Introducción
La S. pruriens (mucuna negra) es nativa de las Indias Occidentales y está adaptada a climas tropicales y subtropicales (Cruz et al., 2011). Se caracteriza por ser una leguminosa anual, con ramas trepadoras y de hábito bajo. Su crecimiento es indeterminado, con un ciclo de vida que dura más de 150 días (Ambrosano et al., 2016; Angeletti et al., 2016). El desarrollo de la especie tiene una fisiología diferencial que proporciona una rápida superposición de la vegetación, lo que dificulta el crecimiento y el rendimiento de otras formas de plantas (Ramos et al., 2018). La mucuna negra se utiliza comúnmente como estiércol verde, en la recuperación de áreas degradadas, con un desempeño activo en los procesos de rotación de cultivos y la descompactación del suelo. También tiene un efecto directo sobre los niveles de nitrógeno a través de la fijación biológica, suprimiendo algunas especies de nematodos, también actúa como controlador de maleza, funcionando en sistemas de producción de granos sin siembra directa (Castro et al., 2011; Ragassi y Melo, 2017).
La especie está clasificada en la familia Fabaceae, una de las familias más grandes de Angiospermas con más de 650 géneros (Mello et al., 2015), incluyendo especies que estimulan la mineralización de algunos herbicidas con efectos fitorremediadores. La Stizolobium pruriens es eficiente en los procesos de descontaminación, mostrando cierta tolerancia a los herbicidas (Silva et al., 2012). Extendida en las zonas del Cerrado, debido a la disponibilidad de semillas, S. pruriens está bien adaptada al déficit de agua, soportando altas temperaturas, sin restricción de fotoperiodo (Teodoro et al., 2015). Sin embargo, incluso con todo su potencial, todavía se enfrentan dificultades debido a la baja y desigual germinación de las semillas (Oliveira et al., 2017).
Muchas especies de plantas con semillas viables no absorben suficiente agua para germinar, incluso en condiciones favorables debido a la dureza e impermeabilidad del tegumento (Ramos et al., 2019). Existen varios tratamientos disponibles para superar este tipo de dormancia de semillas, como la inmersión en ácidos, agua caliente o fría, alcohol, eliminación de la carúncula, escarificación mecánica, entre otros. El conjunto de tratamientos que producirán una mayor eficiencia en la germinación dependerá de las particularidades de cada especie (Oliveira et al., 2017; Pereira et al., 2020).
El uso de ultrasonidos de baja frecuencia en un ambiente líquido tiene un alto potencial para estimular la germinación, ya que contribuye a la imbibición de agua por parte de las semillas (Gordon, 1963; Yaldagard et al., 2008; Venâncio et al., 2016) y promueve el desarrollo del tejido vivo (Venâncio y Martins, 2019). Este trabajo tiene como objetivo estudiar el comportamiento de las semillas de S. pruriens en relación con el índice de velocidad de germinación y la aparición de plántulas. Por lo tanto, el ultrasonido de baja frecuencia se asocia con métodos clásicos de ruptura de la dormancia (escarificación térmica húmeda y escarificación mecánica manual).
Materiales y métodos
El experimento se llevó a cabo en el Laboratorio de Cultivo de Tejidos Vegetales de la UNESP campus de Ilha Solteira, São Paulo, Brasil, bajo condiciones controladas. Las semillas de S. pruriens utilizadas son de la cosecha de 2017 bajo cultivo de campo, de esas 94% son puras y 82% son viables, valores informados por la empresa productora de semillas.
Para evitar la contaminación, las semillas se desinfectaron sumergiéndolas durante 1 minuto en una solución de agua al 50% de Lysoform® (0.45% de cloruro de cocobencil alquil dimetil amonio / cloruro de didecil dimetil amonio); después se lavaron con agua destilada.
Las semillas fueron pretratratadas, antes de aplicar el ultrasonido, de la siguiente manera: 1) escarificación térmica húmeda, remojo en agua caliente hasta alcanzar los 60 °C, escurrido, y enfriado a temperatura ambiente durante 24 horas; 2) escarificación mecánica manual, que consiste en lijar las semillas con papel de lija de 150 mm; 3) y semillas no escarificadas (testigo) y en cada método, se utilizaron diez semillas.
Después del proceso llevado a cabo con los tres métodos de escarificación (pretratado), las semillas fueron expuestas al tratamiento de ultrasonido (aplicación de ondas sonoras a través de sonda ultrasónica con frecuencia de 3 mHz, 120 voltios ~ 50/60 Hz) durante diferentes períodos de tiempo (0, 1, 2, 3, 5 y 8 min). Para la exposición al ultrasonido, se colocaron 10 semillas (repeticiones) en un recipiente de vidrio de 50 ml con 20 ml de agua destilada, donde se introdujo la sonda ultrasónica, y los tratamientos (Cuadro 1).
Cuadro 1 Descripción de los tratamientos cubiertos en el estudio.
| Tratamientos | Descripciones |
|---|---|
| WS | Testigo (semillas sin escarificación y sin exposición al ultrasonido) |
| TS | Escarificación térmica húmeda y sin exposición al ultrasonido |
| MS | Escarificación mecánica manual con papel de lija y sin exposición al ultrasonido |
| WSU1 | WS + 1 minuto de exposición al ultrasonido |
| WSU2 | WS + 2 minutos de exposición al ultrasonido |
| WSU3 | WS + 3 minutos de exposición al ultrasonido |
| WSU5 | WS + 5 minutos de exposición al ultrasonido |
| WSU3 | WS + 8 minutos de exposición al ultrasonido |
| TSU1 | TS + 1 minuto de exposición al ultrasonido |
| TSU2 | TS + 2 minutos de exposición al ultrasonido |
| TSU3 | TS + 3 minutos de exposición al ultrasonido |
| TSU5 | TS + 5 minutos de exposición al ultrasonido |
| TSU8 | TS + 8 minutos de exposición al ultrasonido |
| MSU1 | MS + 1 minuto de exposición al ultrasonido |
| MSU2 | MS + 2 minutos de exposición al ultrasonido |
| MSU3 | MS + 3 minutos de exposición al ultrasonido |
| MSU5 | MS + 5 minutos de exposición al ultrasonido |
| MSU8 | MS + 8 minutos de exposición al ultrasonido |
Las semillas tratadas se introdujeron en recipientes con agua y 20 g L-1 de Phytagel, en una cabina de flujo laminar horizontal y se colocaron en una cuarto de crecimiento, con una temperatura constante de 22 ºC y 18 h de fotoperiodo. La germinación (G, %) se evaluó diariamente, durante 15 días, para obtener un tiempo promedio de germinación (AGT) en la ecuación 1, índice de velocidad de emergencia (ESI) en la ecuación 2 (Maguire, 1962) y vigor de germinación (GV).
Cuadro 2 Descripción de las fases observadas en el estudio.
| Rango | Descripciones |
|---|---|
| 0 | No germinó |
| 1 | Ruptura del integumento |
| 2 | Alargamiento de la radícula |
| 3 | Diferenciación de la radícula, cuello e hipocótilo |
| 4 | Desprendimiento de cotiledones de la cubierta de semillas, e inicio de apertura |
| 5 | Apertura de cotiledones y aparición de la yema apical |
| 6 | Epicótilo y primer par de hojas abiertas |

Figura 1 Calificaciones respecto a las fases de vigor de germinación. Adaptado de Abud et al. (2009).
Se utilizó un diseño completamente aleatorio, en un esquema factorial de 3 x 6 (sin escarificación -WS, escarificación térmica húmeda -TS, escarificación mecánica con papel de lija -MS) y seis períodos de tiempo de incidencia del ultrasonido (0, 1, 2, 3, 5 y 8 min), produciendo 18 tratamientos con 5 repeticiones cada uno. Los análisis estadísticos se realizaron utilizando el software SISVAR. En el análisis estadístico, la hipótesis de normalidad se probó inicialmente mediante la prueba de Shapiro-Wilk, tras el cual se realizó un análisis de varianza (Anova) mediante la prueba de F al 5% de probabilidad para detectar diferencias entre factores e interacciones.
El efecto del factor de la escarificación fue descompuesto para verificar el efecto del factor de tiempo del ultrasonido por separado para cada método. En presencia de diferencias significativas, se utilizó la prueba de Tukey (p< 0.05) para comparar los métodos y la regresión de los tiempos de ultrasonido. El modelo de regresión fue verificado por medio del p-valor de la desviación de regresión. Los modelos de regresión polinómica con los coeficientes de determinación altos (R2) fueron seleccionados entre las regresiones significativas mediante la prueba F.
Resultados y discusión
La germinación de la semilla difirió (p< 0.05) entre los métodos utilizados para romper la dormancia (Cuadro 3), lo que indica que el calentamiento de la semilla es mejor que la escarificación mecánica, pero ambos no difieren del testigo sin escarificación. Los tiempos de ultrasonido solos y su interacción con los métodos de ruptura de la dormancia no mostraron efectos significativos (p< 0.05) en la germinación de las semillas (Cuadro 3).
Cuadro 3 Análisis de varianza para la germinación (G %), tiempo promedio de germinación (AGT), índice de velocidad de emergencia (ESI) y vigor de germinación (GV).
| Fuente de variación | G | AGT | ESI | GV | |||||||
|---|---|---|---|---|---|---|---|---|---|---|---|
| MSq1 | p-valor | MSq | p-valor | MSq1 | p-valor | MSq | p-valor | ||||
| Métodos (M) | 4.44 | 0.012* | 4.39 | 0.01* | 4.55 | 0.139ns | 16.1 | 0.004** | |||
| Ultrasonido (U) | 1.81 | 0.104ns | 0.4 | 0.812ns | 6.33 | 0.022* | 36.42 | 0** | |||
| M x U | 0.84 | 0.552ns | 1.81 | 0.046* | 4.23 | 0.062ns | 32.84 | 0** | |||
| CV (%) | 56 | 54 | 1 | 6 | |||||||
| Promedio general | 0.55 | 1.78 | 1.01 | 2.88 | |||||||
| Métodos | Promedio | ||||||||||
| WS | 0.51 ab | 1.413 ab | 1.014 | 2.873 ab | |||||||
| MS | 0.68 a | 1.75 a | 1.018 | 3.08 a | |||||||
| TS | 0.45 b | 2.176 b | 1.01 | 2.702 b | |||||||
| Tiempo de ultrasonido (min) | |||||||||||
| 0 | 0.49 | 2.073 | 1.011 | 2.773 | |||||||
| 1 | 0.609 | 1.733 | 1.019 | 2.706 | |||||||
| 2 | 0.706 | 1.746 | 1.018 | 3.035 | |||||||
| 3 | 0.615 | 1.566 | 1.023 | 3.444 | |||||||
| 5 | 0.423 | 1.806 | 1.014 | 3.088 | |||||||
| 8 | 0.458 | 1.753 | 1.004 | 2.262 | |||||||
| Regresión | MSq | p-valor | MSq | p-valor | |||||||
| Lineal | - | - | 0.124 | 0.059ns | 24.625 | 0.003** | |||||
| Cuadrática | - | - | 0.212 | 0.014* | 128.981 | 0** | |||||
| Cúbica | - | - | 0.006 | 0.665ns | 2.083 | 0.392ns | |||||
| Desviación | - | - | 0.116 | 0.068ns | 13.205 | 0.01* | |||||
**, *, ns= significativo al 1%, 5% y no significativo. Mediante la prueba F. Promedios seguidos de la misma letra en cada columna no difieren según la prueba de Tukey en p< 0.05.
El tiempo medio de germinación mostró diferencias significativas (p< 0.05) para los métodos de escarificación y para la interacción entre ambos factores (Cuadro 3). El principal efecto relacionado con los métodos de escarificación no fue considerado, ya que los efectos de interacción permitieron las mejores respuestas. AGT mostró diferencias significativas para los métodos y la interacción. La variable índice de velocidad de emergencia no mostró diferencias significativas (p< 0.05) para los métodos de ruptura de la dormancia (WS, TS y MS) y la interacción. Por lo tanto, no hay necesidad de escarificar manualmente o calentar la semilla para este propósito. Sin embargo, la exposición ultrasónica tuvo efectos significativos (p< 0.05) (Cuadro 3) sobre esta variable, sin interacción significativa con el otro factor.
Se esperaba que el tratamiento TS acelerara el proceso de germinación, ya que su principio es suavizar los tejidos de la cubierta favoreciendo la absorción de agua y el intercambio de gases, acelerando las reacciones fisiológicas de las semillas relacionadas con la germinación (Câmara et al., 2015). Sin embargo, esto no sucedió con las semillas de S. pruriens, las cuales fueron indiferentes a los métodos de escarificación utilizados. Para los tiempos de ultrasonido, los niveles de significancia (p-valor) de las ecuaciones y la desviación de la regresión (Cuadro 3) muestran significancia para el modelo cuadrático, con p-valor de 0.014 (p< 0.05), explicando 86% del comportamiento de los datos (Cuadro 3 y Figura 2), el punto máximo para este modelo de regresión se estimó en 3.14 min de exposición al ultrasonido.

Figura 2 Regresión cuadrática para los tiempos de incidencia del ultrasonido independientemente del método de escarificación de semillas.
La variable ESI tiene significancia estadística (p< 0. 05) para los tiempos de ultrasonido (Cuadro 3). En el modelo de regresión cuadrática se encontró diferencia significativa, con un p-valor de 0.014 (p< 0.05), explicando 86% de los datos. El punto máximo para este modelo de regresión se estimó en 3.14 min de exposición al ultrasonido (Cuadro 3 y Figura 2). Para otros modelos, la ESI no fue significativa (p< 0. 05).
El vigor de germinación de las semillas mostró diferencias significativas (p< 0.05) para los métodos de escarificación, los tiempos de ultrasonido y su interacción (Cuadro 3). Así, aunque los resultados de los efectos principales de los factores individuales fueron significativos, el análisis de la interacción permitió una mejor evaluación de los efectos de estos factores sobre el vigor de la germinación. El menor vigor se obtuvo con el TS, cuando se compararon los tratamientos WS y MS (Cuadro 4).
Cuadro 4 Valores medios del tiempo medio de germinación para diferentes tiempos de exposición al ultrasonido y métodos de escarificación de semillas.
| Tiempos de ultrasonido, tiempos de los métodos de escarificación (min) |
Testigo (Sin escarificación) * |
Escarificación mecánica ns |
Escarificación térmica ns |
||
|---|---|---|---|---|---|
| 0* | 2.72 b | 1.24 a | 2.26 ab | ||
| 1ns | 2.28 a | 2.72 a | 2.92 a | ||
| 2ns | 1.32 b | 3.693 a | 2.8 b | ||
| 3ns | 1.48 a | 3.92 a | 2.626 b | ||
| 5** | 0.78 a | 1.62 ab | 3.02 b | ||
| 8ns | 1.92 a | 2.666 a | 1.506 b | ||
| Regresión | MSq | p-valor | |||
| Lineal | 2.502 | 0.101 ns | - | - | |
| Cuadrática | 8.667 | 0.003 ** | - | - | |
| Cúbica | 0.143 | 0.693 ns | - | - | |
| Desviación | 0.466 | 0.601 ns | - | - | |
**, *, ns= significativo en 1%, 5% y no significativo. Por prueba F. Los promedios seguidos de la misma letra en las líneas no difieren según la prueba de Tukey en 5%.
Para el tiempo medio de germinación (AGT) se encontró una diferencia entre el tiempo de incidencia del ultrasonido (p< 0.05) sólo en los tratamientos sin escarificación. La desviación de la regresión no fue significativa (p> 0.05) y los datos se ajustaron sólo en el modelo de regresión cuadrática (p< 0.05), con un coeficiente de determinación muy elevado de 91%. Este resultado sugiere un excelente ajuste en el modelo.
El punto AGT mínimo se presentó en el tiempo de exposición de 4.68 minutos; después de ese tiempo hubo un incremento en el tiempo medio de germinación. El tiempo de incidencia del ultrasonido mostró una diferencia significativa (p< 0.05) en todos los métodos aplicados para el vigor de germinación (GV), pero este comportamiento varió dentro de cada método (Cuadro 5). En ausencia de escarificación, la desviación de la regresión fue significativa (p< 0.05), por lo que el ajuste de cualquier modelo debe ser aceptado con restricción.
Cuadro 5 Promedios de la variable vigor de germinación en la interacción de los tiempos de ultrasonido y los métodos de ruptura de la dormancia.
| Tiempos de ultrasonido (minutos) | Métodos para romper la dormancia | |||||
|---|---|---|---|---|---|---|
| WS** | MS** | TS** | ||||
| 0** | 2.4 b | 2.093 b | 3.826 a | |||
| 1ns | 2.48 a | 2.72 a | 2.92 a | |||
| 2** | 2.613 b | 3.693 a | 2.8 b | |||
| 3** | 3.786 a | 3.92 a | 2.626 b | |||
| 5** | 3.346 a | 3.386 a | 2.533 b | |||
| 8** | 2.613 a | 2.666 a | 1.506 b | |||
| Regresión | MSq | p-valor | MSq | p-valor | MSq | p-valor |
| Lineal | 7.82 | 0.097ns | 4.557 | 0.206ns | 182.96 | 0** |
| Cuadrática | 70.841 | 0** | 152.42 | 0** | 1.192 | 0.517ns |
| Cúbica | 3.524 | 0.266ns | 16.496 | 0.016* | 21.941 | 0.006** |
| Desviación | 17.863 | 0.002** | 5.125 | 0.165ns | 1.385 | 0.614ns |
**, *, ns= significativo al 1%, 5% y no significativo. Mediante la prueba F. Promedios seguidos de la misma letra en las líneas no difieren según la prueba de Tukey en 5%.
En ausencia de escarificación, el modelo de regresión cuadrática fue el que mejor se ajustó a los datos (p< 0.05), con un coeficiente de determinación alto, pero presentó una desviación de regresión significativa. Este resultado sugiere que más estudios serían necesarios para determinar el modelo de regresión (lineal o no lineal), para esta variable es necesario buscar otro modelo que explique este fenómeno. En el tratamiento WS, el punto GV máximo se presentó en el tiempo de exposición de 4.44 minutos, después de ese tiempo no hubo aumento en el vigor de germinación.
Para el método WS, la desviación de la regresión no fue significativa (p> 0.5) y el modelo de regresión cuadrática fue el mejor se ajustado a los datos (p< 0.05), con un R² de de 85%. En este caso, el punto máximo de vigor de germinación se produjo a 4.25 min de exposición de las semillas al ultrasonido. Para ambos (WS y MS), el tiempo de exposición de 5 y 8 min causó una disminución de GV. En el método TS, la exposición al ultrasonido no fue benéfica para GV, obteniendo valores decrecientes a medida que aumentaba el tiempo de exposición (Cuadro 5 y Figura 3).

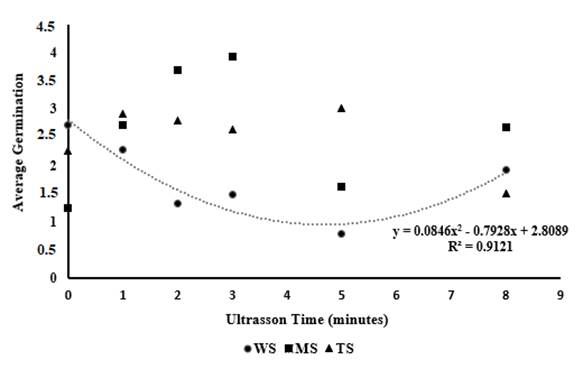
Figura 3 Germinación media de S. pruriens sometida a diferentes métodos de escarificación (sin escarificación (WS), escarificación mecánica (MS) y escarificación térmica (TS)) asociada a diferente exposición al ultrasonido.
En cuanto a la variable vigor de germinación, teniendo en cuenta el efecto de los métodos al utilizar el ultrasonido, el MS tuvo mejores resultados que el TS (Cuadro 5), y no se encontraron diferencias significativas entre el WS y el MS para los tiempos de ultrasonido aplicados, excepto para 2 minutos cuando el MS tuvo mayor vigor. En todos los tiempos de incidencia del ultrasonido hubo diferencias entre los métodos estudiados, a excepción de 1 min. Sin embargo, el WS + 4.5 minutos de exposición al ultrasonido tiene una ventaja, una operación menos (sin escarificación) y el máximo vigor, lo que es muy importante si se considera el uso del método como uno comercial (Figura 4).

Figura 4 Vigor de germinación de semillas de S. pruriens sometidas a los diferentes métodos de escarificación (sin escarificación (WS), escarificación mecánica (MS) y escarificación térmica (TS)) asociados a diferentes tiempos de exposición al ultrasonido.
El uso de ultrasonido, hasta cierto tiempo, puede ser prometedor para homogeneizar, acelerar y garantizar el vigor en el proceso de germinación. Los mejores tiempos de incidencia del ultrasonido calculados por las ecuaciones de regresión fueron 3 (ESI), 4 (GV) y 5 (ATG) minutos (Figuras 2, 3 y 4). Después de 3 min hay una disminución en el ESI de las semillas de S. pruriens y la incidencia del ultrasonido durante más de 3 min causó, probablemente, un efecto perjudicial sobre las semillas. Con la incidencia del ultrasonido de 3 min, se obtuvo 87% de germinación, mientras que el tratamiento testigo mostró una eficiencia de 80%, la tasa de germinación reportada por la empresa productora de las semillas utilizadas fue 82%.
Este efecto era esperado, ya que se sabe que el ultrasonido proporciona energía vibracional, la que puede tener un efecto positivo o negativo en los tejidos vivos dependiendo de la forma que se aplique, la intensidad, la distancia de aplicación, la frecuencia y el tiempo de exposición (Hebling et al., 1995). Este efecto combinado con la escarificación térmica húmeda promovió un efecto dañino en la semilla, independientemente del tiempo de exposición.
En general, los métodos de ruptura de la dormancia muestran un buen aumento en la germinación de S. pruriens (Wutke et al., 1995; Fortes et al., 2010; Oliveira et al., 2017). Sin embargo, en este estudio, la germinación no tuvo diferencia significativa (p< 0.05), sólo el vigor fue influenciado por los métodos de escarificación. Los procesos de escarificación mecánica no fueron prometedores en relación con la ausencia de escarificación, el WS y el MS no produjeron efectos significativos sobre la germinación (Cuadro 3). Para el vigor, cuando las semillas fueron expuestas al ultrasonido (Cuadro 5), no hubo diferencia significativa entre los tratamientos para romper la dormancia, a excepción de 2 minutos de exposición, cuando el MS tuvo resultados superiores.
Por lo tanto, el WS es más simple que el WS y el TS, los cuales son operativamente más caros (requieren mucho tiempo; energía y mano de obra), siendo viables sólo para pequeñas cantidades de semillas, alrededor de 1 a 10 kg (Bianchetti et al., 1997), lo que los hace imposibles de usar en grandes áreas. Además, en los métodos de MS y TS, se debe tener cierto cuidado con respecto a la intensidad, el tiempo y la forma de aplicación, para evitar daños que reduzcan el vigor, causando anormalidad de las plántulas, mortalidad de semillas o sirviendo como punto de entrada para infecciones por hongos y bacterias (Franke y Baseggio, 1998).
Conclusiones
La escarificación térmica húmeda asociada con el uso de ultrasonido no es adecuada para semillas de mucuna negra, poniendo en riesgo el vigor de germinación. El uso de ultrasonido tuvo efectos positivos para el índice de velocidad de emergencia y el vigor de germinación de semillas de mucuna negra. Sin considerar el método de preparación de semillas (WS, MS o TS), el índice de velocidad de emergencia se puede mejorar mediante la aplicación de ultrasonido durante 3.14 min. Los mejores resultados para el vigor de germinación de semillas de mucuna se observaron al aplicar ultrasonido durante 4.5 min, sin tratamientos de escarificación. Una ventaja es que hay una operación menos.










texto en 


