SciELO - Scientific Electronic Library Online

 
vol.102 número3Agrosilviculturas tradicionales que mantienen la diversidad vegetal nativa del Valle de Tehuacán-Cuicatlán: un panorama regionalThe reproductive biology of Marathrum rubrum Novelo & C. T. Philbrick: morphological and anatomical changes during flower development índice de autoresíndice de materiabúsqueda de artículos
Home Pagelista alfabética de revistas  

Servicios Personalizados

Revista

Articulo

Indicadores

Links relacionados

  • No hay artículos similaresSimilares en SciELO

Compartir


Botanical Sciences

versión On-line ISSN 2007-4476versión impresa ISSN 2007-4298

Bot. sci vol.102 no.3 México jul./sep. 2024  Epub 10-Sep-2024

https://doi.org/10.17129/botsci.3442 

Fisiología

Actividad metabólica y velocidad de asimilación instantánea de CO2 en tallos de pitaya (Stenocereus thurberi) propagada vegetativamente

Jesús Antonio Orozco-Avitia, Conceptualization, Methodology, Investigation, Formal analysis, Writing - original draft1 
http://orcid.org/0000-0001-6366-4435

Ángel Javier Ojeda-Contreras, Conceptualization, Methodology, Investigation, Formal analysis, Writing - original draft1 
http://orcid.org/0000-0001-7191-5660

Alfonso A. Gardea, Supervision, Writing – review & editing1 
http://orcid.org/0000-0002-6842-2678

Miguel A. Hernández-Oñate, Conceptualization, Methodology, Investigation, Formal analysis, Writing - original draft2 
http://orcid.org/0000-0001-5857-2608

Tania Carvallo, Writing – review & editing1 
http://orcid.org/0009-0002-1442-2987

Aldo Gutiérrez, Conceptualization, Methodology, Investigation, Formal analysis, Writing - original draft1  * 
http://orcid.org/0000-0001-6499-8736

1Centro de Investigación en Alimentación y Desarrollo A.C., Hermosillo, Sonora, México.

2 CONAHCYT-Centro de Investigación en Alimentación y Desarrollo A.C., Hermosillo, Sonora, México.


Resumen

Antecedentes:

Los periodos de sequía en el Desierto Sonorense aumentan el interés por cultivos con baja huella hídrica. Stenocereus thurberi es una alternativa, incluyendo beneficios económicos para los pobladores.

Hipótesis:

La propagación vegetativa de tallos con areolas diferenciadas de Stenocereus thurberi con fines productivos, mostrará una alta supervivencia tomando en cuenta los patrones estacionales, actividad metabólica y asimilación de CO2, reflejando así la adaptabilidad, resistencia y productividad de la especie.

Especie de estudio:

Stenocereus thurberi.

Sitio de estudio y fechas:

Hermosillo, Sonora, México; 2014.

Métodos:

Se evaluó supervivencia de tallos propagados vegetativamente, producción de calor metabólico (CM) de areolas reproductivas, intercepción de luz diaria integrada (LDI) y asimilación instantánea de CO2.

Resultados:

Los tallos mostraron una supervivencia del 100 %, crecimiento vegetativo anual de 9.3 ± 0.6 cm y producción de 2.0 ± 0.8 frutos por tallo. La mayor cantidad de LDI se registró en mayo (27.2 mol m-2 d-1) y el lado oeste (23.4 mol m-2 d-1). Las areolas reproductivas mostraron mayor producción de CM en mayo con 2 µW mg-1 peso seco (ps) y el mayor gasto energético con 1,759.6 kJ mol-1. La menor tasa respiratoria en areolas fue en junio con 0.003 nmol mg-1s-1 mg-1 ps. Las tasas de mayor asimilación de CO2 se presentaron en marzo, septiembre y octubre con 6.3, 3.8 y 6.5 µmol CO2 m-2s-1, respectivamente.

Conclusiones:

Es posible reproducir vegetativamente pitayas a partir de tallos con areolas reproductivas diferenciadas con fines productivos, promoviendo un cultivo eficiente con bajo consumo de agua y potencial económico.

Palabras clave: cactus columnar; calor metabólico; luz diaria integrada; propagación vegetativa; sobrevivencia

Abstract

Background:

Periods of drought in the Sonoran Desert increase interest in crops with a smaller water footprint. Stenocereus thurberi is an alternative, including economic benefits for the residents.

Hypothesis:

Vegetative propagation of Stenocereus thurberi stems with differentiated floral areoles for productive purposes will demonstrate high survival, considering seasonal patterns, metabolic activity, and CO2 assimilation, reflecting the adaptability, resistance, and productivity of the species.

Study species:

Stenocereus thurberi.

Study site and dates:

Hermosillo, Sonora, Mexico; 2014.

Methods:

Survival of vegetative propagated stems, metabolic heat production (CM) of reproductive areoles, integrated daily light interception (LDI), and instantaneous CO2 assimilation were evaluated.

Results:

The vegetatively transplanted stems showed a survival of 100 %, an annual vegetative growth of 9.3 ± 0.6 cm, and a production of 2.0 ± 0.8 fruits per stem. The highest LDI amount was recorded in May (27.2 mol m-2 d-1) and the west side (23.4 mol m-2 d-1). The reproductive areoles showed the highest CM production in May with 2 µW mg-1 dry weight (ps) and the highest energy expenditure with 1,759.6 kJ mol-1. The lowest respiratory rate of the areolas occurred in June with 0.003 nmol s-1 mg-1 dw. The rates of greatest CO2 assimilation occurred in March, September, and October with 6.3, 3.8, and 6.5 µmol CO2 m-2 s-1, respectively.

Conclusions:

It is possible to reproduce pitayas vegetatively from stems with differentiated reproductive areoles for productive purposes, promoting an efficient cultivation with low water consumption and economic potential.

Keywords: columnar cactus; integrated daily light; metabolic heat; survival; vegetative propagation

La sobre-extracción del agua del subsuelo, así como los largos periodos de sequía, son factores que dificultan y limitan cada vez más la agricultura en regiones áridas y semiáridas de México. Debido a esto, en la última década se ha incrementado el interés por el cultivo de cactáceas que producen frutas comestibles como la pitaya (Stenocereus spp.), pitahaya (Selenicereus undatus (Haw.) D.R.Hunt) y tuna (Opuntia spp.) principalmente en las regiones del centro y sureste de México. Estas plantas emplean el metabolismo ácido de las crasuláceas que les permite sobrevivir en ambientes con muy bajo nivel de disponibilidad de agua en el suelo (Pimienta-Barrios 1999). Además, el cultivo de éstas requiere de un aporte relativamente bajo de energía antropogénica (Pimienta-Barrios & Nobel 1994) y de manera muy particular implican una huella hídrica significativamente menor que los cultivos tradicionales. Sin embargo, la “Pitaya Dulce” (Stenocereus thurberi (Engelm.) Buxb.) en la región de Sonora, México, no ha despertado gran interés como cultivo a pesar de que se desarrolla de forma silvestre y representa un ingreso económico importante para las poblaciones rurales dedicadas a la recolección y venta de esta fruta, principalmente en los meses de junio, julio y en ocasiones hasta el mes de agosto. En promedio cada familia recolecta entre 150 a 200 pitayas diariamente. Además de lo anterior, la pitaya no solo se consume en fresco, sino que con ella se realizan muchos productos artesanales, como nieve, mermeladas, vino, salsas, panes, entre otros. Se ha reportado que el consumo de varias especies de Stenocereus spp. produce efectos benéficos en la salud humana. En este contexto, el consumo de jugo de Stenocereus griseus (Haw.) Buxb., induce vasodilatación (Ramírez-Rodríguez et al. 2020), el consumo de fruta roja de Stenocereus stellatus Riccob., reduce los niveles de azúcar en sangre (Cervantes-Arista et al. 2020, Díaz de León-Sánchez et al. 2020). Más aún, los compuestos bioactivos de varios géneros de la subfamilia Echinocereeae entre los que se pueden citar Selenicereus, Cereus, Pilosocereus, Stenocereus y Myrtillocactus producen efectos positivos reduciendo desórdenes metabólicos, alteraciones del sistema digestivo y varios tipos de inflamación (Agostini-Costa 2020). Varios fitoquímicos presentes en Stenocereus thurberi aumentan la capacidad antioxidante de los extractos obtenidos de esta especie (Castro-Enríquez et al. 2020). En esta especie, se ha reportado que los efectos benéficos en salud humana producidos por su consumo se deben a la presencia de compuestos fenólicos y betalaínas (Rodríguez-Félix et al. 2019, 2023).

La pitaya dulce es un cactus columnar endémico del Desierto Sonorense, distribuido a lo largo de la vertiente del Golfo de California del noroeste de México, desde el norte de Sinaloa y oeste de Chihuahua hasta el suroeste de Arizona en los Estados Unidos de América. Es también común encontrarla a través de la península de Baja California Sur y en algunas islas del Golfo de California (Turner et al. 1995, Bustamante & Búrquez 2008). La especie S. thurberi se caracteriza por presentar tallos verticales con un número variable de costillas espinosas. Éstos pueden emerger del suelo o de un pequeño tronco y alcanzar una altura que puede variar entre los tres y ocho metros. Presenta flores hermafroditas que abren al atardecer durante una sola noche y se cierran al amanecer (Turner et al. 1995, Fleming et al. 2001). El inicio y tiempo de floración en el Desierto Sonorense es muy variado, en la parte central y sur el inicio puede presentarse de mediados a finales de abril; en tanto que las poblaciones ubicadas en el norte, esta se presenta de mediados de mayo a principios de junio (Bustamante & Búrquez 2008). Las variaciones en los patrones de floración y fructificación son atribuidas a factores físicos, principalmente la temperatura y disponibilidad de agua (Wang et al. 2016). Las flores pueden ser fecundadas por un sistema de polinizadores diurnos y nocturnos integrado por murciélagos, abejas, aves e insectos cuya presencia determina la producción de frutos y semillas (Bustamante et al. 2010, Franklin et al. 2016, Salomón-Montijo et al. 2016, Egert-Berg et al. 2018, Goldshtein et al. 2020, Aguilar-Romero et al. 2022). Los frutos son bayas poliespermáticas de forma ovoide y semillas de color negro brillante (Turner et al. 1995) con un promedio de 2000 semillas por fruto (Parker 1987). La pulpa puede tener diferentes coloraciones como roja, morada, amarilla, rosada, anaranjada y blanca (Hinojosa-Gómez & Muy-Rangel 2023) sin especificarse aún si esta variación en tonalidades implica que sean variedades diferentes.

Las cactáceas columnares no solo constituyen especies importantes de las zonas áridas y semiáridas, sino que además son recursos de un considerable potencial económico, cuya comercialización puede contribuir a beneficiar la economía rural (Casas 2002). En el verano de 2020 el precio por fruto se cotizó entre 6 y 8 pesos, dependiendo de su tamaño y calidad. Actualmente hasta 10 pesos por fruto. Sin embargo, una de las desventajas desde el punto de vista comercial es el tiempo que tarda la planta en producir frutos. Parker (1987) reporta que S. thurberi inicia su edad reproductiva más activa cuando sus tallos alcanzan entre 2 y 2.5 metros de altura. Esta misma autora señala que el crecimiento de S. thurberi aumenta geométricamente con la edad alcanzando alturas iniciales desde semilla de 0.1 m a los 8 años, 1 m en 19 años y 10 m en 45 años bajo las condiciones ambientales del Suroeste de Arizona (Parker 1988). Por otro lado, los factores ambientales, la deforestación causada por actividades agrícolas, mineras, así como al crecimiento urbano están diezmando las poblaciones de esta especie. Céspedes-Flores & Moreno-Sánchez (2010), mencionan que la pérdida neta por año de superficie de recurso forestal en el estado de Sonora corresponde a 14,016 hectáreas que se suma a una baja tasa de reforestación. Este escenario podría provocar la desaparición del fruto de no tomar acciones. Por ello, es necesario realizar estudios para evaluar la posibilidad de reproducir vegetativamente a la especie S. thurberi bajo las condiciones ambientales del Desierto Sonorense. Por lo que debido a la poca información disponible nos planteamos el objetivo de evaluar la sobrevivencia, la variación estacional en la cantidad de luz recibida, la actividad metabólica (calor metabólico) y la fijación de CO2 en tallos de Stenocereus thurberi reproducidos vegetativamente creciendo bajo condiciones naturales.

Este primer estudio generará información sobre características fisiológicas y metabólicas para el establecimiento de la pitaya dulce como un cultivo de bajo requerimiento de agua, así como programas enfocados en la recuperación y conservación de esta especie con frutos de diferente color de pulpa.

Materiales y métodos

Característica del área de estudio. Los tallos fueron extraídos y plantados en una parcela con clima del tipo BW(h’) hw (x’) caracterizada por ser una zona muy seca y cálida, con una temperatura media anual mayor de 22 °C y del mes más frío menor a 18 °C, con régimen de lluvia de verano (INEGI 2000). Los datos de temperatura del aire y precipitación pluvial fueron obtenidos de la estación meteorológica de la Comisión Nacional del Agua ubicada en Aeropuerto Internacional Gral. Ignacio Pesqueira García (MMHO) (Meteored 2020).

Propagación del material vegetativo. Se seleccionaron 10 plantas adultas aparentemente sanas con un promedio de 8 o más tallos localizados en el Ejido la Victoria, municipio de Hermosillo, Sonora, México (29° 07’ 50.87” N, 110° 54’ 27.81” O). De cada planta se tomó un tallo con una longitud promedio de 1.80 m con areolas reproductivas visiblemente diferenciadas que se distinguen por su forma redondeada con tricomas glandulares de color marrón a negro (Arreola-Nava & Terrazas 2003). Para el estudio se seleccionaron plantas con frutos de pulpa de color rojo, debido a que este fenotipo se presenta con mayor frecuencia en la población con respecto al fenotipo de frutos de color naranja, violeta o blanca. Dichos tallos fueron cortados, a finales del mes de octubre de 2013 con una temperatura promedio ambiental nocturna de 16 °C y sin probabilidad de lluvia. Para evitar el ataque de fitopatógenos, tanto la planta madre, como el tallo fueron desinfectados de acuerdo con el protocolo descrito por Kelly (2009). Posteriormente, los tallos se colocaron bajo sombra hasta asegurarse que el corte en su base formó callo. Una vez que el área expuesta cicatrizó (15 días), se procedió a hacer el trasplante colocando un tercio del tallo bajo tierra. Con 24 horas de anticipación, se agregaron 20 litros de agua a la cavidad donde fue colocado el tallo. Para proveer una mayor estabilidad al tallo y evitar una posible caída por efecto del viento se adicionaron 40 litros más de agua, distribuidos en dos aplicaciones de 20 L hasta lograr compactar el suelo a su alrededor. Posteriormente se permitió que los tallos crecieran estrictamente bajo las condiciones ambientales naturales. La supervivencia fue determinada con base en la relación entre el número de tallos establecidos y el número de tallos vivos encontrados al momento de la medición. Para el cálculo del porcentaje de supervivencia de los tallos se utilizó la siguiente ecuación sugerida en Cueva & Herrera (2023):

% de supervivencia=tv(tv+tm)×100

donde, tv es el número de plantas vivas y tm el número de plantas muertas. A los cinco meses de realizado el trasplante se buscó la presencia de raíces en cinco de los tallos. La producción de frutos por tallo se determinó contabilizando el número de frutos obtenidos entre el total de tallos trasplantados.

Producción de calor metabólico y velocidad de respiración. Para estimar los cambios de los parámetros respiratorios de los tallos propagados vegetativamente, se seleccionaron areolas reproductivas localizadas en el tercio superior del tallo (aprox. 30 cm) de un total de 9 tallos. Éstas fueron removidas durante el día de la evaluación a partir de las 11:00 am con un peso promedio de 272.5 ± 8.03 mg. Una vez separadas del tallo, se colocaron en una cámara húmeda para ser trasportadas inmediatamente al laboratorio. Posteriormente, las areolas fueron pesadas no sin antes eliminar cuidosamente las espinas y colocadas en las celdas del calorímetro. Las variables de respiración evaluadas fueron: calor metabólico (CM) (Rq, µW mg-1 peso seco) y producción de CO2RCO2, nmol s-1mg-1 ps. A partir de la relación de producción de calor (R q ) dividida entre la tasa de producción de CO2Rq/RCO2 kJmol-1, se calculó la eficiencia metabólica o cantidad de calor perdido por mol de CO2 producido (Hansen et al. 1996). Estos parámetros fueron determinados por microcalorimetría isotérmica de acuerdo con la metodología descrita por Criddle et al. (1990). Para este estudio, se utilizó un microcalorímetro de barrido diferencial multiceldas modelo CSC 4100 (Calorimetry Science Corporation, Pleasent Grove, Utah). Este instrumento está equipado con cuatro celdas metálicas de 1 mL. La cuarta celda se utilizó de referencia y se conservó vacía durante las mediciones por lo que fue posible medir 3 areolas simultáneamente de un total de 9 por fecha de muestreo. Para prevenir condensación de humedad dentro del instrumento, se utilizó un flujo constante de N2 de 2 mL min-1. La temperatura en la cámara del calorímetro se mantuvo constante a 15 ºC por medio un baño circulante-refrigerante (PolyScience, Niles, Illinois). Las areolas se colocaron con la parte basal en contacto con el fondo de las celdas. Una vez colocada la muestra, el equipo se operó en modo isotérmico a una temperatura de 25 °C y se dejó estabilizar el calorímetro por 2,500 segundos para obtener de esta manera una producción de calor metabólico estable, el cual fue obtenido en los últimos segundos de este periodo. Una vez determinado el calor metabólico de la muestra, las celdas fueron abiertas y se agregó un vial con 40 µL de NaOH 0.4M para posteriormente medir de nuevo la producción de calor. El calor obtenido en esta segunda determinación es la suma del calor metabólico más el calor proveniente de la reacción de NaOH con CO2, (Hansen et al. 2004, 2005, Yu et al. 2008). Los datos se ajustaron considerando la línea base del calorímetro y se recalcularon por unidad de peso seco (ps) (Gardea et al. 2000, Trejo-Martínez et al. 2009). Los parámetros respiratorios de las areolas se realizaron un día cada 30 días a partir del 27 de enero hasta el 27 de octubre de 2014.

Luz diaria integrada al aire libre (LDI). Para la estimación de esta variable, se evaluó la densidad de flujo de fotones fotosintéticos (PPFD) que recibieron los tallos en un periodo de 12 horas con base la metodología descrita por Korczynski et al. (2002). Para dicha evaluación, se utilizó un sensor lineal de un metro de longitud modelo Li-190® (LI-COR Inc., Lincoln, Nebraska), el cual fue colocado de manera vertical a partir del ápice a la base, sobre las caras norte, sur, este y oeste de 4 tallos. Esto nos permitió estimar tanto la cantidad de LDI (mol m-2 d-1) recibida en el tallo, así como estimar la orientación del tallo que mayor LDI recibió durante el periodo de estudio. Las lecturas se realizaron por triplicado en cada una de las caras del tallo a intervalos de 2 horas iniciando a la 7am y terminando a las 7 pm. Las lecturas se realizaron un día cada 30 días a partir del 27 de enero hasta el 27 de octubre de 2014.

Asimilación instantánea de CO 2 (Ai) (µmol CO 2 m -2 s -1 ). La determinación de esta variable se realizó mediante un equipo portátil Li-Cor 6400XT® (LI-COR Inc., Lincoln, Nebraska). El equipo fue dotado con cámara Li-Cor 6400-15 de alcance extendido de 1.0 cm de diámetro. La cámara fue colocada sobre una de las costillas del tallo; por lo que fue necesario eliminar al inicio del estudio una porción (10 cm aprox.) de las costillas ubicadas a ambos lados de ésta (Figura 1A-C.). Los cortes de las costillas se realizaron en dos lados opuestos del tallo para de esta manera obtener 2 lecturas por tallo de un total de 4 que fueron evaluados. La Ai de CO2 por los tallos fueron tomadas bajo condiciones naturales de temperatura, luz, CO2 y a un flujo constante de 400 µmol CO2 m-2 s-1. El equipo fue calibrado de acuerdo con el protocolo establecido para Li-6400XT (Li-Cor 2008). Con base en el área de la cámara se determinó la cantidad de estomas que fueron cubiertos por ambos lados de esta, así como la longitud promedio de células oclusivas de acuerdo con la metodología descrita por Carrillo-Hernández et al. (2014). Las lecturas de Ai de CO2 se realizaron por 24 h cada 30 días a partir del 27 de enero hasta el 27 de octubre de 2014 a intervalos de 2 horas iniciando a las 9 am y terminando a las 7 am del siguiente día.

Figura 1 (A) Remoción de costilla para colocación de cámara. (B) Cicatrización en zona de material removido. (C) Colocación de cámara para mediciones. 

Análisis de Datos. La actividad metabólica y velocidad de respiración de las areolas y LDI recibida por los tallos se examinaron estadísticamente mediante un análisis de varianza con un diseño completamente al azar con un nivel de significancia de 5 %. Cuando se encontraron variaciones estadísticamente significativas, se utilizó la prueba de rangos múltiples de Tukey (P < 0.05). Para la variable de asimilación instantánea de CO2 se realizó estadística descriptiva con el fin de obtener la media y la desviación estándar por cada fecha de monitoreo. Se utilizó el paquete estadístico SAS versión 9.0 (SAS 2002).

Resultados

Característica del área de estudio. En la Figura 2A. se muestran las variaciones de temperatura y precipitación durante el periodo de estudio. Los datos muestran un gradual aumento de la temperatura desde el mes de enero hasta el mes de junio y posteriormente un decremento hasta el mes de octubre. En la Figura 2B. se muestra la precipitación pluvial durante los meses de estudio. El total acumulado fue de 239 mm, con registros en los meses de marzo, junio, julio, agosto, septiembre y octubre con valores de 0.5, 0.3, 55.9, 83.6, 83.6 y 15.2 mm, respectivamente.

Figura 2 (A) Temperatura máxima y mínima promedio mensual del aire, (B) lluvia total mensual del área de estudio. 

Propagación de material vegetativo. La sobrevivencia de los tallos propagados vegetativamente al finalizar la evaluación fue del 100 % y aún más importante, no se tuvieron pérdidas de las plantas madre de donde fueron obtenidos. En el análisis de raíz en 5 tallos se observó la presencia de estas en todos, sin embargo, la medición no fue constante para evitar dañarlas, priorizando de esta manera el bienestar de la planta. Después de 10 años la sobrevivencia es del 30 %; sin embargo, la pérdida está asociada a factores antropogénicos y naturales (incendio y huracán) y no a las condiciones de trasplante en sí. El crecimiento promedio de los tallos fue de 9.3 ± 0.6 cm durante el ciclo de crecimiento y una producción promedio en 2014 de 2 ± 0.8 frutos por tallo (Tabla 1). En años subsecuentes la generación de frutos varió entre 2 y 5 por tallo, esto aun cuando las plantas presentaron daño por quemaduras en una buena porción. Durante el primer año de crecimiento no se evaluó producción de frutos ya que las yemas florales fueron removidas y utilizadas para medir actividad metabólica de las mismas.

Tabla 1 Cantidad de agua, características fenológicas y de producción de frutos de tallos de Stenocereus thurberi propagados vegetativamente. 

Característica Valor promedio
Cantidad de agua utilizada (L) 60
Supervivencia de tallo (%) 100
Número de estomas (mm2) 35.3 ± 8.2
Longitud de células oclusivas (mm) 46.5 ± 5.0
Producción de frutos por tallo (ciclo 2015) 2.0 ± 0.8
Crecimiento anual (cm) 9.3 ± 0 .6

Calor metabólico (CM) (R q, µW mg -1 ps). En la Figura 3A. se muestra la producción de calor metabólico de areolas reproductivas de S. thurberi en los diferentes meses de estudio. En esta, se muestra como el CM de las areolas presenta un valor inicial de 1.2 µW mg-1 ps en el mes de enero y posteriormente este se incrementa a valores de 1.5, 1.4 y 1.3 µW mg-1 ps en los meses de febrero, marzo y abril hasta alcanzar un valor máximo de 2.03 µW mg-1 ps en el mes de mayo. Este incremento de CM corresponde con el proceso de inicio de brotación el cual coincide con el patrón de floración reportado para esta especie en esta misma zona geográfica (Bustamante & Búrquez 2008). La alta variabilidad en la producción de CM que presentaron este tipo de estructuras reproductivas se debe a que éstas se encontraban en diferentes etapas de desarrollo. Dicho comportamiento asincrónico explica porque es posible observar en una misma tallos areolas hinchadas, botones florales, flores y frutos. Posterior a esta fecha se observó una disminución en la producción de CM de las yemas con valores de 0.89 y 0.82 en los meses de junio y julio. Sin embargo, a partir de esta fecha las areolas mostraron un incremento en la producción de CM a valores de 0.99, 1.3, 1.3 y 1.4 µW mg-1 ps en los meses agosto, septiembre, octubre y noviembre respectivamente. Este incremento en la producción de CM por las areolas coincide con el periodo de lluvias, sin embargo, dichas areolas no llegaron a diferenciarse en flores.

Figura 3 Parámetros respiratorios de areolas florales de Stenocereus thurberi (P ≤ 0.05). 

Velocidad de respiración (RCO2, nmoles CO2 s-1 mg-1 ps). En la Figura 3B. se observa una disminución progresiva de la RCO2 de las areolas reproductivas a partir del mes de enero hasta el mes de junio. La velocidad de respiración de las areolas en estos meses fue de 0.011, 0.006, 0.004, 0.004, 0.004, 0.003 nmoles CO2 s-1 mg-1 ps, respectivamente. En el mes de julio se observó un incremento en la velocidad de respiración de las areolas con un valor de 0.007 nmoles CO2 s-1 mg-1 ps, sin embargo, durante los meses de agosto, septiembre, octubre y noviembre se observó de nuevo una disminución (P > 0.05) con valores promedio de 0.005, 0.004 y 0.003 nmoles CO2 s-1 mg-1 ps, respectivamente.

Eficiencia metabólica (Rq /RCO2 kJ mol-1 ). En la Figura 3C. se muestra que el mayor gasto energético de las areolas reproductivas se presentó durante el periodo de inicio de floración en el mes de mayo con un valor de 1,759.6 kJ mol-1 (p > 0.05). Fenológicamente estas areolas se caracterizan por presentar un hinchamiento y cambio de coloración de rojiza a verde-amarillo durante este mes. Por otro lado, durante los meses de octubre y noviembre también mostraron un incremento en el gasto energético con valores de 502.9, 837.8 6 kJ mol-1, respectivamente. Sin embargo, estas areolas solo mostraron hinchamiento, pero no llegaron a diferenciarse en flores.

Luz diaria integrada (LDI; mol m-2 d-1). En la Figura 4. se observa un incremento significativo en la cantidad LDI interceptada a partir del mes de enero con un valor de 14.4 mol m-2 d-1 hasta un valor máximo 27.2 mol m-2 d-1 en mayo. Posteriormente, se observó un decremento de LDI debido la presencia de nubosidad durante junio y julio, así como al inicio del equinoccio de otoño en septiembre y octubre. La LDI recibida por los tallos en estos dos últimos meses fue de 12.5 y 8.8 mol m-2 d-1, respectivamente. En esta misma gráfica, se puede observar que durante el periodo de estudio el lado oeste del tallo recibe significativamente la mayor cantidad de LDI con un valor de 23.4 mol m-2 d-1en tanto que, el lado norte recibió la menor cantidad con 12.9 mol m-2 d-1.

Figura 4 Luz diaria integrada mensual en tallos de Stenocereus thurberi. Los datos son el promedio ± desviación estándar.  

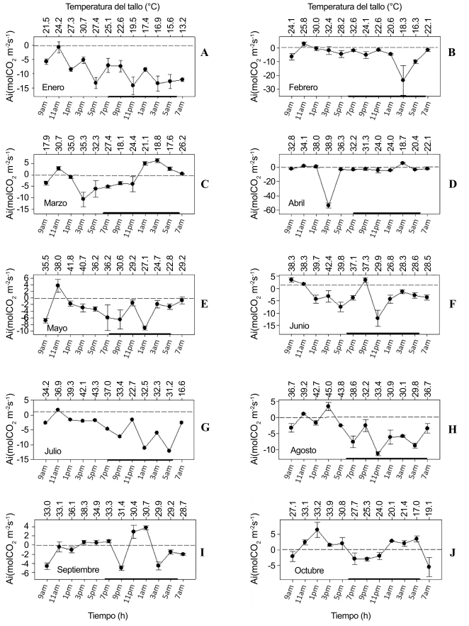
Asimilación instantánea de CO 2 . La asimilación instantánea de CO2 por tallos de S. thurberi creciendo bajo condiciones ambientales naturales durante el mes de enero se muestra en la Figura 5A; no se detectó asimilación neta de CO2 tanto en las mediciones diurnas como en las nocturnas. La temperatura ambiental promedio para esa fecha fue de 30.8 y 11 °C la mínima. En tanto que la temperatura promedio del tallo durante el día y la noche fueron 28.9 y 19.5 °C, respectivamente. La asimilación de CO2 detectada durante el período de 24 horas analizado para cada mes del año se describe a continuación. A las 7 am solo se registró durante el mes de marzo con un valor de 0.45 µmol CO2 m-2 s-1 (Figura 5C), en tanto que a las 9 am ésta solo fue detectada en junio con un valor de 3.5 µmol CO2 m-2 s-1 (Figura 5F). A las 11 am, durante los meses correspondientes a febrero, marzo, abril, mayo, junio, julio, agosto y octubre, los valores de CO2 registrados fueron 2.9, 2.9, 1.7, 3.7, 1.8, 1.7, 1.1 y 2.4 µmol CO2 m-2 s-1, respectivamente (Figura 5.). A la 1 pm se registró asimilación de CO2 en abril y octubre con un valor de 0.84 y 6.25 µmol CO2 m-2 s-1, respectivamente, mientras que, a las 3 pm, se registró asimilación en agosto, septiembre y octubre con valores de 3.4, 0.58 y 1.5 µmol CO2 m-2 s-1, respectivamente.

Figura 5 Asimilación instantánea mensual de CO2 de tallos de Stenocereus thurberi. Los datos son el promedio ± desviación estándar. 

Durante las horas de obscuridad, a las 11 pm la asimilación fue detectada en septiembre con un valor de 2.9 µmol CO2 m-2 s-1 (Figura 5I). En tanto que a la 1 am durante los meses de marzo, septiembre y octubre, se registraron valores de asimilación de CO2 de 5.0, 3.8 y 2.84 µmol CO2 m-2 s-1, respectivamente. A las 3 am se registró asimilación de CO2 en marzo, abril y octubre con valores correspondientes de 6.3, 5.6 y 2.0 µmol CO2 m-2 s-1, respectivamente. Por otro lado, a las 5 am, la asimilación de CO2 fue detectada únicamente en marzo y octubre con valores de 2.6 y 3.6 µmol CO2 m-2 s-1, respectivamente (Figuras 5C. y 5J.).

Discusión

Los tallos de S. thurberi presentan una alta adaptación y aclimatación para propagarse vegetativamente en áreas climáticas clasificadas del tipo BW(h') (x') que se caracteriza por un clima muy árido y cálido. Esto quedó demostrado por el número de tallos que sobrevivieron, al crecimiento anual, desarrollo de brazos laterales y la producción de frutos (Tabla 1). En la Figura 3. Se muestra la plasticidad de los tallos de S. thurberi para adaptar su metabolismo respiratorio a las condiciones ambientales a lo largo del ciclo vegetativo. En esta se puede observar como las areolas reproductivas incrementaron la producción de calor metabólico hasta alcanzar su valor máximo en el mes de mayo (2µWmg-1 ps). Dicho incremento, coincide con el inicio de la floración en esta área de estudio registrado por Bustamante & Búrquez (2008). Por otro lado, los valores de eficiencia metabólica Rq/RCO2 de las areolas sugieren que el mayor gasto energético (=> 470 kJ mol-1) se presentó durante el periodo inicio de floración en el mes de mayo y de octubre, periodos en el que se presentó la mayor fijación de CO2. Sin embargo, el gasto energético durante el mes de octubre no es significativo para la planta ya que las areolas florales no se diferencian en flores y por lo tanto no existe producción de frutos. Este comportamiento asincrónico en la fenología de las areolas reproductivas ha sido interpretado por algunos autores como una estrategia para sobrevivir a condiciones adversas de estreses bióticos como las plagas y estreses abióticos como el hídrico (Pimienta-Barrios & Nobel 1995). Fuera de los periodos mencionados anteriormente, el gasto energético de las areolas se mantiene por debajo de los 470 kJ lo cual indica que solo una pequeña cantidad de energía del catabolismo es perdida al ambiente por unidad de crecimiento o utilizada en reacciones anabólicas (Hansen et al. 2005). Esta capacidad de adaptar su metabolismo respiratorio a altas temperaturas y largo periodo de sequía, son algunas de las estrategias que les permite sobrevivir a los tallos propagados vegetativamente a las condiciones ambientales del Desierto Sonorense. Es decir, la baja tasa respiratoria a través del ciclo de crecimiento puede reducir tanto el gasto de agua como el gasto energético principalmente durante los meses mayo, junio y julio donde se presentan las más altas temperaturas y escasez de agua.

En cuanto a la LDI recibida por lo tallo esta fue afectada por la presencia de vegetación contigua, presencia de nublados y al inicio del equinoccio de otoño. En este estudio el mayor LDI se registró en el mes de mayo (27.2 mol m-2 d-1) en tanto que en el mes de octubre los tallos recibieron la menor de radiación (8.8 mol m-2 d-1). En cuanto a la PPFD recibida por orientación, el lado oeste es el que mayor radiación recibió (23.4 mol m-2 d-1) sin que se observara daños visibles en el tallo. Sin embargo, la mayor exposición a la radiación solar recibida en el lado oeste del tallo coincide con el daño observado en la epidermis en esta misma orientación en plantas adultas creciendo de forma silvestre. En estudios previos en tallos de S. thurberi muestran que la exposición a largo plazo a la radiación ultravioleta-B afecta la producción de capas de ceras epicuticulares. La proliferación de estas células provoca la formación de corteza la cual cubre las estomas afectando la fijación de CO2 y provocando con el tiempo la muerte de los tallos (Gibson & Nobel 1990, Evens et al. 2001). Este daño que cada vez es más común observarlo en las poblaciones silvestres de esta región. Con base en estos resultados se deberá considerar proteger los tallos principalmente el lado oeste con plantas nodrizas para evitar la exposición directa a la radiación solar en el caso que el interés se recuperar poblaciones silvestres. Si el interés, es establecer la pitaya como un cultivo será necesario tomar en cuenta la orientación de la plantación con el fin reducir el tiempo de exposición de los tallos a la radiación solar.

Los resultados encontrados en nuestro estudio muestran que los tallos de S. thurberi a largo del ciclo puede presentar o no algunas de las cuatro fases de fijación de CO2 según lo definido por Osmond (1978). O bien, presentar las cuatro fases cuando la temperatura y la disponibilidad de agua no fueron un factor de restricción como fue en el caso del mes de octubre. En este mes, la temperatura promedio del tallo en el día y la noche fue de 29.5/19.4 °C respectivamente, así como una precipitación acumulada de 239 mm. En estudios realizados en S. queretaroensis (F.A.C.Weber) Buxb., reportan que la mayor absorción neta diaria total de CO2 en campo se produce durante la otoño y principios del invierno (Pimienta-Barrios et al. 2004).

La fijación de CO2 y acumulación de agua durante este mes favorecen la sobrevivencia de los tallos ya que los hace más tolerantes a las condiciones de sequía del próximo ciclo vegetativo (Nobel 1995, Mauseth 2004). Con base a estos resultados nosotros podemos afirmar que el tiempo óptimo para la propagación vegetativa de esta especie es el mes de octubre. Por otro lado, estos resultados muestran la alta plasticidad fotosintética de S. thurberi para adaptarse a ambientes áridos, así como su alta tolerancia a altas temperaturas tal y como ha sido descrito en estudios anteriores (Smith et al. 1984). Esta capacidad de los tallos de S. thurberi de mantener el tejido fotosintético metabólicamente activo durante todo el periodo de sequía es relacionado con la suculencia de los tallos y el uso eficiente del agua (Nobel & Bobich 2002). Las altas temperaturas y la nula precipitación además de influir la toma de CO2 también se observó una reducción considerable del diámetro del tallo. Esta reducción fue más visible en el mes de junio cuando la temperatura máxima ambiental fue de 47 °C y la mínima de 25.2 °C. En tanto, la temperatura promedio del tallo en el día fue de 37.8 °C y de 25 °C durante la noche. La recuperación total del diámetro fue observada en el mes de octubre cuando la temperatura ambiental fue de 39.3 °C la máxima y 20.3 °C la mínima y con una precipitación acumulada de 239 mm de agua. Desde el punto de vista agronómico representa una oportunidad como cultivo de bajo requerimiento de agua tal y como se ha reportado en estudios realizados en Stenocereus queretaroensis (Pimienta-Barrios et al. 2004). Las poblaciones de esta especie se verían restauradas y beneficiaria a las personas que dependen de este fruto para su ingreso económico familiar. Por otro lado, estas características también permitirán conservar las poblaciones silvestres de S. thurberi, así como beneficiar la vida silvestre principalmente el sistema de polinización realizado por polinizadores diurnos y nocturnos que requieren el néctar de esta y otras cactáceas para su alimentación.

En conclusión, los tallos de Stenocereus thurberi con areolas reproductivas visiblemente diferenciadas pueden ser propagados vegetativamente con un gasto mínimo de agua. El protocolo desarrollado en la presente investigación demuestra que la propagación vegetativa de tallos de Stenocereus thurberi podría ser utilizada para establecer esta especie como cultivo de bajo requerimiento de agua y trabajo antropogénico. Además, de ser un recurso de un considerable potencial económico que puede contribuir a favorecer la economía rural de la región, así como ayudar en la recuperación las poblaciones silvestres de Stenocereus thurberi con frutos con pulpa de diferentes colores. Sin embargo, es necesario generar más información en el manejo y cuidados de esta especie, así como realizar análisis genéticos y moleculares para determinar la variabilidad genética de los individuos de esta especie, lo cual ayudará a generar información sobre la conservación de la diversidad biológica de esta especie e identificar posibles diferencias genéticas entre individuos que producen frutos con pulpa de diferentes colores.

Agradecimientos

Agradecemos a los revisores anónimos y al editor de sección por sus valiosas sugerencias para mejorar este manuscrito. A la profesora Marcia Romo Paz, presidente de Ateneo Ures por su dedicación y empeño en la promoción y conservación de la pitaya.

Literatura citada

Agostini-Costa TS. 2020. Bioactive compounds and health benefits of Pereskioideae and Cactoideae: A review. Food Chemistry 327: 126961. DOI: https://doi.org/10.1016/j.foodchem.2020.126961 [ Links ]

Aguilar-Romero RJ, Escobedo-Bonilla CM, Martínez-Álvarez IG, Ley-Quiñónez CP, Hart CE, Zavala-Félix KA, Leal-Moreno R, Suzán G, Aguirre AA, Zavala-Norzagaray AA. 2022. First ecological report of bat diversity present in Sierra de Navachiste protected Area, Sinaloa, México. Revista Bio Ciencias 9: e1208. DOI: https://doi.org/10.15741/revbio.09.e1208 [ Links ]

Arreola-Nava HJ, Terrazas T. 2003. Especies de Stenocereus con aréolas morenas: Clave y descripciones. Acta Botanica Mexicana 64: 1-18. DOI: https://doi.org/10.21829/abm64.2003.923 [ Links ]

Bustamante E, Búrquez A. 2008. Effects of plant size weather on flowering phenology of the Organ Pipe cactus (Stenocereus thurberi). Annals of Botany 102: 1019-1030. DOI: https://doi.org/10.1093/aob/mcn194 [ Links ]

Bustamante E, Casa A, Búrquez A. 2010. Geographic variation in reproductive success of Stenocereus thurberi (Cactaceae): Effects of pollination timing and pollinator guild. American Journal of Botany 97: 2020-2030. DOI: https://doi.org/10.3732/ajb.1000071 [ Links ]

Carrillo-Hernández MA, Viguras A, Portillo L. 2014. Observaciones sobre el comportamiento de estomas en plantas suculentas. Boletín Nakari 25: 27-30. [ Links ]

Casas A. 2002. Uso y manejos de cactáceas columnares mesoamericanas. Comisión Nacional para el Conocimiento y Uso de la Biodiversidad (CONABIO). Biodiversitas 40: 18-23. [ Links ]

Castro-Enríquez DD, Montano-Leyva B, Del Toro-Sánchez CL, Juárez-Onofre JE, Carvajal-Millán E, López-Ahumada GA, Barreras-Urbina CG, Tapia-Hernández JA, Rodríguez-Félix F. 2020. Effect of ultrafiltration of pitaya extract (Stenocereus thurberi) on its phytochemical content, antioxidant capacity, and UPLC-DAD-MS Profile. Molecules 25: 281. DOI: https://doi.org/10.3390/molecules25020281 [ Links ]

Cervantes-Arista C, Román-Guerrero A, Oidor-Chan VH, Díaz de León-Sánchez F, Álvarez-Ramírez EA, Pelayo-Zaldívar C, Sierra-Palacios EC, Mendoza-Espinoza JE. 2020. Chemical characterization, antioxidant capacity, and anti-hyperglycemic effect of Stenocereus stellatus fruits from the arid Mixteca Baja region of Mexico. Food Chemistry 328: 127076. DOI: https://doi.org/10.1016/j.foodchem.2020.127076 [ Links ]

Céspedes-Flores SE, Moreno-Sánchez E. 2010. Estimación del valor de la pérdida de recurso forestal y su relación con la reforestación en las entidades federativas de México. Investigación Ambiental 2: 5-13. [ Links ]

Criddle RS, Breidenbach RW, Rank DR, Hopkin MS, Hansen LD. 1990. Simultaneous calorimetric and respirometric measurement on plant tissue. Thermochimica Acta 172: 213-221. DOI: https://doi.org/10.1016/0040-6031(90)80576-K [ Links ]

Cueva TPJ, Herrera BGP. 2023. Establecimiento de una plantación de nueve especies forestales con fines de rehabilitación de suelos degradados en la hacienda la Florencia en el Cantón y provincia de Loja.Ciencia Latina Revista Científica Multidisciplinar7: 2036-2051. DOI: https://doi.org/10.37811/cl_rcm.v7i4.7031 [ Links ]

Díaz de León-Sánchez F, Hernández Trigueros PD, Rodríguez Verastegui LL, Oidor-Chang VH, Cervantes-Arista C, Aarland RC, Sierra-Palacios E, Mendoza-Espinoza JA. 2020. Chemical composition of juice and antihyperglycemic studies in seed of the prehispanic fruit tunillo (Stenocereus stellatus) collected in Oaxaca, Mexico. Indian Journal of Traditional Knowledge 19: 580-584. [ Links ]

Egert-Berg K, Hurme ER, Greif S, Goldstein A, Harten L, Herrera M LG, Flores-Martínez JJ, Valdés AT, Johnston DS, Eitan O, Borissov I, Shipley JR, Medellin RA, Wilkinson GS, Goerlitz HR, Yovel Y. 2018. Resource ephemerality drives social foraging in bats. Current Biology 28: 3667-3673.e5. DOI: https://doi.org/10.1016/j.cub.2018.09.064 [ Links ]

Evens LS, Sullivan JH, Lim M. 2001. Initial effects of UV-B radiation on stem surfaces of Stenocereus thurberi (organ pipe cacti). Environmental end Experimental Botany 46: 181-187. DOI: https://doi.org/10.1016/S0098-8472(01)00094-6 [ Links ]

Fleming TH, Sahley CT, Holland JN, Nason JD, Hamrick JL. 2001. Sonora desert columnar cacti and the evolution of generalized pollination system. Ecological Monographs 71: 511-530. DOI: https://doi.org/10.1890/0012-9615(2001)071[0511:SDCCAT]2.0.CO;2 [ Links ]

Franklin KA, Sommers PN, Aslan CE, López BR, Bronstein JL, Bustamante E, Búrquez A, Medellín RA, Marazzi B. 2016. Plant biotic interactions in the Sonoran Desert: current knowledge and future research perspectives. International Journal of Plant Sciences 177: 217-234. DOI: https://doi.org/10.1086/684261 [ Links ]

Gardea AA, Carvajal-Millán E, Orozco JA, Guerrero VG, Llamas J. 2000. Effect of chilling on calorimetric responses of dormant vegetative apple buds. Thermochimica Acta 349: 89-94. DOI: https://doi.org/10.1016/S0040-6031(99)00500-6 [ Links ]

Gibson AC, Nobel PS. 1990. The Cactus Primer. Cambridge, Massachusetts: Harvard University Press. ISBN: 9780674281714 [ Links ]

Goldshtein A, Handel M, Eitan O, Bonstein A, Shaler T, Collet S, Greif S, Medellín RA, Emek Y, Korman A, Yovel Y. 2020. Reinforcement learning enables resource partitioning in foraging bats. Current Biology 30: 4096-4102.e6. DOI: https://doi.org/10.1016/j.cub.2020.07.079 [ Links ]

Hansen LD, Criddle RS, Smith BN. 2005. Calorespirometry in plant biology. In: Lambers H, Ribas-Carbo M, eds. Plant Respiration: From Cell to Ecosystem. Dordrecht: Springer Netherlands, pp 17-30. DOI: https://doi.org/10.1007/1-4020-3589-6_2 [ Links ]

Hansen LD, Macfarlabe C, Mckinnon N, Smith BN, Criddle RS. 2004. Use of calorespirometric ratios, heat per CO2 and heat per O2, to quantify metabolic paths and energetics of growing cells. Thermochimica Acta 422: 55-61. DOI: https://doi.org/10.1016/j.tca.2004.05.033 [ Links ]

Hansen DL, Smith BN, Criddle RS. 1996. The relation between plant growth and respiration: applications to ecology and crop cultivar selections. Russian Journal of Plant Physiology 43: 691-697 [ Links ]

Hinojosa-Gómez J, Muy-Rangel MD. 2023. Caracterización fisicoquímica y compuestos bioactivos en los frutos de pitaya (Stenocereus thurberi) de cuatro colores. TIP Revista Especializada en Ciencias Químico-Biológicas, 26: 1-9. https://doi.org/10.22201/fesz.23958723e.2023.561 [ Links ]

INEGI [Instituto Nacional de Estadística, Geografía e Informática]. 2000. Base de datos geográficos: diccionario de datos climáticos escalas 1:250 000 y 1:1 000 000., México: INEGI 57 pp. [ Links ]

Kelly J. 2009. How to propagate agaves and cacti from cuttings and seed. Tucson, Arizona: University of Arizona College of Agriculture and Life Sciences. URL: URL: https://extension.arizona.edu/sites/extension.arizona.edu/files/pubs/az1483.pdf (accessed April 22, 2024) [ Links ]

Korczynski PC, Logan J, Faust JE. 2002. Mapping monthly distribution of daily light integrals across the contiguous United States. Horticultural Technology 12: 12-16. DOI: https://doi.org/10.21273/HORTTECH.12.1.12 [ Links ]

LI-COR. 2008. Using the LI-6400 Portable Photosynthesis System. Versión 6.1. Li-Cor Biosciences, Nebraska, USA: Inc. Lincoln. URL: URL: https://www.licor.com/env/support/LI-6400/manuals.html (accessed April 20, 2024) [ Links ]

Mauseth JD. 2004. The structure of photosynthetic succulent stems in plants other than cacti. International Journal of Plant Sciences 165: 1-9. DOI: https://doi.org/10.1086/380978 [ Links ]

Meteored. 2020. Histórico del clima en Hermosillo. https://www.meteored.mx/hermosillo/historico (accessed January 7, 2023) [ Links ]

Nobel PS. 1995. Environmental biology. In: Barbera G, Inglese P, Pimienta-Barrios E, eds. Agro-ecology, Cultivation and Uses of Cactus Pear. Rome, Italy: Plant Production and Protection Paper, FAO. 132. pp: 36-48. ISBN: 9251037353. [ Links ]

Nobel PS, Bobich EG. 2002. Environmental biology. In: Nobel PS, ed. Cacti: Biology and Uses. Berkely, California, USA: University of California Press, 250 pp. DOI: https://doi.org/10.1525/california/9780520231573.003.0004 [ Links ]

Osmond CB. 1978. Crassulacean acid metabolism: a curiosity in context. Annual Review of Plant Physiology 29: 379-414. DOI: https://doi.org/10.1146/annurev.pp.29.060178.002115 [ Links ]

Parker KC. 1987. Seedcrop Characteristics and minimum reproductive size of organ pipe cactus (Stenocereus thurberi) in southern Arizona. Madroño 34: 294-303. [ Links ]

Parker KC. 1988. Growth rates of Stenocereus thurberi and Lophocereus schottii in southern Arizona. Botanical Gazette 149: 335-346. [ Links ]

Pimienta-Barrios E. 1999. El pitayo en Jalisco y especies afines en México. Guadalajara, México: Editorial Universidad de Guadalajara. ISBN: 9688958611 [ Links ]

Pimienta-Barrios E, Nobel PS. 1994. Pitaya (Stenocereus spp., Cactaceae): an ancient and modern fruit crop of México. Economic Botany 48:76-83. DOI: https://doi.org/10.1007/BF02901385 [ Links ]

Pimienta-Barrios E, Nobel PS. 1995. Reproductive characteristic of pitayo (Stenocereus querateroensis) and their relationships with soluble sugar and irrigation. Journal of America Society of Horticultural Science 120: 1082-1086. DOI: https://doi.org/10.21273/JASHS.120.6.1082 [ Links ]

Pimienta-Barrios E, Pimienta-Barrios E, Nobel PS. 2004. Ecophysiology of the pitayo de Queretaro (Stenocereus queretaroensis). Journal of Arid Environments 59: 1-17. DOI: https://doi.org/10.1016/j.jaridenv.2004.01.005 [ Links ]

Ramírez-Rodríguez Y, Trujillo-Silva DJ, Riego-Ruiz L, Robledo-Márquez K, Espinosa-Tanguma R, Medina-Hernández A. 2020. Identification of compounds with vasoactive properties in a pitaya juice extract (Stenocereus griseus). Free Radical Biology and Medicine 159: S31-S32. DOI: https://doi.org/10.1016/j.freeradbiomed.2020.10.093 [ Links ]

Rodríguez-Félix A, Fortiz-Hernández J, Tortoledo-Ortiz O. 2019. Physico-chemical characteristics, and bioactive compounds of red fruits of sweet pitaya (Stenocereus thurberi). Journal of the Professional Association for Cactus Development 21: 87-100. DOI: https://doi.org/10.56890/jpacd.v21i.9 [ Links ]

Rodríguez-Félix F, Cárdenas-López JL, Montaño-Leyva B, Del-Toro-Sánchez CL, Juárez-Onofre JE, Carvajal-Millan E, Tapia-Hernández JA, Castro-Enriquez DD. 2023 Optimization of the extraction of betalains from the pulp of pitaya (Stenocereus thurberi) and its Antioxidant Capacity. Food Analytical Methods 16: 1252-1260, DOI: https://doi.org/10.1007/s12161-023-02486-5 [ Links ]

Salomón-Montijo B, Reyes-Olivas S, Sánchez-Soto B. 2016. Fenología reproductiva de Stenocereus thurberi (Cactaceae) en una región de transición del norte de Sinaloa, México; Gayana Botánica 73: 381-390. DOI: https://doi.org/10.4067/S0717-66432016000200381 [ Links ]

SAS [Statistical Analysis System]. 2002. Statistical Analysis System Software 9.0, ed. SAS. Institute. Inc. NC. USA: Cary. [ Links ]

Smith SD, Didden-Zopfy B, Nobel PS. 1984. High-temperature responses of North American Cacti. Ecology 65: 643-651. DOI: https://doi.org/10.2307/1941427 [ Links ]

Trejo-Martínez MA, Orozco-Avitia JA, Almaguer-Vargas G, Carvajal- Millán E, Gardea AA. 2009. Metabolic activity of low chilling grapevine buds forced to break. Thermochimica Acta 481: 28-31. DOI: https://doi.org/10.1016/j.tca.2008.09.025 [ Links ]

Turner RM, Bowers JE, Burgess TL. 1995. Sonora Desert plants: An ecological atlas. Tucson, Arizona, USA: University of Arizona Press. ISBN: 9780816525195 [ Links ]

Wang C, Tang Y, Chen J. 2016. Plant phenological synchrony increases under rapid within-spring warming. Scientific Reports 6: 25460. DOI: https://doi.org/10.1038/srep25460 [ Links ]

Yu W, Hansen LD, Fan W, Zhao W, MacArthur ED. 2008. Adaptation of growth and respiration of three varieties de Caragana to environmental temperature. Asian Journal of Plant Sciences 7: 67-72. DOI: https://doi.org/10.3923/ajps.2008.67.72 [ Links ]

Entidades financiadoras: No aplica.

Recibido: 17 de Noviembre de 2023; Aprobado: 04 de Abril de 2024; Publicado: 27 de Mayo de 2024

*Autor para correspondencia: asaldana@ciad.mx

Editor de sección: Wilmer Tezara

Contribución de los autores: JAOA, diseño, trabajo de campo, análisis y escritura del manuscrito; AJOC, diseño, trabajo de campo, análisis y escritura del manuscrito; AAG, asesoría, revisión y aportación al manuscrito; MAHO diseño, trabajo de campo, análisis y escritura del manuscrito; TC, escritura, aportación y revisión del manuscrito; AG, diseño, trabajo de campo, análisis y escritura del manuscrito.

Conflicto de inetreses: Los autores declaramos que no existe ningún conflicto de intereses financieros, personales ni en cuanto a la presentación de la información y resultados de este artículo.

Creative Commons License Este es un artículo publicado en acceso abierto bajo una licencia Creative Commons