SciELO - Scientific Electronic Library Online

 
vol.12 número1Las funciones de las aves en la producción avícola de pequeña escala: el caso de una comunidad rural en Hidalgo, MéxicoEvaluación de dos fuentes suplementarias de clorhidrato de zilpaterol sobre la calidad de la carne y los rasgos de la canal de toros Bos indicus cruzados en los trópicos índice de autoresíndice de materiabúsqueda de artículos
Home Pagelista alfabética de revistas  

Servicios Personalizados

Revista

Articulo

Indicadores

Links relacionados

  • No hay artículos similaresSimilares en SciELO

Compartir


Revista mexicana de ciencias pecuarias

versión On-line ISSN 2448-6698versión impresa ISSN 2007-1124

Rev. mex. de cienc. pecuarias vol.12 no.1 Mérida ene./mar. 2021  Epub 20-Sep-2021

https://doi.org/10.22319/rmcp.v12i1.5213 

Artículos

Disonancia cognitiva ante el cambio climático en apicultores: un caso de estudio en México

Felipe Gallardo-Lópeza 

Blanca Patricia Castellanos-Potencianob  * 

Gabriel Díaz-Padillac 

Arturo Pérez-Vásqueza 

Cesáreo Landeros-Sáncheza 

Ángel Sol-Sánchezd 

a Colegio de Postgraduados, Campus Veracruz. Manlio Fabio Altamirano, Veracruz México.

b Instituto Nacional de Investigaciones Forestales, Agrícolas y Pecuarias - Centro de Investigación Regional Pacífico Sur, Valles Centrales de Oaxaca. México.

c Instituto Nacional de Investigaciones Forestales, Agrícolas y Pecuarias - Centro de Investigación Regional Golfo Centro, Teocelo, Veracruz. México.

d Colegio de Postgraduados. Campus Tabasco. Cárdenas, Tabasco. México.


Resumen

El cambio climático en la apicultura se percibe como un fenómeno relacional y la adopción de estrategias de adaptación son necesarias para mantener la actividad económica. La teoría de la Disonancia Cognitiva de Festinger, ayuda a comprender las limitantes para la adopción de estrategias de adaptación al cambio climático. Para ello se aplicó una encuesta que permitiera explorar la relación entre la percepción, la actitud y el comportamiento de los apicultores frente al cambio climático en territorio mexicano. Se observó que: 1) los apicultores identificaron el cambio climático como el principal problema de la apicultura; 2) existe disonancia entre la actitud y el comportamiento respecto a las estrategias de adaptación y 3) la disonancia cognitiva se reduce con justificaciones, para su comportamiento. Por lo tanto el estado de disonancia presente es una limitante para adoptar acciones de adaptación frente al cambio climático, dejando en evidencia la necesidad de modificaciones en el comportamiento de los apicultores, a través de la capacitación dirigida para informar y explicar la naturaleza del cambio climático y sus impactos; de ubicar al apicultor dentro de este contexto donde pueda aportar elementos técnicos que le permitan reorientar su trabajo, promoviendo una percepción objetiva y constructiva, que genere la actitud positiva suficiente, frente a los retos que el cambio climático representa; para que modifique el comportamiento lo necesario, para mantener la actividad rentable en México.

Palabras clave Adaptación; Percepción; Actitud; Apicultores; Apis mellifera

Abstract

Climate change in beekeeping is perceived as a relational phenomenon, and it is necessary to adopt adaptation strategies to maintain economic activity. Festinger's theory of Cognitive Dissonance helps understand the constraints to the adoption of climate change adaptation strategies. For this purpose, a survey was applied to explore the relationship between the perception, attitude, and behavior of beekeepers in the face of climate change in Mexican territory. It was noted that: 1) Beekeepers identified climate change as the main problem for beekeeping; 2) They exhibit dissonance between their attitude and their behavior regarding adaptation strategies, and 3) Cognitive dissonance is reduced through justifications for their behavior. Thus, the present state of dissonance is a limitation for adopting climate change adaptation actions, evidencing the need to modify the behavior of beekeepers, through training to inform and explain the nature of climate change and its impacts; to place the beekeepers within this context, where they can contribute technical elements that may allow them to reorient their work, promoting an objective and constructive perception, which will generate a positive attitude in the face of the challenges that climate change represents, so that they may modify their behavior as much as necessary in order to keep the activity profitable in Mexico.

Key words Adaptation; Perception; Attitude; Beekeepers; Apis mellifera

Introducción

El cambio climático representa el mayor desafío para la humanidad en el siglo XXI. El efecto invernadero asociado al fenómeno provoca efectos negativos ambientales, sociales y económicos en los diferentes sectores productivos1. Así que mantener el óptimo desarrollo del sector primario, en los sistemas de temporal, representa un reto para los países de América Latina ante los efectos negativos del cambio climático2.

La apicultura es una actividad importante y una opción para el crecimiento del sector primario de países en desarrollo3. A nivel mundial, México ocupa el sexto lugar en producción de miel y en promedio la tercera posición como exportador de este producto; generando divisas por $93,725 millones de dólares4.

Esta actividad depende de un intervalo de condiciones climáticas estables para su óptimo desarrollo5. Los impactos del cambio climático en la apicultura se manifiestan como un fenómeno relacional en un contexto local6. Por lo que para esta actividad se espera un impacto potencial directo (considerando la respuesta intra e interespecífica de la flora y las abejas melíferas), a través de la movilidad espacio-temporal de la floración melifera7 y un impacto indirecto en los factores socioeconómicos de los apicultores8.

Los apicultores poseen conocimiento empírico y técnico sobre las abejas y su entorno, así como de la variabilidad climática local9, lo que define la percepción del cambio climático y en la generación de ideas, que pueden influir en la aceptación de estrategias de adaptación y en su comportamiento10.

La Teoría de la disonancia cognitiva (TDC) de Leon Festinger ayuda a explicar la incongruencia a nivel individual y social que el cambio climático genera en las personas, así como la justificación a tal actitud o comportamiento. Esta teoría, plantea que el estado ideal es la congruencia o armonía cognitiva, por lo que la incongruencia interna del sistema de ideas o cogniciones que se generan en un individuo surge, ante la contradicción simultánea entre dos de ellas; o por un comportamiento contrario a sus creencias11.

Cuando la disonancia se presenta, el estrés que se genera incomoda al individuo, por lo que éste, de forma inconsciente intenta reducir la incomodidad o estrés, a través de diferentes formas como: a) pensamientos que justifiquen su comportamiento así, el individuo acepta que la acción emprendida es la correcta b) modificación de la conducta y c) convivir con el conflicto interno, aunque esto genere otros estados en la salud mental del individuo12,13.

Investigaciones en este rubro, han demostrado que existe disonancia cognitiva entre la percepción del cambio climático (según el sistema de creencias de los individuos) y su influencia en la adopción de las estrategias de adaptación en el sector agropecuario14,15.

Así, se identifica la necesidad de distinguir la percepción del cambio climático y la disonancia cognitiva que se genera en los apicultores entre percepción, actitud y comportamiento, ante las estrategias de adaptación para el cambio climático y como, se reduce esta incongruencia de cogniciones; para ayudar a comprender las ideas que limitan la adopción de estrategias de adaptación y el proponer ellos mismos, estas acciones16.

Material y métodos

El estado de Veracruz es el quinto estado productor de miel y el primero como productor de cera, en México. Dentro del estado se seleccionó la región centro apícola (97° 27’ 0’’ N, 95° 26’ 41.9’’ N, 18° 31’ O), que posee aproximadamente 244.86 km2 son bosques, 1.37 km2 es selva, 101.88 km2 (1.72 %) es matorral y 2,698.68 km2 son agroecosistemas y que aporta más del 35 % de la producción estatal de miel y cera17.

Muestra y procedimiento

Para obtener la información se diseñó y aplicó una encuesta, a 88 apicultores para explorar la relación cognitiva con base a la TDC de Festinger18, entre la percepción, actitud y comportamiento frente al cambio climático; así como las estrategias de adaptación que se practican o que pueden llegar a implementarse.

Debido a que no se contaba con un censo apícola oficial de la región centro, se consideró como población muestral el listado de apicultores a quienes se le expidió la constancia de niveles de infestación de Varroa destructor, (el cual no se consideró como indicador o parámetro de selección), emitida por el órgano rector nacional, en la delegación estatal de la Secretaria de Agricultura Ganadería, Desarrollo rural, Pesca y Alimentación (SAGARPA) durante el periodo 2012-2013; por ser esta la única información disponible para obtener un listado de apicultores.

Para estimar el tamaño de muestra se aplicó la fórmula de Scheaffer, William19, n= N𝜎 2 /[(N-1)D+𝜎 2], considerando como población el listado de apicultores, descrito. Los valores utilizados fueron: n= 247, desviación estándar del número de colmenas (𝜎)= 200.6 y B= 34.4. Con la información colectada se realizó un análisis exploratorio en el programa Statistica© 7, empleando métodos univariados, para las cogniciones percepción, actitud y comportamiento. Finalmente, con análisis bivariados se asociaron las tres cogniciones para explorar la presencia de la disonancia entre ellas.

Cuestionario

Se diseñó y aplicó un cuestionario con 10 preguntas abiertas para las cogniciones de percepción y comportamiento que se categorizaron de acuerdo con las respuestas de los apicultores; se realizó un análisis de contenido20, identificándose categorías analíticas emergentes.

Las preguntas de actitud consideraron la disposición de los apicultores ante nueve estrategias de adaptación ante el cambio climático, para ello se dispuso cada ítem en escala de Lickert, donde las categorías y sus valores fueron: (5) Totalmente de acuerdo (TDA), (4) De acuerdo (DA), (3) Indiferente (IN), (2) En desacuerdo (ED), (1) Totalmente en desacuerdo (TED). Considerando el valor de respuesta (3) como una actitud positiva baja y la respuesta (5) como una actitud positiva muy alta. La fórmula Lickert se definió como:IL=PT/Ni, donde, IL (índice Lickert); PT (puntuación total) y Ni (número total de afirmaciones).

Para explorar los elementos disonantes a nivel cognitivo se analizaron histogramas bivariados, delimitados por una matriz para interpretar el estado incongruente21. Se emplearon cuatro cuadrantes en el que cada uno representa un posible estado cognitivo en los apicultores, de forma positiva o negativa de la siguiente forma (Figura 1): Cuadrante I, disonante positivo: actitud negativa (1) y (2) hacia las estrategias de adaptación, pero que si las lleva a cabo. Cuadrante II, consonante positiva: actitud positiva (1), (2) y (3), hacia las estrategias de adaptación y que si las lleva a cabo. Cuadrante III, consonante negativa: actitud negativa (1) y (2) hacia las estrategias de adaptación y no las lleva a cabo. Y Cuadrante IV, disonante negativo: actitud positiva (1), (2) y (3) hacia las estrategias de adaptación pero que no las lleva a cabo.

Figura 1 Matriz de decisión del estado cognitivo entre la actitud versus el comportamiento 

Resultados

Percepción de los apicultores ante el cambio climático

Para saber si, el cambio climático representaba un problema y la importancia que pudiera tener con relación a otras situaciones, la primera pregunta fue: ¿Para usted cuál es el principal problema que enfrenta la apicultura actualmente? El 66.4 % de las respuestas fue “la variación climática” seguido de “la variación en las temporadas de floración”. La siguiente respuesta con mayor frecuencia fue la falta de espacio o incremento en el número de apiarios por área (17.1 %) (Figura 2).

Figura 2 Percepción del principal problema de la apicultura en la región centro 

En la pregunta número dos, ¿Qué entiende por cambio climático? el 30.2 % dijo que es “un problema de desfase en las estaciones del año”, otro 24 % como “los cambios en los ciclos naturales por causa de la deforestación”, un 13.5 % respondió que “no sabe” y un 12.5 % mencionó “el calentamiento global” (CG) (Figura 3).

Figura 3 Percepción del concepto del cambio climático por los apicultores 

Al preguntar ¿Por qué medio de comunicación se enteró del cambio climático? La mayor frecuencia de respuesta fue por la televisión (39 %) como el medio de comunicación más importante para obtener información, seguida por la información difundida en los periódicos (20 %).

La siguiente pregunta ¿Recuerda algún evento climático extremo que haya afectado la apicultura? el 70 % respondió “Si”. De esos el 58 % mencionó como principal evento “la escasez de floración”, como consecuencia de un evento climático que los apicultores denominaron “una helada inesperada”, en dos zonas diferentes; una fue la zona del altiplano (51 %) correspondiente al estado de Veracruz y la otra en el altiplano correspondiente al estado de Puebla (59 %).

Dado que el promedio de experiencia de los productores, de la región era de 20 años en la actividad8, se preguntó ¿Recuerda un año en particular en el que la producción de miel haya sido baja o mala?, el 35.2 % de los apicultores percibió el 2010, por la presencia de un huracán. Aunque al revisar los registros del volumen de producción del estado, el año 2005 fue el de menor producción17 y solo el 1.4 % de los apicultores, recordó ese año como, “un mal año en la producción apícola” (Figura 4). Se observó que, en el 2010 México fue impactado por el huracán Karl que afecto esta región apícola con la perdida de colmenas22, confirmando la relación entre el fenómeno meteorológico y la producción de miel, a pesar que este suceso no coincide con los registros oficiales de producción en ese año17. Pero para los apicultores el impacto económico marco ese año, como un mal año para la producción.

Figura 4 Percepción de los años con presencia de eventos climáticos extremos que dañaron la apicultura de la región centro, contra la producción total reportada en el estado 

Con base en la percepción de las condiciones climáticas en las últimas dos décadas el 97.7 % percibe que el clima en la región ha cambiado. Por ello en la siguiente pregunta: ¿Cómo han cambiado los siguientes factores climáticos: temperatura, precipitación, sequía y heladas en los últimos doce años? Para dar respuesta, se establecieron tres categorías de cambio: a) cualitativo, si el apicultor percibió un aumento, disminución o constancia de los factores climáticos; b) frecuencia, si se percibía un aumento, disminución o constancia en el patrón del evento y por último c) intensidad, si los eventos habían disminuido o incrementado la fuerza de impacto.

Se registró que el 95.5 % de los productores percibieron un incremento cualitativo en la temperatura, 71.6 % en precipitación y 47.7 % en sequias, pero ningún cambio en las heladas. Respecto a los cambios en frecuencia el 83 % de los individuos percibió un aumento en la temperatura, 56.8 % en precipitación y 30.7 % las sequias, mientras que en las heladas no se percibieron cambios. En intensidad, 87.5 % percibió que los cambios en temperatura son más severos, 69.3 % que la precipitación es más intensa, a su vez que un 59.1 % percibe que las condiciones de sequias se mantienen igual y 38.6 % que las heladas se ha mantenido constantes (Figura 5).

Figura 5 Cambios en cuatro factores climáticos que intervienen en la actividad apícola 

En la pregunta ocho ¿En los últimos años ha notado cambios en las floraciones de interés apícola? el 100 %, percibió cambios en las floraciones y que han afectado los volúmenes de producción miel. Con base a ello, se les pregunto ¿Conoce, algunas medidas de adaptación en la apicultura para reducir el impacto del cambio climático? y ¿Cuáles conoce?, el 71.6 % tenían conocimiento de alguna estrategia de adaptación: reforestación con especies melíferas (35 %), alimentación artificial (32 %), recambio de reinas (11.1 %), mejor manejo de apiario (11.1 %) y la trashumancia (10 %).

Actitud de los apicultores frente al cambio climático

La frecuencia de respuesta en las nueve afirmaciones, se observan el Cuadro 1 donde la actividad de “Reforestar”, sobresale con un 92%, que dijo estar “TDA”. El 51.1% de los entrevistados dijo estar “TDA” con el “Recambio de reinas certificadas” aunque, la falta de viabilidad productiva en material biológico que se adquiere, los costos y la desconfianza hacia los distribuidores, influyen de forma negativa en esta actividad. Por ejemplo, en el estado de Yucatán para el recambio de reinas existen criadores de reinas que cubren menos del 1% de la demanda, por lo que el porcentaje faltante se cubre (cuando es en extremo necesario) con abejas reinas de otros estados que elevan el riesgo de portar enfermedades y de ser genotipos poco productivos en la región, por lo que los apicultores, prefieren, posponer esta actividad, el mayor tiempo posible23.

Cuadro 1 Porcentaje de respuestas en las variables de actitud 

Variable Actitud
1 2 3 4 5
Reforestar 8.0 92.0
Recambio reinas propias 1.1 2.3 23.9 72.7
Recambio reinas certificadas 1.1 3.4 4.5 39.8 51.1
Cambios en labores de manejo 8.0 10.2 8.0 23.9 50.0
Asistencia técnica 1.1 17.0 79.5
Adopción de las BPPPM 1.1 26.1 72.7
Más horas de trabajo 1.1 19.3 79.5
Registros de floración 1.1 2.3 3.4 17.0 76.1
Registros de manejo y labores 4.5 15.9 79.5

La afirmación de “Cambios en el manejo del apiario ” tuvo un porcentaje acumulado del 50 % en “TDA” y mientras que la otra mitad manifestó una actitud “IN” o negativa. A pesar de que un 72.7 % dijo estar dispuesto a adoptar lo establecido en las Buenas Prácticas Pecuarias en la Producción Primaria de Miel “BPPPM” , su “adopción” se percibe solo como un requisito para acceder a programas de apoyos y no como el método para producir miel bajo recomendaciones técnicas, que debieran ayudar a los apicultores a realizar los registros de manejo, para la planeación de trabajo del siguiente ciclo, similar a las acciones que realizan apicultores de otros países como Nigeria4.

Se establecieron dos interrogantes de actitud, que incluyeron percepción y comportamiento. La primera ¿Está usted dispuesto en llevar a cabo alguna de las estrategias anteriores y que no esté realizando actualmente dentro de sus actividades apícolas? y ¿Qué actividad sería esa? La mayor frecuencia de respuesta fue “la reforestación” con el 59 % seguido de un porcentaje de la población que respondió “ninguna” (29 %), otros dijeron “alimentación artificial” (7 %), “cambiar el manejo” (3 %), y solo un 1 % expreso el “recibir asistencia técnica o capacitación”.

La última pregunta de la sección fue: ¿Qué acciones cree deberían estar haciendo las instituciones federales y estatales para ayudar a los apicultores a adaptarse al cambio climático? El 46.6 % dijo que “se deben destinar recursos económicos directos”, para que ellos decidan su ejercicio, un 13.6 % que “se deben implementar programas de reforestación de especies melíferas” y un 10.2 % dijo que las instituciones deben “facilitar y agilizar los trámites apícolas”, para los apicultores trashumantes. El porcentaje restante considero acciones como: “prohibición de plaguicidas” (7.9 %), “conservación de áreas naturales” (7.9 %), “capacitación apícola” (5.7 %), “supervisión de apiarios” (3.4 %), “difusión de la importancia de los polinizadores” (2.3 %) y “promover el consumo nacional de miel” (2.2 %).

Comportamiento de los apicultores frente al cambio climático

En esta sección, se preguntó ¿Usted ha implementado alguna estrategia para adaptarse a las condiciones actuales del clima y mantener la producción?, el 80.7 % dijo llevar a cabo al menos alguna de las estrategias, como medida de adaptación. No obstante, el 20.3 % restante realiza alguna de estas actividades, pero no las identifican como estrategias de adaptación, como son, la alimentación artificial (42.3 %), la reforestación de especies melíferas, (26.8 %), el recambio de reinas (12.7 %), cambios de manejo en el apiario (9.9 %), la trashumancia (7.0 %) y mejoramiento genético (1.4 %).

Para finalizar la sección se preguntó ¿Cuál es la principal limitante u obstáculo para no realizar alguna de las estrategias anteriores?; solo el 89.7 % respondió, de esos 56.9 % dijo por “falta de capital económico”; 15.4 % “por indiferencia”; 5.0 % “falta de espacios físicos propios” (para reforestar), 7.6 % “falta de apoyos por el gobierno”, 5.0 % “falta de tiempo” y 2.5 % por “burocracia institucional” en trámites para la movilidad de colmenas.

Disonancia cognitiva ante el cambio climático

Se observó que los apicultores perciben el cambio climático como un problema en la actividad que desempeñan, mediante un sistema de ideas asociadas a su actividad, es decir, como desfase o cambio en las estaciones (lluvias, secas y heladas) y floraciones en un ciclo anual.

Esto demuestra que la percepción se construye con base a las afectaciones que se presentan en la apicultura y se ignoran, los orígenes y causas del fenómeno a nivel global. Por lo que, la actitud y el comportamiento para implementar estrategias de adaptación, dependerá de la percepción de los impactos negativos del fenómeno en la apicultura, tal y como se observa por la matriz de decisión en la Figura 1 y se aprecian de la siguiente forma:

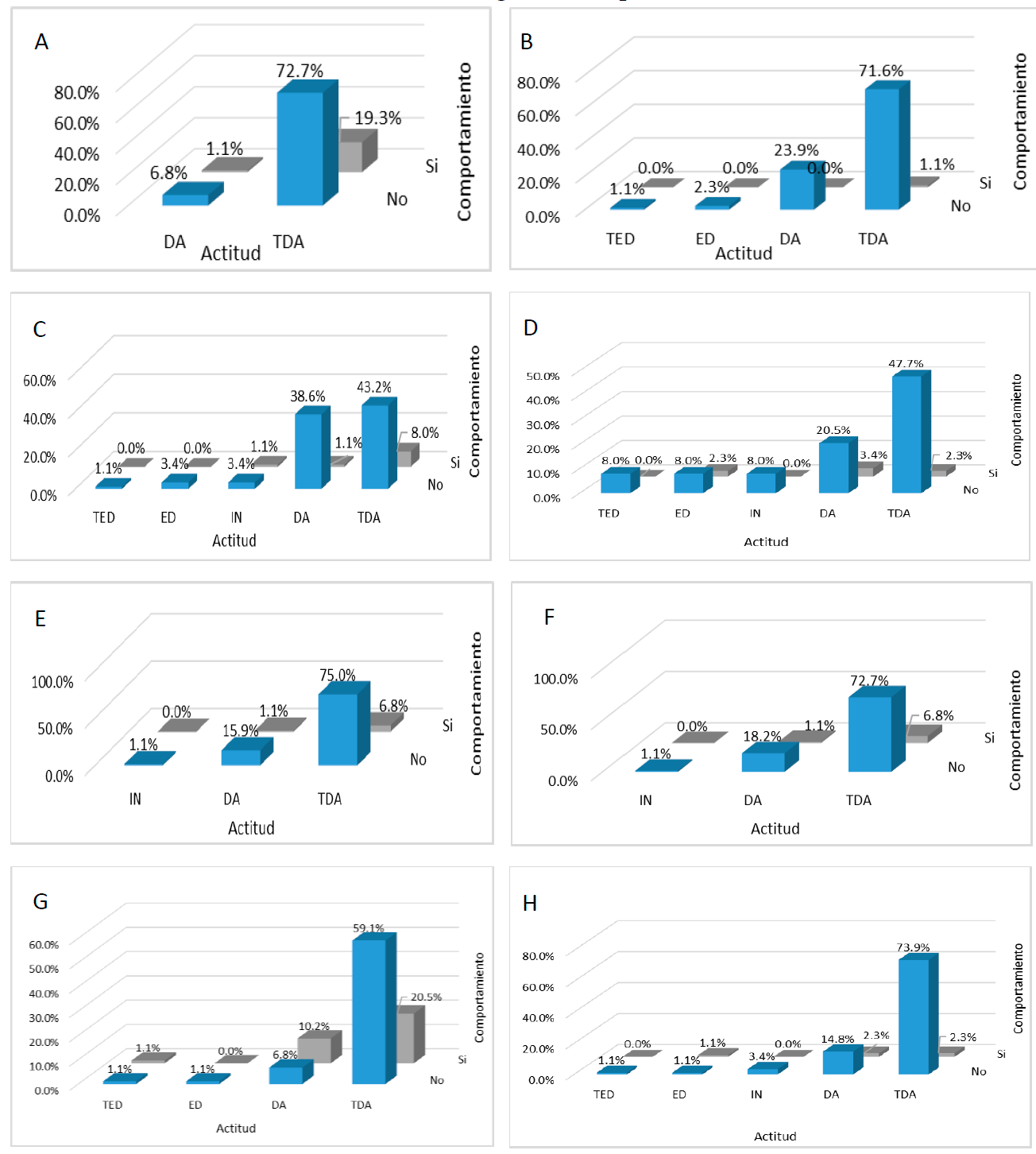
Reforestación. - Presentó disonancia negativa, ya que el 72.73 % de los apicultores expresaron estar “TDA” en realizarla. Para ellos la reforestación de especies melíferas es relevante, sin embargo, solo el 19.33 % realiza esta acción (Figura 6A); los apicultores disonantes se justifican reforzando la idea de la falta de espacios propios para realizarla.

A) Reforestación, B) Recambio con crías de reinas propias, C) Recambio con crías de reinas certificadas, D) Manejo, E) Buenas prácticas de producción y manufactura, F) Mayor número de visitas al apiario, G) Asistencia técnica para alimentación artificial, H) Registro de floraciones para la trashumancia.

Figura 6 Disonancia cognitiva en los apicultores respecto a la actitud y comportamiento en las estrategias de adaptación 

El Recambio de reinas. - Presentó una disonancia negativa, los apicultores están “TDA” (71.59 %) y “DA” (23.86 %) pero solo el 1.14 % realiza esta práctica. No obstante, en esta misma estrategia se observaron apicultores consonantes negativos que, afirmaron estar “ED” (2.27 %) y “TED” (1.14 %) (Figura 6B). Respecto al recambio con reinas propias, esta actividad presentó un estado similar de disonancia entre la actitud “TDA” (43.18 %) y DA (7.95) versus el comportamiento, ya que solo 9.09 % llevan a cabo esta acción. Mientras 4.55 % mantuvo el estado consonante negativo (Figura 6C).

Actividades de manejo. - Aquí se observó que la mayoría de los apicultores que estuvieron “TDA” (47.73 %), “DA” (20.45 %) y los “in” (7.95 %) se encontraron en un estado disonante negativo y solo el 5.68 % a realizado algún cambio en el manejo de sus apiarios. Y en menor porcentaje los consonante negativos en “ED” (7.95 %) y “TED” (7.95 %) (Figura 6D).

BPPPM. - Presentó disonancia negativa entre el porcentaje de apicultores que dijeron estar, “TDA” (75 %), “DA” (15.91 %) e “IN” (1.14 %), versus el 7.96 % que si ha realizado acciones con las BPPPM (Figura 6E).

La alimentación artificial y asistencia técnica.- La alimentación artificial de las abejas por ser un elemento ligado a la capacitación técnica, se contrasto con la disposición en los apicultores de asistir a cursos de capacitación, por lo que el estado cognitivo disonante negativo se presentó en el 65.91 % de los apicultores “TDA” y “DA” versus el comportamiento, ya que solo el 30.68 % dijo llevar acabo esta práctica; mientras que los apicultores consonantes negativos se presentaron en un 2.28 % (Figura 6G).

Bitácora de floración, de trabajo y Trashumancia.- Las trashumancia aunque es el principal tipo de apicultura que se práctica no se concibe como una estrategia de adaptación, per se, sin embargo al contrastar esta actividad con la disposición de realizar bitácoras de floraciones, se observó que el 92.05 % estaría dispuesto a realizar dichos registros e identifican la necesidad e importancia de ello, pero, solo un 4.55 % lo hace (Figura 6H), demostrando un estado de disonancia negativa entre estas dos ideas.

En el Cuadro 2 se observa que la mayoría de los apicultores se encuentra en un estado de disonancia cognitiva negativa, lo que, de acuerdo con la TDC, es un estado cognitivo común, ya pocas cosas son lo suficientemente claras como para que las opiniones y conductas no sean una mezcla de contradicciones 12.

Cuadro 2 Estado cognitivo entre la actitud y comportamiento de las estrategias de adaptación en la apicultura 

Estrategia Disonante
(+)
Consonante
(-)
Consonante
(+)
Disonante
(-)
Total
(%)
Reforestar 1.1 6.8 19.3 72.8 100
Recambio de reinas propias 0 3.3 1.1 95.6 100
Recambio reinas certificadas 0 4.5 10.3 85.2 100
Cambios en labores de manejo 2.3 16 5.7 76.0 100
Asistencia técnica 1 2.2 30.8 66.0 100
Adopción de BPPPM 0 1.1 8.0 90.9 100
Más días de trabajo 0 0 7.9 92.1 100
Registro de floración 1.1 2.2 4.6 92.1 100

Discusión

El análisis del sistema de cogniciones de los apicultores desde la TDC de Festinger, sobre el cambio climático, demostró que la mayoría de los apicultores presentan disonancia cognitiva negativa. Los apicultores perciben los efectos del cambio climático en la apicultura; sin embargo, no poseen una definición precisa del concepto y de las causas del fenómeno, lo que demuestra vacíos de información, así como, ideas erráticas24.

Esta confusión del concepto se atribuye a la información mediática que se recibe25. Por ejemplo, la comunidad científica habla de cambio climático, los noticieros de calentamiento global y la industria petrolera de gases efecto invernadero (GEI); lo que produce una idea heterogénea en el público. Ya que, la correcta valoración subjetiva en la población sobre el fenómeno debería motivar cambios en el comportamiento bajo una responsabilidad personal. Dado que, la comprensión de la influencia humana al cambio climático es un requisito previo para aceptar la necesidad de llevar a cabo acciones de adaptación y mitigación26,27.

En esta investigación la percepción del cambio climático en la apicultura estuvo motivada por las necesidades productivas de los apicultores y en los impactos negativos que en la apicultura se generan6,28. Similar a apicultores y cazadores de miel en África, que perciben los efectos negativos del cambio climático, a través del aumento o descenso de los patrones de temperatura y precipitación, según la temporada del año y de acuerdo con el tipo de apicultura que realizan29. Y como productores de maíz en el norte de EE.UU. quienes, reconocen que alguna forma de cambio climático existe, pero, minimizan la participación de las actividades humanas15.

Al contrastar la actitud y el comportamiento la mayoría presentó un estado de disonancia negativa; a pesar de la disposición positiva de los apicultores (IL: 4.7). La incompatibilidad simultánea entre esas dos cogniciones generó argumentos dirigidos a reducir el estado disonante13. Los individuos no incorporan los efectos y orígenes del cambio climático12 y de forma consciente delegan la responsabilidad y solución a otros ciudadanos o grupos, incluyendo autoridades, especialistas o instituciones de gobierno30.

Lo anterior demuestra que, el cambio climático se percibe y reconoce de cierta forma26 pero, solo cuando la problemática impacta de forma económica, es que, por sentido común, se incorpora al sistema de cogniciones como prioridad25.

Por lo anterior la presencia de disonancia se genera cuando, el apicultor no es capaz de llevar a cabo las acciones que dice estaría dispuesto a realizar para mantener su medio de vida. Relativizando la problemática para reducir el estrés generado ante la incongruencia en el sistema cognoscitivo13. Lo que podría causar efectos negativos potenciales en la apicultura como: una baja rentabilidad, pobreza y el abandono de la actividad7, ya que asumen que “contra el clima nada puede hacerse”.

Por ello se requiere integrar un programa de capacitación dirigido a informar y explicar la naturaleza del cambio climático y sus impactos; de ubicar al apicultor dentro de este contexto, donde pueda adoptar elementos que le permitan una percepción clara, que promueva una actitud positiva y motive sus acciones. En tal sentido, se requiere diseñar programas no solo de capacitación formal, si no de información y divulgación que, por los medios de comunicación masiva, puedan llegar a la población.

Conclusiones e implicaciones

El estudio demuestra que el fenómeno del cambio climático es perceptible en los apicultores como el principal problema de la actividad, no obstante, las causas y efectos del fenómeno no se relacionan a otros aspectos en su vida cotidiana. A pesar de tener una actitud positiva hacia las estrategias de adaptación, éstas en general no se llevan a cabo, por lo que la disonancia cognitiva presente entre la actitud y el comportamiento se reduce a través de argumentos racionales que les permiten justificar la incongruencia entre lo que quieren hacer y lo que realmente hacen. Para finalizar se recomienda incluir las necesidades de los apicultores y considerar el sistema de creencias que pueden influir en la adopción de estrategias de adaptación. Lo que hace necesario involucrar otras variables sociales, económicas y tecnológicas que pudieran influir en el estado de disonancia cognitiva presente.

Literatura citada

1. Ocampo O. El cambio climático y su impacto en el agro. Rev Ing 2011(33):115-123. https://www.redalyc.org/articulo.oa?id=121022658012 . Consultado: Jul 20, 2018. [ Links ]

2. Vergara W, Rios A, Trapido P, Malarín H. Agricultura y Clima Futuro en América Latina y el Caribe: Impactos sistémicos y posibles respuestas. Washington, D.C.: Banco Interamericano de Desarrollo. 2014:24. [ Links ]

3. Huerta G. La apicultura en el desarrollo. 2008:25-27. [ Links ]

4. FAOSTAT. Datos sobre alimentación y agricultura. Ganadería primaria/producción. FAO. 2019. http://www.fao.org/faostat/es/#data/QL . Consultado Feb 17, 2017. [ Links ]

5. Delgado DI, Eglee PM, Galindo-Cardona A, Giray T. Forecasting the influence of climate change on agroecosystem services: Potential impacts on honey yields in a small-island developing state. https://doi.org/10.1155/2012/951215 Psyche 2012:1-10. Accessed: Ago 14, 2018. [ Links ]

6. Smith WJ, Liu Z, Safi AS, Chief K. Climate change perception, observation and policy support in rural Nevada: A comparative analysis of Native Americans, non-native ranchers and farmers and mainstream America. Environ Sci Policy 2014;42:101-122. http://www.sciencedirect.com/science/article/pii/S1462901114000641 . Accessed: Jul 17, 2018. [ Links ]

7. Castellanos-Potenciano B, Gallardo-López F, Díaz-Padilla G, Pérez-Vázquez A, Landeros-Sánchez C. Spatio-temporal mobility of apiculture affected by the climate change in the beekeeping of the Gulf of Mexico. Appl Ecol Environ Res 2017;15(4):163-175. http://www.aloki.hu/indvol15_4.htm. [ Links ]

8. Castellanos-Potenciano BP, Gallardo-López F, Díaz-Padilla G, Pérez-Vázquez A, Landeros-Sánchez C, Sol-Sánchez A. Apiculture in the humid tropics: Socio-economic stratification and beekeeper production technology along the Gulf of Mexico. Glob Sci Res J 2015;3(9):321-329. Accessed: Sep 10, 2018. [ Links ]

9. Lehébel-Péron A, Sidawy P, Dounias E, Schatz B. Attuning local and scientific knowledge in the context of global change: The case of heather honey production in southern France. J Rur Stu 2016; 44:132-142. [ Links ]

10. Tam J, McDaniels TL. Understanding individual risk perceptions and preferences for climate change adaptations in biological conservation. Environ Sci Pol 2013; 27:114-123. http://www.sciencedirect.com/science/article/pii/S1462901112002328. [ Links ]

11. Festinger L. A theory of cognitive dissonance. Stanford, California: Stanford University Press; 2017. [ Links ]

12. Oltra C, Sola R, Sala R, Prades A, Gamero N. Cambio climático: Percepciones y discursos públicos. Cambio climático: Percepciones y discursos públicos. Barcelona: Centro de Investigación Sociotécnica-CIEMAT; 2009:1-23. [ Links ]

13. Ramoa-Meza J. Acciones para reducir la disonancia cognitiva en el personal civil de la Escuela de Formación de Guardias Nacionales (Esguarnac). Rev Mun FESC 2018;7(14):31-41. http://www.fesc.edu.co/Revistas/OJS/index.php/mundofesc/article/view/139/187 . Consultado: Jun 8, 2018 [ Links ]

14. Ayal DY, Leal Filho W. Farmers' perceptions of climate variability and its adverse impacts on crop and livestock production in Ethiopia. J Ar Environ 2017;140:20-28. http://www.sciencedirect.com/science/article/pii/S0140196317300071. [ Links ]

15. Mase AS, Cho H, Prokopy LS. Enhancing the Social Amplification of Risk Framework (SARF) by exploring trust, the availability heuristic, and agricultural advisors' belief in climate change. J Environ Psycho 2015; 41:166-176. http://www.sciencedirect.com/science/article/pii/S027249441500002X. [ Links ]

16. Magrin G. Adaptación al cambio climático en América Latina y el Caribe In: (CEPAL) CEpALyeC editor. Adaptación al cambio climático en América Latina y el Caribe Impreso en Naciones Unidas, Santiago de Chile 2015:80. [ Links ]

17. SIAP. Anuario Estadístico de la Producción Ganadera. Anuario Estadístico de la Producción Ganadera. 2017. [ Links ]

18. Ovejero A. La teoría de la disonancia cognoscitiva. Psicothema 1993;5(1):201-206. https://www.redalyc.org/articulo.oa?id=72705116 . Consultado: Nov 14, 2017. [ Links ]

19. Scheaffer R, William M, Lyman O. Elementos del muestreo. 6ta ed.; Madrid, España: Paraninfo; 2006. [ Links ]

20. Kaefer F, Roper J, Sinha PA. Software-assisted qualitative content analysis of news articles: Example and reflections. Forum: Qualitative Social Res 2015;16(2). [ Links ]

21. Cisneros SP. Percepción, actitud y comportamiento de productores ganaderos y otros actores sociales hacia la sustentabilidad de la ganadería bovina [Tesis doctorado]. Veracruz, México: Colegio de Postgraduados; 2015. [ Links ]

22. CONAGUA. Resumen del huracán Karl. In: CONAGUA editor. Resumen del huracán Karl. 2010. [ Links ]

23. De Araujo FC, Quezada EJJ. Las abejas reinas en los sistemas apícolas. Bioagrociencias 2011;4(2):28-31. [ Links ]

24. Ukamaka DM, Eberechukwu NL. Indigenous climate change adaptation strategies used by honey producers in rural communities of Enugu State, Nigeria. J Agri Exten 2018;22(2):180-192. [ Links ]

25. González GEJ. La representación social del cambio climático: una revisión internacional. Rev Mex Inv Educ 2012; 17:1035-1062. [ Links ]

26. McClelland JC. Reconstructing student conceptions of climate change; An inquiry approach [Thesis or Dissertation]. Minnesota, USA: University of Minnesota 2015. [ Links ]

27.Sander van der L. Determinants and measurement of climate change risk perception, worry, and concern. In: Nisbet MC, et al editors. The Oxford encyclopedia of climate change communication. Oxford, UK: Oxford University Press; 2017:1-58. [ Links ]

28. Hegland SJ, Nielsen A, Lázaro A, Bjerknes AL, Totland O. How does climate warming affect plant-pollinator interactions? Ecol Lett 2009;12(2):184-195. https://doi.org/10.1111/j.1461-0248.2008.01269.x. [ Links ]

29. Paraïso A, Sossou A, Iz-Haquou D, Nérice RAS. Perceptions and adaptations of beekeepers and honey hunters to climate change: The case of the communes of Natitingou and Tanguieta in northwest of Benin. Afri Crop Sci J 2012;20:523-532. [ Links ]

30. Peláez GM, Bravo DB, Gutiérrez-Yurrita J. Percepción ciudadana de la institucionalización de la política mexicana de cambio climático. Rev Aran de Der Amb 2015;30. [ Links ]

Recibido: 08 de Enero de 2019; Aprobado: 27 de Noviembre de 2019

*Autor de correspondencia: castellanos.blanca@inifap.gob.mx

Creative Commons License Este es un artículo publicado en acceso abierto bajo una licencia Creative Commons