SciELO - Scientific Electronic Library Online

 
vol.15 número3Aceite de maíz en la transferencia de embriones de ovejas PelibueyCaracterización de mataderos ovinos para la producción de barbacoa en un municipio del altiplano central de México índice de autoresíndice de materiabúsqueda de artículos
Home Pagelista alfabética de revistas  

Servicios Personalizados

Revista

Articulo

Indicadores

Links relacionados

  • No hay artículos similaresSimilares en SciELO

Compartir


Revista mexicana de ciencias pecuarias

versión On-line ISSN 2448-6698versión impresa ISSN 2007-1124

Rev. mex. de cienc. pecuarias vol.15 no.3 Mérida jul./sep. 2024  Epub 22-Nov-2024

https://doi.org/10.22319/rmcp.v15i3.6661 

Artículos

Modelo alternativo para medir la adopción de innovaciones: aplicación en el sistema apícola poblano

Irving César Farrera-Vázqueza 

Enrique Genaro Martínez-Gonzáleza  * 

Vinicio Horacio Santoyo-Cortésa 

Norman Aguilar-Gallegosb 

Reyna Azucena Luna-Oleac 

José Miguel Omaña-Silvestrec 

aUniversidad Autónoma Chapingo (UACh). Centro de Investigaciones Económicas Sociales y Tecnológicas de la Agroindustria y la Agricultura Mundial (CIESTAAM). Km 38.5 Carretera México -Texcoco, Chapingo, Estado de México. México.

bUniversidad Panamericana. Facultad de Ciencias Económicas y Empresariales, México.

c Colegio de Postgraduados. Posgrado en Socioeconomía, Estadística e Informática, México.


Resumen

Este trabajo tuvo como objetivo adaptar una herramienta metodológica capaz de mejorar la forma de obtener el Índice de Adopción de Innovaciones en el sistema apícola poblano. Se diseñó y aplicó un cuestionario a una muestra de 62 apicultores de donde se obtuvo información sobre el uso de innovaciones de manejo, genética, alimentación y sanidad, de la cual se definieron 32 variables originales y siete categorías de innovación. Se rediseñó y adaptó el índice de adopción de innovación (InAI) utilizando el proceso analítico jerárquico (PAJ), lo que facilitó la identificación de aspectos sociales de los apicultores y las innovaciones que contribuyen a mejorar la productividad de miel. Los resultados muestran que las innovaciones que más contribuyen a la producción son las contenidas en las categorías de ubicación del apiario y sanidad. Por otro lado, la evaluación del InAIalt, mostró ser una alternativa pertinente para la explicación del comportamiento del rendimiento por colmena, además de mostrar los porcentajes de aportación específicos sobre las innovaciones evaluadas, con lo cual se pueden calcular estimaciones más precisas y consistentes con los rendimientos esperados de la región.

Palabras clave Apicultura; Proceso Analítico Jerárquico; Innovación agrícola; Adopción de innovaciones

Abstract

This work aimed to adapt a methodological tool capable of improving the way to obtain the Innovation Adoption Index in the Puebla beekeeping system. A questionnaire was designed and applied to a sample of 62 beekeepers, from which information was obtained on the use of management, genetics, food, and health innovations, from which 32 original variables and seven innovation categories were defined. The Innovation Adoption Index (InAI) was redesigned and adapted using the analytic hierarchy process (AHP), which made it easier to identify social aspects of beekeepers and innovations that contribute to improving honey productivity. The results show that the innovations that contribute the most to production are those contained in the categories of apiary location and health. On the other hand, the InAIalt evaluation proved to be a pertinent alternative for the explanation of the behavior of the yield per hive in addition to showing the specific contribution percentages on the innovations assessed, which can be used to calculate estimates that are more precise and consistent with the expected yields of the region.

Keywords Beekeeping; Analytic Hierarchy Process; Agricultural innovation; Adoption of innovations

Introducción

El actual entorno económico ha impuesto demandas de competitividad sin precedentes a todas las empresas, lo que ha subrayado la importancia de las actividades de innovación, investigación y desarrollo. La innovación, siendo un proceso dinámico, no sólo impulsa el crecimiento empresarial y el desarrollo económico, sino que también se convierte en una estrategia para el cambio social y cultural dentro de la organización. Además, promueve la creación de nuevas tecnologías que sustituyen a las antiguas1, impulsando así la evolución continua.

Es cierto que no todas las innovaciones poseen el mismo impacto o valor, los procesos de innovación varían significativamente de un sector a otro, influenciados por sus condiciones y tasas de adopción2,3. Además, lo que puede ser considerado como nuevo para una persona en una región puede no serlo para otras dentro de la misma área geográfica, incluso algunas innovaciones, una vez que dejan de ser novedosas, se convierten en prácticas comunes, formando parte de un conjunto tecnológico aplicado regularmente por algunos, mientras que para otros que las están aprendiendo y utilizando, aún son consideradas como innovaciones, si no como buenas prácticas de producción4.

En la actualidad, existe un consenso sobre una serie de ideas para caracterizar la innovación en la agricultura. Se reconoce que la innovación requiere de conocimientos provenientes de diversas fuentes, incluidos los usuarios de esas innovaciones. Además, diferentes fuentes de conocimiento interactúan entre sí, compartiendo y combinando ideas, en procesos que suelen ser específicos para un contexto determinado. Cada contexto tiene sus propias órdenes, reflejando sus orígenes históricos determinados por factores culturales, políticos y sociales5. Por lo tanto, tener metodologías que permitan medir las innovaciones resulta un eslabón fundamental para la comprensión de éstas.

Una metodología se define como un conjunto de principios, procedimientos y prácticas destinadas a alcanzar un objetivo específico6. Estas metodologías son relevantes en el desarrollo de productos, ya que no sólo garantizan que el producto final sea adecuado y adaptable a las necesidades del usuario, sino que también contribuyen a estructurar y mejorar el proceso de desarrollo en sí mismo. En este sentido, comprender las características de la innovación y contar con metodologías adecuadas es esencial para impulsar el desarrollo y la mejora continua en el sector agrícola7.

La primera metodología empleada para medir la innovación agrícola fue desarrollada por Fliegel8, quien propuso un indicador de adopción de prácticas agrícolas basado en el porcentaje de prácticas que los productores adoptan en comparación con el total de prácticas disponibles. Posteriormente, Muñoz et al9 propusieron un índice de adopción de innovación (en adelante, InAI) para evaluar la capacidad innovadora de un productor. Este índice guarda similitudes con el propuesto por Fliegel, aunque los segundos autores categorizan las innovaciones según paquetes tecnológicos y calculan un InAI específico para cada categoría, dividiendo el número de innovaciones realizadas por el productor entre el total de innovaciones registradas en esa categoría. Luego, promedian los InAI de cada categoría para obtener el InAI general de cada productor.

Sin embargo, en ambas propuestas metodológicas no se establece una clara diferenciación entre las innovaciones evaluadas, lo cual supone que todas las innovaciones tienen el mismo peso. Por otro lado, Pérez et al10 sostienen que para medir el nivel de innovación de un productor es necesario considerar tanto la cantidad como el tipo de innovaciones implementadas. Proponen la implementación de un modelo alternativo que combine elementos de enfoques tradicionales con nuevas perspectivas, con el objetivo de alcanzar un equilibrio entre complejidad y dinamismo en la medición. Para ello, se requiere determinar la fuerza de las interrelaciones entre los elementos de una jerarquía.

Un método utilizado para jerarquizar y ponderar criterios es el Proceso Analítico Jerárquico (PAJ), propuesto por Thomas Saaty11 en los años 80. Esta herramienta multicriterio se basa en comparaciones por pares de criterios o alternativas mediante una escala definida, lo que permite priorizar la resolución de una variedad de problemas complejos multicriterio. El proceso implica la obtención de opiniones y evaluaciones subjetivas. En el PAJ, se comparan elementos entre sí utilizando una matriz cuadrada definida por una serie de criterios, lo que implica ponderar el número de filas y columnas y asignar a cada elemento una importancia relativa basada en el juicio de expertos.

En este contexto, el objetivo de la investigación fue adaptar una metodología para obtener un Índice de Adopción de Innovación Alternativo (InAIalt) mediante el PAJ, con el fin de obtener un indicador que refleje de manera más precisa la medición del proceso de adopción de innovaciones, y que a su vez permita entender este proceso de vital importancia para el sector agroalimentario; con un énfasis particular en el sector apícola, el cual desempeña un papel fundamental en la polinización de cultivos y la producción de diversos productos que contribuyen significativamente a la seguridad alimentaria, la biodiversidad y el desarrollo de las comunidades rurales.

Material y métodos

La investigación fue de carácter exploratorio, descriptivo y de corte transversal, soportada en fuentes primarias y secundarias con técnicos, proveedores de insumos en el sector apícola y productores de miel. Para asegurar la integridad de la muestra, se verificó la credibilidad de las fuentes mediante la revisión de su experiencia en campo, su reputación en la comunidad apícola y la coherencia de sus datos con la literatura existente. Las encuestas se llevaron a cabo de julio de 2021 a marzo de 2022, en los municipios de Acatlán de Osorio, Guadalupe, San Pablo Anicano y San Pedro Yeloixtlahuaca, en la región mixteca del estado de Puebla. De una lista proporcionada por técnicos y proveedores de la región se entrevistaron a 48 apicultores, mientras que aquellos no registrados (14), se identificaron mediante la técnica de bola de nieve lineal durante el mismo periodo. Esta investigación se destaca por la relevancia que adquiere al enfocarse en el estado de Puebla, que ocupa el octavo lugar en la producción de miel en México12. Este dato subraya la presencia significativa de la apicultura en la región, la cual merece un análisis detallado de su impacto en la economía local y nacional. Específicamente, la región de la Mixteca Poblana emerge como un área propicia para el desarrollo de la apicultura y la producción de miel de alta calidad. Este fenómeno se atribuye a una combinación de factores, entre los que destacan las condiciones climáticas favorables, la riqueza de la flora local, la arraigada tradición apícola, así como el impacto económico y social generado por esta actividad en la región.

Variables y su análisis

Se analizaron 32 ítems agrupados en siete categorías (Cuadro 1), tomando como base el manual de buenas prácticas pecuarias en la producción primaria de miel de la Secretaría de Agricultura, Ganadería, Desarrollo Rural, Pesca y Alimentación (SAGARPA) como base de análisis.

Cuadro 1 Ítems de buenas prácticas de producción de miel 

Categoría Innovación tecnológica en la producción de miel
Sanidad IT01. Frecuencia de revisión; IT02. Registro en bitácoras; IT03. Flameo de cuña; IT04. Control de varroasis; IT05. Retiro de timol 15 Días antes de la cosecha; IT06. Cambio de reina cada año; IT07. Cambio de bastidores de cámara de cría 2/año.
Alimentación
artificial
IT08. Insumo para alimentación de sostén o mantenimiento; IT09. Insumo para alimentación de estímulo; IT10. Insumo para alimentación suplementaria. IT 11. Suspende la alimentación al inicio de la floración.
Ubicación IT12. Distancia a la fuente más cercana de agua; IT13. Ubicación del apiario asentamientos humanos; IT14. Distancia a la zona de floración; IT15. Apiario limpio de malezas; IT16. Colmenas sobre base 20 cm; IT17. Distancia a zonas habitada; IT18. Conocimiento sobre aplicación de productos químicos; IT19. Distancia entre colmenas.
Material de
protección a
la colmena
IT20. Condición actual del equipo de la colmena; IT21. Material correcto para recubrir la colmena (resinas, ceras), IT22. Uso de ahumador con material combustible de origen vegetal.
Cosecha IT23. Correcto porcentaje de operculación; IT24. Material utilizado para desalojar abejas durante la cosecha.
Personal IT25. Personal conoce BPPM; IT26. Tiene bitácora de higiene; IT27. Vestimenta limpia; IT28. Vestimenta de uso exclusivo.
Limpieza e
higiene
IT29. Programa de procedimientos sobre higiene y limpieza personal; IT30. Procedimientos higiene y limpieza de equipo de protección; IT31. Procedimientos de limpieza de los utensilios y recipientes; IT32. Asiste a talleres de capacitación.

IT= Innovación tecnológica.

Fuente: Elaboración propia con base en lo propuesto por SAGARPA13

El cálculo del InAI o de buenas prácticas de producción, se lleva a cabo para cada unidad de producción apícola, lo que permite la evaluación del grado de innovación. El InAI es una medida que varía entre cero y uno, donde cero indica un nivel de innovación nulo, mientras que uno representa el máximo nivel de innovación alcanzado por un productor. Este índice refleja el porcentaje promedio de prácticas implementadas por el productor. Para calcular el InAI de cada productor, se promedian los valores del índice de adopción de innovaciones en cada categoría, utilizando la Ecuación 1 9.

InAIi=j=1nIAICkK (Ecuación 1)

Donde InAIi= índice de adopción de la innovación del i-ésimo productor; IAICik= índice de adopción del i-ésimo productor en la k-ésima categoría; K= número total de categorías.

Para poder comparar el InAIi vs el InAIalt se tuvieron que emitir juicios sobre la importancia de la innovación en la producción de miel por colmena. Para ejemplificar una aplicación del PAJ se utilizó la creación del InAIalt. El modelo jerárquico establecido en dicho factor se ilustra en la Figura 1, donde se observa que el InAIalt es explicado por siete criterios (sanidad, alimentación artificial, ubicación, material de protección a la colmena, cosecha, personal y limpieza e higiene) y a su vez cada uno de ellos es resultado de las variables que constituyen a los subcriterios y sus alternativas.

Figura 1 Modelo Jerárquico para la obtención del InAI apícola con el PAJ 

Para determinar la importancia relativa de cada innovación, se llevó a cabo un proceso de evaluación realizado por un grupo de cinco expertos en el ámbito de la apicultura y la innovación en este sector. Estos expertos fueron seleccionados debido a su experiencia y conocimientos prácticos en la actividad apícola, así como su dominio técnico de las innovaciones y buenas prácticas de producción en el sector. Se procuró un perfil que englobara varios aspectos fundamentales para el estudio, incluyendo una comprensión sólida de las necesidades y desafíos que enfrentan las unidades de producción apícola. Durante la evaluación, los expertos asignaron un peso o ponderación a cada innovación, considerando dos criterios principales: primero, ponderaron la contribución o importancia de cada innovación dentro de las categorías correspondientes; y segundo, utilizaron una escala del 1 al 9 para indicar la prioridad relativa de una alternativa sobre las opciones comparadas. En esta escala, el valor 1 indica que ambas opciones son igualmente importantes para el objeto de estudio, mientras que el valor 9 indica la mayor prioridad de una alternativa sobre las opciones comparadas. Los detalles del criterio numérico se encuentran especificados en el Cuadro 2.

Cuadro 2 Escala de comparación de preferencia 

Valor Definición Explicación
1 De igual importancia Las innovaciones contribuyen de igual forma a la productividad
3 Moderada importancia La innovación contribuye moderadamente a la productividad
5 Importancia fuerte La innovación contribuye fuertemente a la productividad
7 Importancia muy fuerte o demostrada La innovación es más favorecida que la otra; su predominancia se demostró en la productividad
9 Importancia extrema La evidencia favorece a la innovación sobre la otra incuestionablemente
2, 4, 6,
8
Valores intermedios Se ocupan cuando no se puede definir un valor intermedio entre las innovaciones adyacentes

Fuente: Elaboración propia adaptado de Saaty11.

Una vez que las matrices de comparación estuvieron llenas, se procedió a realizar un análisis de consistencia de los juicios emitidos por los expertos, siguiendo el procedimiento descrito por Zamudio Sánchez y Núñez Vera14; las matrices que no resultaron consistentes se reevaluaron hasta lograr consistencia con un nivel de significancia muestral menor a 0.05. Una vez probada la consistencia de la asignación de valores en las matrices se procedió a calcular los pesos de cada atributo o alternativa considerando al autovalor asociado al autovalor máximo de cada matriz de comparación siguiendo el procedimiento descrito por Saaty11.

Las dos tareas anteriores se automatizaron utilizando la herramienta SAS® V9 para programar en condiciones dinámicas e interactivas con el procedimiento IML (Interactive Matrix Language) los cálculos matriciales, en donde se programaron rutinas auxiliares, para generar las salidas que incluyeron los pesos específicos de cada innovación o categoría.

Con el propósito de valorar la congruencia de los valores obtenidos con el InAIalt respecto a variables de importancia productiva, se utilizó un modelo de regresión lineal múltiple (Ecuación 2) para explicar el rendimiento registrado por colmena como función del InAIalt en interacción con el tamaño del apiario. Para la agrupación en clústeres, se utilizó el número de colmenas que tiene cada apicultor entrevistado, dividiéndolas en tres grupos (Clúster 1, 1-10 colmenas; Clúster 2, 11-20 colmenas y Clúster 3, 21-32 colmenas). Este ejercicio se contrastó con el propio que utiliza el InAIi. Es importante mencionar que la decisión de utilizar el número de colmenas como criterio de agrupación se fundamentó en su relevancia dentro del contexto apícola regional, así como en su facilidad de medición y manejo en el estudio. Esta elección permitió una distribución equilibrada y representativa de las unidades de producción apícola, facilitando así la comparación analítica entre los distintos niveles de productividad y la adopción de innovaciones.

E(Yi/X=xi)=β1χ1i*Z1i+β2χ1i*Z2i+ β3χ1i*Z3i (Ecuación 2)

Donde Yi: Rendimiento por colmena del i-ésimo productor; X1= InAIi o InAIalt del i-ésimo productor; Zji =1 si el i-ésimo productor pertenece al clúster j=1,2,3; y 0 de otra forma.

El propósito del modelo de regresión fue fundamental para la evaluación tanto de la precisión predictiva como explicativa de las relaciones entre las variables, considerando el InAIalt como una técnica adicional para capturar de manera más efectiva la complejidad de los datos y las interacciones entre las variables. Además, se procedió a representar gráficamente los valores de InAIi frente a los valores de InAIalt obtenidos en cada categoría con el fin de evidenciar las diferencias entre estos índices.

Resultados y discusión

La edad promedio de los apicultores fue de 39 años; más del 20 % son menores de 26 años, y el resto menor de 55 años, lo que permite suponer que la actividad apícola se encuentra en manos de gente adulta; si bien es cierto que la edad promedio coincide con lo reportado en otros estudios en México15-18, la apicultura en la región de estudio muestra un cambio generacional donde los jóvenes empiezan a retomar esta actividad como una fuente de ingresos alternativa.

En cuanto a los años de escolaridad promedio, estos fueron de 8.8; un dato superior al reportado por Güemes et al19 y Magaña et al20 para otros estados de la República Mexicana, quienes indicaron un nivel de educación de primaria incompleta.

La región presenta un promedio de ocho años dedicados a la apicultura. Sin embargo, otros estudios 21,22,23, reportaron un promedio de 16, 21 y 22 años respectivamente de ejercer la apicultura, superior a lo encontrado en esta región, lo que indica que la actividad es relativamente joven comparada con los estados de Jalisco, Yucatán y Veracruz.

En cuanto al tiempo semanal dedicado a la actividad, el promedio fue de 1.65 h, aunque el rango varía de 1 a 3.5 h, dependiendo del número de colmenas que posea el apicultor. Esta flexibilidad en las jornadas laborales se debe a que la apicultura no requiere largas horas de trabajo para obtener buenos resultados, lo que la convierte en una excelente actividad complementaria según la percepción de los propios apicultores.

La apicultura en la región se encuentra estrechamente ligada a los cultivos básicos y a las áreas de vegetación silvestre. Se identificaron un total de 62 apiarios, los cuales albergan en conjunto 757 colmenas. Los municipios que destacan por tener el mayor número de apiarios son Guadalupe y Acatlán de Osorio, con 21 y 16 apiarios, respectivamente, seguidos por San Pablo Anicano con 15 y San Pedro Yeloixtlahuaca con 10 apiarios.

En cuanto al tamaño de las unidades de producción apícola, se observa que el promedio es de 12.21 colmenas, aunque se registran variaciones, desde un mínimo de tres hasta un máximo de 32. Este rango de tamaños refleja la diversidad en la escala de producción apícola en la región, lo cual puede estar influenciada por factores como la disponibilidad de recursos, la experiencia de los apicultores y la demanda del mercado local.

La principal fuente de ingresos para los apicultores proviene de las actividades agrícolas, representando el 57.17 % del total, según datos que coinciden con los reportados en otros trabajos19,22. Este dato sugiere una fuerte dependencia económica de la agricultura en la región de estudio. En segundo lugar, se encuentran las remesas provenientes de Estados Unidos, un fenómeno que también ha sido documentado24, donde se menciona que el 80 % de las remesas que llegan al estado de Puebla benefician a los habitantes de la región de la Mixteca. La apicultura ocupa el tercer lugar como fuente de ingresos, siendo considerada una actividad complementaria debido a la naturaleza estacional de su proceso de producción. Esta característica puede limitar su contribución económica en comparación con las actividades agrícolas y las remesas. Sin embargo, algunos productores, como los asesores técnicos y los veterinarios, encuentran en la apicultura una segunda fuente de ingresos.

De acuerdo con el Banco Mundial25, la diversificación de fuentes de ingresos no solo reduce la vulnerabilidad ante posibles fluctuaciones en una sola fuente de ingresos, sino que también fortalece la capacidad de resistencia financiera frente a eventos inesperados, demostrando ser un factor clave para promover el desarrollo económico local.

En el Cuadro 3 se presentan los pesos específicos por categoría según el tipo de InAI; como se mencionó anteriormente en el InAIi tradicional, tanto el valor de cada innovación como el de cada categoría siempre será el mismo. El InAIi general fue de 54.14 %, es decir, los apicultores están aplicando 17 de 32 innovaciones tecnológicas evaluadas para la producción de miel, lo cual refiere que son pocas las innovaciones adoptadas, quedando un margen para seguir avanzando en este sentido. De acuerdo con esta metodología, la categoría de cosecha es la que más aporta a la producción de miel (13.71 %).

Cuadro 3 Pesos específicos y número de innovaciones (INOV) por categoría 

Categoría INOV
(n)
%
InAIi Peso InAIi
ponderado
InAIalt Peso InAIalt
ponderado
Ubicación 8 65.52 14.29 9.36 81.82 31.74 25.97
Sanidad 7 36.87 14.29 5.27 52.57 29.15 15.32
Alimentación 4 47.98 14.29 6.85 31.12 19.21 5.98
Materiales 3 91.94 14.29 13.13 79.98 7.78 6.22
Cosecha 2 95.97 14.29 13.71 76.86 6.87 5.28
Personal 4 27.42 14.29 3.92 51.55 2.77 1.43
Limpieza e higiene 4 13.31 14.29 1.90 17.96 2.48 0.45
Total 32   100.00 54.14   100.00 60.65

InAIi= Índice de Adopción de Innovación; InAIalt= Índice de Adopción de Innovación Alternativo.

Por otro lado, de acuerdo con los pesos obtenidos por medio del PAJ, indica que las categorías de ubicación y sanidad del apiario aportan casi el 61 % de las innovaciones para la producción de miel. La relevancia de estas categorías en la producción apícola conlleva diversas implicaciones de importancia. En primer lugar, señala que la selección correcta de la ubicación del apiario debe tener en cuenta variables como la disponibilidad de fuentes florales, las condiciones climáticas y la presencia de agentes pesticidas, ya que éstas pueden influir considerablemente en los volúmenes de producción de miel. Además, la adopción de innovaciones de manejo sanitario, incluyendo el control de enfermedades y la prevención de plagas, resulta crucial para salvaguardar la salud y el bienestar de las colonias apícolas.

En este sentido varios autores afirman que la productividad de la miel es el resultado de una combinación de varios factores, entre ellos, la densidad y calidad de la floración, el ambiente físico natural y la sanidad26,27. Gracias a la riqueza de los recursos naturales con los que cuenta la región de estudio, la práctica de alimentación artificial (jarabe de azúcar principalmente) a las colmenas en tiempos de escasez, es baja (2.71 veces/año). Aunque Tucuch-Haas et al28 mencionan que la alimentación suplementaria incrementa el número de abejas, número de celdas con cría operculada, néctar-miel y polen.

En el Cuadro 4 se ejemplifica la construcción de las categorías y como cada innovación aporta un porcentaje a cada una de ellas. Como se planteó la ubicación del apiario es una categoría que explica un 27.21 % de la producción de miel, pero dentro de esta categoría las distancias inferiores a 1 km a la fuente de agua y la zona de floración contribuyen 68 % a esta categoría, por lo cual son actividades prioritarias para la instalación o manejo de un apiario, datos similares fueron reportados por otros investigadores29.

Cuadro 4 Peso de las principales innovaciones en la producción de miel 

Ubicación del apiario Sanidad
Innovación % Innovación %
Distancia < 1,000 m a la fuente más cercana de agua 48.35 Frecuencia de revisión ≤ 15 días 33.89
Distancia < 1,000 m a la zona de floración 19.69 Flameo de cuña previo a inspeccionar una colmena 24.71
Distancia mínima entre colmenas ≥ 2 m 9.44 Control de acaro (Varroa destructor) (timol) 22.78
Colmenas sobre base ≥ 20 cm 7.95 Realiza cambios de bastidores de cámara de cría 2/año 6.52
Apiario limpio de malezas 5.44 Cambio de reina cada año 5.61
Conocimiento sobre fechas de aplicación de productos químicos 4.10 Retira el timol 15 días antes de la floración 3.60
Distancia a zonas habitada > 200 m 2.74 Utiliza registro en bitácoras 2.90
Distancia > 400 m de asentamientos humanos 2.30
Porcentaje Total 100.0 100.00

La sanidad es otro pilar fundamental, porque un manejo sanitario pobre aumenta los costos de producción y la mortalidad de las colonias de abejas; mantener una colmena fuerte se traduce en una mayor eficiencia productiva. A pesar de que existen siete innovaciones dentro de sanidad; la frecuencia de revisión, el flameo de cuña y el control de varroasis aportan más del 80 % de esta categoría, por lo cual se convierten en actividades de alto impacto.

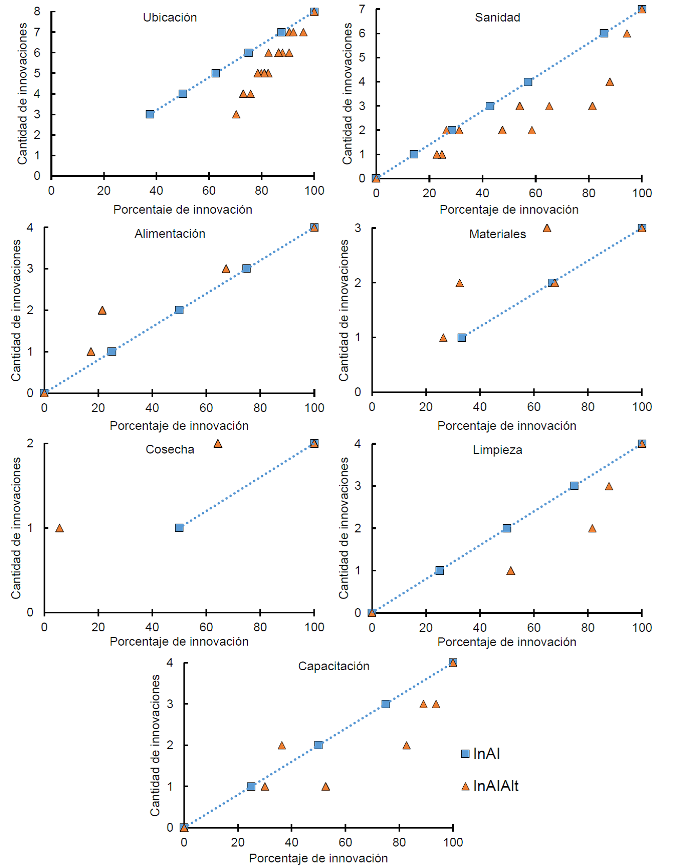
El InAIalt presentó variaciones para diferentes innovaciones (Figura 2); se puede observar que, para una misma cantidad de innovaciones, se puede obtener un porcentaje de innovación diferente dentro de cada categoría (mayor o menor) de acuerdo al peso obtenido por medio del PAJ, a excepción de los valores extremos que siempre mantienen el mismo porcentaje (0 o 100), sin importar el número de innovaciones o el peso asignado por cualquier metodología. Esta situación favorece tanto a investigadores como a productores para conocer el nivel actual entre un productor y otro, aun teniendo el mismo número de innovaciones, debido a que cada uno tiene objetivos y prioridades distintas en términos de innovación.

Figura 2 Comparación de las principales categorías de innovación que aportan a la producción de miel 

Una de las ventajas de usar el PAJ es que se pueden asignar valores a innovaciones que, pese a que no cumplen con lo planteado en el manual de buenas prácticas, podría tener algún valor diferente a cero o estar con un valor mayor sin cumplir en su totalidad con lo requerido, como se hace tradicionalmente con la metodología de InAI. Para ejemplificar esta situación se observa en la gráfica de materiales (Figura 2) que a pesar de cumplir con las tres características, el porcentaje de innovación es inferior al 100; esta situación podría explicarse porque a pesar de contar con los materiales necesarios para cubrir esta categoría, su condición actual puede no ser la óptima para un manejo adecuado en el apiario, pero no se puede descartar por completo porque es mejor tener esa innovación en condiciones no tan favorables, que no tenerla.

Sobre la evaluación del INAI, en el Cuadro 5 se presenta los resultados generales. Ambas regresiones (InAI e InAIalt) muestran una prueba general significativa (<.0001) y la raíz del CME alrededor de 3.4, significando que ambos modelos son estadísticamente pertinentes en la explicación del comportamiento del rendimiento por colmena. Juzgando el estadístico R2 ambos modelos explican el 69 % de la variabilidad inherente al rendimiento por colmena.

Cuadro 5 Resultado del modelo de regresión múltiple 

Parámetro INAI
Coeficiente S.D. Valor t Significancia FIV
InAI Rendimiento/colmena*Clúster 1
(1-10 colmenas) n=30
15.80 1.37 11.55 <.0001 1.75
InAIalt 14.33 1.22 11.79 <.0001 2.07
InAI Rendimiento/colmena*Clúster 2
(11-20 colmenas) n=19
18.69 1.44 12.94 <.0001 1.75
InAIalt 16.68 1.25 13.37 <.0001 2.07
InAI Rendimiento/colmena*Clúster 3
(21-32 colmenas) n=13
26.09 1.39 18.75 <.0001 1.75
InAIalt 22.95 1.19 19.24 <.0001 2.07

FIV Factor de inflación de varianza.

Prueba general de regresión de InAI: F-valor 217.48, P-valor <.0001, R2 0.652, RMSE 3.544.

Prueba general de regresión de InAIalt: F-valor 229.29, P-valor <.0001, R2 0.668, RMSE 3.459.

También se observa que los coeficientes asociados a los InAI e InAIalt en cada clúster son estadísticamente significativos (<.0001), es decir, todos son distintos de cero; sin embargo, los errores estándar asociados al InAI son mayores al InAIalt entre 8 y 10 %. Los coeficientes estimados revelan una diferencia significativa entre el modelo propuesto y el tradicional. Este hallazgo sugiere que los rendimientos esperados en cada clúster (pequeño, mediano y grande) están sobrevalorados cuando se emplea el método tradicional, mientras que la alternativa propuesta produce estimaciones más ajustadas a la realidad analizada. Esta discrepancia puede atribuirse a que el modelo propuesto minimiza los errores, lo que resulta en estimaciones más precisas (Figura 3). Además, con el nuevo InAIalt podría ayudar a entender el por qué los productores del estrato 3 pueden llegar a obtener una mayor cantidad de subproductos de la colmena.

abc Medias con diferentes literales por columna, para la variable respectiva, indican diferencias significativas (P<0.05).

Figura 3: Rendimiento promedio por colmena en la Mixteca Poblana, México 

El uso del InAIalt permitió identificar las categorías y prácticas más relevantes en el ámbito de la apicultura, lo que sugiere una nueva forma de planificar y ejecutar los programas de capacitación y extensión en esta actividad. Al definir áreas prioritarias, la capacitación de los apicultores puede centrarse en aspectos clave como la salud de la colmena, el manejo de alimentos y la selección del mejor sitio para el apiario. Este enfoque posibilita que los apicultores se concentren en mejorar las prácticas que tienen un mayor impacto en la salud y productividad de las abejas, en lugar de intentar innovar en todos los aspectos simultáneamente. Esta estrategia no solo optimiza los recursos disponibles, sino que también promueve una transición gradual y exitosa hacia métodos de apicultura más eficientes y sostenibles.

Conclusiones e implicaciones

En la Mixteca Poblana la apicultura se practica principalmente en unidades de pequeña escala y generalmente como actividad complementaria. Aunque por otro lado existe un potencial productivo debido a sus condiciones agroecológicas, además de ser una fuente de ingresos con jornadas reducidas de trabajo. El InAIalt propuesto permitió identificar las categorías e innovaciones con mayores contribuciones para la producción de miel en la región de estudio basado en los pesos otorgados atreves del PAJ el cual permite adaptar esta metodología a diferentes regiones y sistemas productivos gracias a su adaptabilidad, la cual solo requiere una base de datos con las innovaciones que se desean evaluar en un sistema productivo y un panel de expertos de la zona para llegar a un resultado más contundente con la realidad de la región. Se ha demostrado que la medición de la innovación, no sólo incluye aspectos técnicos y productivos, sino también aspectos ambientales; esta visión holística permite una evaluación más precisa del impacto global de la innovación y su contribución al desarrollo apícola. La evaluación de pertinencia del InAIalt realizada a través de los modelos de regresión indica que los resultados son consistentes con los que se obtienen en el INAI (ajuste de los modelos); sin embargo, la propuesta produce estimaciones más precisas y consistentes con los rendimientos esperados de la zona. Por lo cual se propone que para futuras investigaciones se realicen regresiones considerando cada uno de los subproductos de la apicultura para corroborar el alcance del modelo. Finalmente, la metodología propuesta exhibe una flexibilidad sectorial y territorial, caracterizándose por su versatilidad y capacidad de adaptación, lo cual la distingue como un instrumento idóneo para la implementación en múltiples escenarios productivos. En consecuencia, su adopción contribuiría a generar mejoras tangibles en términos de eficiencia y calidad en el ámbito operativo, en aras de tener una mejor medición del proceso de adopción de innovaciones en el sector agropecuario.

Literatura citada

1. Schumpeter JA. Business cycles: A theoretical, historical, and statistical analysis of the capitalist process. J Political Economy. New York: McGraw-Hill; 1939. [ Links ]

2. Paz A. Experiencias del programa de investigación sobre escalamiento de innovaciones rurales. 1a ed. Lima; 2013.ISBN 978-9972-51-384-8. [ Links ]

3. Delfín PFL, Acosta MMP. Analysis and relevance in business development. Pensam Gestión 2016;(40):184-202. [ Links ]

4. Ramírez-García AG, Monterroso-Rivas AI, Garcia-Espejel A. Caracterización de la red de innovación de pequeños productores ganaderos del estado de Sonora, México. Económicas CUC 2019;40(2):195-216. [ Links ]

5. Hall A. Challenges to strengthening agricultural innovation systems: Where do we go from here? Vol. 38, UNU-MERIT. Netherlands; 2007. [ Links ]

6. Organización para la Cooperación y el Desarrollo Económicos [OCDE], Oficina de Estadística de las Comunidades Europeas [EUROSTAT]. Manual de Oslo. Directrices para la recogida e interpretación de información relativa a innovación [Internet]. 2005. [ Links ]

7. Martínez PJV, Quitian MJS, Castiblanco JIA. Caracterización y comparación de metodologías ágiles y tradicionales de desarrollo de producto. Cienc Ing Neogranadina 2022;32(2):9-26. [ Links ]

8. Fliegel FC. A multiple correlation analysis of factors associated with adoption of farm practices. Rural Sociol 1956;21:284-292. [ Links ]

9. Muñoz M, Aguilar J, Rendón R, Altamirano J. Análisis de la dinámica de innovación en cadenas agroalimentarias. Chapingo UA, editor. CIESTAAM - Universidad Autónoma Chapingo. Chapingo, México. 2007. [ Links ]

10. Pérez GRO, Martínez BH, López TBJ, Rendón MR. Estimación de la adopción de innovaciones en la agricultura. Rev Mex Cienc Agrí 2016;(15):2909-2923. [ Links ]

11. Saaty TL. How to make a decision: The analytic hierarchy process. Eur J Oper Res 1990;48(1):9-26. [ Links ]

12. Servicio de Información Agroalimentaria y Pesquera [SIAP]. Producción de miel en México. 2022. Citado 12 Jul, 2023. http://infosiap.siap.gob.mx/gobmx/datosAbiertos_p.php . [ Links ]

13. SAGARPA. Manual de buenas prácticas pecuarias en la producción de miel. Vol. 3 ed. 2015. [ Links ]

14. Zamudio SFJ, Núñez VMA. Género, inequidad y medición. Universidad Autónoma Chapingo; 2011. [ Links ]

15. Vélez IA, Espinosa GJA, Amaro GR, Arechavaleta VME. Tipología y caracterización de apicultores del estado de Morelos, México. Rev Mex Cienc Pecu 2016;7(4):507-524. [ Links ]

16. Rodríguez Balam E, Pinkus Rendón M. Apicultura, entorno y modernidad en localidades de Yucatán, México. Biotemas 2015;28(3):143. [ Links ]

17. Martínez GEG, Aguilar ÁJ, Aguilar GN, García SEI, Olvera MJA, Santoyo CH. Adopción de buenas prácticas de producción de miel en Yucatán. Livest Res Rural Dev 2017;29(6):1-7. [ Links ]

18. Becerril GJ, Hernández CFI. Beekeeping: its Contribution to the income of rural households in Southern Yucatan. Península 2020;15(2):9-29. [ Links ]

19. Güemes RFJ, Echazarreta GC, Villanueva GR, Pat FJM, Gómez ÁR. La apicultura en la península de Yucatán. Actividad de subsistencia en un entorno globalizado. Rev Mex del Caribe 2003;8(16):117-132. [ Links ]

20. Magaña MMA, Tavera CME, Salazar BLL, Sanginés GJR. Productividad de la apicultura en México y su impacto sobre la rentabilidad. Rev Mex Cienc Agríc 2017;7(5):1103-1115. [ Links ]

21. Contreras-Escareño F, Pérez AB, Echazarreta CM, Cavazos AJ, Macías-Macías JO, Tapia-González JM. Características y situación actual de la apicultura en las regiones Sur y Sureste de Jalisco, Mexico. Rev Mex Cienc Pecu 2013;4(3):387-398. [ Links ]

22. Magaña MMÁ, Aguilar AA, Lara LP, Sanginés GR. Caracterización socieconómica de la actividad apícola en el estado de Yucatán, México. Agronomía 2007;15(2):17-24. [ Links ]

23. Luna ChG, Roque PJG, Fernández EE, Martínez ME, Díaz ZUA, Fernández LG. Caracterización apícola en la región sierra centro-norte de Veracruz: contexto y trashumancia. Rev Mex Cienc Agríc 2019;10(6):1339-1351. [ Links ]

24. Ponce JPC. Propuesta de desarrollo rural sustentable en la cuenca del río Tizaac, en la Mixteca Poblana [tesis doctorado]. Texcoco, Edo. de México. Universidad Autónoma Chapingo; 2005. [ Links ]

25. World Bank. World development report 2000/2001. Attacking poverty. 2001. [ Links ]

26. Abou-Shaara HF, Al-Ghamdi AA, Mohamed AA. A suitability map for keeping honey bees under harsh environmental conditions using geographical information system. World Appl Sci J 2013;22(8):1099-1105. [ Links ]

27. Medina-Cuéllar SE, Portillo-Vázquez M, García Álvarez-Coque JM, Terrazas-González GH, Alba-Nevárez LL. Influencia del ambiente sobre la productividad de la segunda cosecha de miel de abeja en Aguascalientes de 1998 a 2010. Rev Chapingo, Serie Cienc Forest Amb 2014;20(2):159-165. [ Links ]

28. Tucuch-Haas JI, Rangel-Fajardo MA, Casanova-Lugo F, Ruíz-Sánchez E, Utrera-Quintana F, Tucuch-Haas CJ, et al. Alternative supplemental feeding of Apis mellifera L. during the time of shortage in Yucatán, México. Ecosist Recur Agropec 2020;7(3):1-10. [ Links ]

29. Martell TAY, Lobato RFG, Landa ZM, Luna ChG, García SLE, Fernandez LG. Variables de influencia para la producción de miel utilizando abejas Apis mellifera en la región de Misantla. Rev Mex Cienc Agríc 2019;10(6):1353-1365. [ Links ]

Recibido: 11 de Abril de 2024; Aprobado: 20 de Junio de 2024

*Autor de correspondencia: enriquemartinez@ciestaam.edu.mx

Creative Commons License Este es un artículo publicado en acceso abierto bajo una licencia Creative Commons