva del Hospital Central Sur de Alta Especialidad de Petróleos Mexicanos del 01 de mayo al 10 de julio de 2022.
Tipo de estudio: observacional, analítico, prospectivo, longitudinal.
Definición de la población: todos los pacientes que ingresaron a la terapia intensiva del Hospital Central Sur de Alta Especialidad del 01 de mayo al 18 de julio de 2022 que cumplieron los criterios de elegibilidad.
Exclusión
Pacientes que tengan enfermedad renal crónica definida como la presencia de una alteración estructural o funcional renal (sedimento, imagen, histología) que persiste más de tres meses, con o sin deterioro de la función renal; o un filtrado glomerular (FG) < 60 mL/min/1,73 m2 sin otros signos de enfermedad renal.
Pacientes con desnutrición a su ingreso.
Pacientes con enfermedad hepática aguda o cirrosis.
Eliminación
Paciente que fallezca antes de 24 horas de haber ingresado a la unidad de terapia intensiva (UTI).
Paciente que sea egresado por otra causa diferente a la defunción antes de 24 horas (mejoría, máximo beneficio, traslado, alta voluntaria).
Que no tenga determinación de creatinina a las cero, 24, 48 y 72 horas.
Que no tengan determinación de gasto urinario a las seis, 12 y 24 horas.
Métodos de selección
Forma de asignación de los casos a los grupos de estudio: muestreo no probabilístico, es por conveniencia.
Tamaño de muestra: todos los pacientes que cumplan los criterios de elegibilidad durante el periodo de estudio.
Descripción del procedimiento
Paciente que ingresó a terapia intensiva.
Se llenó la hoja de recolección de datos (física) sin datos personales (nombre y ficha), se le asignó un número consecutivo con el cual se identificó y fue vaciada en una hoja de datos preliminar en Excel, con clave de acceso al archivo que sólo tuvieron los investigadores principales (alumno y tutor).
La base de datos preliminar se pasó al paquete estadístico SPSS versión 25 para su análisis final, la cual continuó sin tener datos personales.
Se realizó el análisis estadístico: estadística descriptiva y estadística inferencial.
Análisis estadístico
Estadística no inferencial (descriptiva). Variables continuas: media y desviación estándar. Variables categóricas: porcentaje absoluto y relativo.
Estadística inferencial. Pruebas de rendimiento diagnóstico: sensibilidad, especificidad, valor predictivo positivo, valor predictivo negativo, cociente de probabilidad positiva, cociente de probabilidad negativa, razón de probabilidad diagnóstica, número necesario para diagnosticar, reclasificación, área bajo la curva de la característica operativa del receptor (todos los anteriores con su intervalo de confianza al 95%), número necesario para diagnosticar.
Recursos y logística
Humanos: Investigador: Sarahí Anilú Jacinto Flores. Actividad asignada: redactó, recolectó datos, análisis estadístico y reporte final.
Materiales: Paquete de hojas blancas, pluma, computadora, software: Excel y SPSS.
Económicos. Los recursos económicos que se requirieron para la realización del estudio fueron cubiertos en su totalidad por el investigador principal (alumno).
Consideraciones éticas: de acuerdo a las normas éticas de la Declaración de Helsinki y al artículo 17 del Reglamento de la Ley General de Salud en Materia de Investigación para la Salud.
Resultados
Durante el periodo de estudio, 52 pacientes fueron ingresados a la UTI; 11 pacientes fueron excluidos debido a que no se les determinó uNGAL a su ingreso. Para el análisis final contamos con 41 pacientes.
Características antropométricas, demográficas y clínicas al ingreso a la UTI
En el grupo de estudio (41 pacientes), la media de la edad fue 62.5 ± 14.22 años; y 33 (80.5%) fueron hombres. La media del peso, talla e índice de masa corporal (IMC) fue de 78.5 ± 18.61, 1.65 ± 0.08 y 28.93 ± 6.72 kg/m2, respectivamente; 14 (34.1%) pacientes presentaron sobrepeso y 16 (39%) tuvieron obesidad; 29 (70.7%) tuvieron sepsis. En 24 (58.5%) pacientes, el foco de infección fue pulmonar, tres (7.3%) abdominal y dos (4.9%) vías urinarias (Tabla 1).
Tabla 1: Variables de estudio de todos los pacientes. N = 41.
| Variable | |
|---|---|
| Edad, [años] | 62.5 ± 14.22 |
| Sexo Mujeres Hombres |
8 (19.5) 33 (80.5) |
| Peso, [kg] | 78.5 ± 18.61 |
| Talla, [m] | 1.65 ± 0.08 |
| IMC, [kg/m2] | 28.93 ± 6.72 |
| Estado nutricional Desnutrición Normal Sobrepeso Obesidad |
0 11 (26.8) 14 (34.1) 16 (39) |
| Sepsis Sí No |
29 (70.7) 12 (29.3) |
| Terapia reemplazo renal Sí No |
4 (9.8) 37 (90.2) |
| Estado vital Vivo Muerto |
24 (58.5) 17 (41.5) |
| KDIGO Positivo Negativo |
9 (22) 32 (78) |
| KDIGO + uNGAL Positivo Negativo |
33 (80.5) 8 (19.5) |
| Sitio de infección Pulmonar Abdominal Urinario |
24 (58.5) 3 (7.3) 2 (4.9) |
| SAPS 3, porcentaje* | 56.26 ± 23.71 |
| MPM III, porcentaje* | 43.94 ± 23.59 |
IMC = índice de masa corporal. KDIGO = Kidney Disease: Improving Global Outcome. uNGAL = lipocalina asociada a gelatinasa de neutrófilos. SAPS = simplified acute physiologic score. MPM = modelo probabilidad de mortalidad.
Histograma de uNGAL
En el total de pacientes (41) se observaron los siguientes niveles de uNGAL a su ingreso (Figura 1).
Nueva definición propuesta de lesión renal aguda (KDIGO más biomarcador)
De los pacientes, 33 (80.5%) se clasificaron como 1S y 1B, los ocho restantes (19.5%) fueron 1A, 2A, 2B, 3A y 3B de acuerdo a la nueva definición propuesta (Figura 2); el uNGAL al ingreso tuvo una media de 451.36 ± 688.11 (Tabla 2).

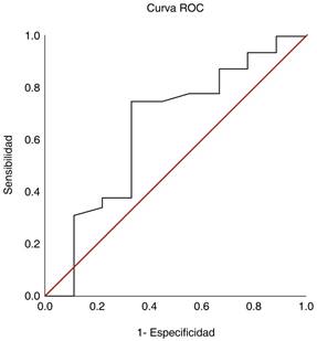
Figura 2: Área bajo la curva de la nueva definición. Con estimación puntual 0.64 con intervalo de confianza de 95% e intervalo de 0.421-0.871.
Tabla 2: Clasificación de los pacientes de acuerdo con la nueva definición propuesta de lesión renal aguda (KDIGO más biomarcador).
| Criterio funcional | Estado | Criterio de daño | n |
|---|---|---|---|
| Sin cambio o aumento del nivel de sCr < 0.3 mg/dL y sin criterios de gasto urinario | 1S | Positivo | 27 |
| Aumento del nivel de sCr en ≥ 0.3 mg/dL durante ≤ 48 horas o ≥ 150% durante ≤ 7 días y/o UO < 0.5 mL/kg/h durante > 6 horas | 1A | Negativo | 8 |
| 1B | Positivo | 6 | |
| Aumento del nivel de sCr en >200 % y/o UO < 0.5 mL/kg/h durante > 12 horas | 2A | Negativo | 0 |
| 2B | Positivo | 0 | |
| Aumento del nivel de sCr en >300 % (≥ 4.0 mg/dL con un aumento agudo de ≥ 0.5 mg/dL) y/o UO < 0.3 mL/kg/h durante > 24 horas o anuria durante > 12 horas y/o agudo TRR | 3A | Negativo | 0 |
| 3B | Positivo | 0 |
KDIGO = Kidney Disease: Improving Global Outcome. UO = urine output. TRR = tratamiento de remplazo renal.
Estimación del rendimiento diagnóstico de la nueva definición propuesta de lesión renal aguda
KDIGO más uNGAL y KDIGO. La sensibilidad de KDIGO más NGAL fue 67%, especificidad 16%, valor predictivo positivo 18%, valor predictivo negativo 63%, cociente de probabilidad para un test positivo 0.8, cociente de probabilidad para un test negativo 2.06.
KDIGO más uNGAL y terapia de reemplazo renal. La sensibilidad de KDIGO más NGAL fue 75%, especificidad 19%, valor predictivo positivo 9%, valor predictivo negativo 88%, cociente de probabilidad para un test positivo 0.93, cociente de probabilidad para un test negativo 1.32.
KDIGO más uNGAL y mortalidad. La sensibilidad de KDIGO más uNGAL fue 88%, especificidad 25%, valor predictivo positivo 45%, valor predictivo negativo 75%, cociente de probabilidad para un test positivo 1.17, cociente de probabilidad para un test negativo 0.48.
Área bajo la curva de la nueva definición. Con estimación puntual 0.64 con intervalo de confianza de 95% e intervalo de 0.421-0.871 (Figura 2).
Discusión
En nuestro estudio, el rendimiento diagnóstico de la nueva definición propuesta de lesión renal aguda mostró sensibilidades y especificidades similares a lo encontrado en la literatura, según se reporta en el estudio de Mahadevaiah y colaboradores, una sensibilidad y especificidad de uNGAL medidas a las 24 horas de ingreso a la UCI para predecir la aparición de LRA a las 48 y 72 horas de 0.75 (IC del 95%: 0.48 a 0.93) y 0.82 y un valor predictivo positivo y negativo de 90.2 y 81.6%.47 El valor predictivo positivo fue bajo y el valor predictivo negativo fue elevado, lo que (como otros biomarcadores) significa que tener un valor de uNGAL por debajo del punto de corte descarta el diagnóstico de lesión renal aguda.
Es de resaltar que la incidencia de progresión a estadios de mayor gravedad de lesión renal aguda y la necesidad de terapia de reemplazo renal fueron bajas (22 y 10%), esto debido al manejo preventivo de la lesión renal aguda que actualmente se ofrece a los pacientes.
En nuestro estudio el área bajo la curva (AUC) mostró un rendimiento de prueba regular, se ha reportado NGAL urinario y plasmático predictivo de LRA y su gravedad con un AUC general de 0.79 a 0.87 como se reportó en el estudio de Haase-Fielitz y colaboradores.48
El rendimiento de la mayoría de los biomarcadores es variable y depende de la patología que afecta al paciente, la causa de LRA, el entorno clínico, las comorbilidades asociadas y el momento de las mediciones.49
Conclusiones
El rendimiento diagnóstico de la nueva definición de lesión renal aguda propuesta no fue bueno debido a múltiples factores, dentro de los dos más importantes, el manejo preventivo de la lesión renal aguda que actualmente se ofrece a los pacientes y el tamaño de la muestra.
Se requiere continuar el estudio para lograr la muestra representativa de la población y tener una conclusión certera sobre el rendimiento diagnóstico de la nueva definición propuesta de lesión renal aguda.










nueva página del texto (beta)



