El constante crecimiento de la sociedad actual genera una creciente demanda por alimentos y recursos naturales, que de acuerdo con Rittmann et al. (2011); Dabhi et al. (2013), deberán aumentar al doble para permitir este desarrollo. La agricultura, base de la alimentación, los recursos más demandados son agua, suelo y fertilizantes, en la actualidad se encuentran en escasez y con disminución considerable ejerciendo presión sobre la seguridad alimentaria. La hidroponía cambió el uso de suelo por sustrato con riego puntual para obtener mayor rendimiento y control del cultivo. Existe una gran cantidad de sustratos hidropónicos con los cuales se busca mantener e incrementar la producción. Una alternativa es el uso del hidrogel acrilato de potasio para usarse como sustrato en hidroponía.
El hidrogel es un polímero súper absorbente de agua y otras disoluciones acuosas. Se ha propuesto su utilización desde hace 40 años para la agricultura por su capacidad de incrementar el agua disponible y su propiedad de absorción al incorporarse en suelo o sustrato (Montesano et al., 2015).
Algunos estudios muestran que los hidrogeles reducen la erosión del suelo, disminuyen la pérdida de nutrientes y tienen la capacidad de liberarlos gradualmente, permitiendo que las plantas dispongan de una reserva de nutrientes y agua, de acuerdo con la función de los ciclos de absorción-liberación. Los hidrogeles tradicionales derivados de acrilato no son biodegradables. Según la patente ES2711655A1 el acrilato de potasio es adecuado para la agricultura, horticultura y el cuidado del suelo, el hidrogel permite espaciar las frecuencias de riego, liberando el agua a medida que el suelo o sustrato se seca alrededor del polímero, permitiendo reducir el consumo de agua en la agricultura.
El objetivo de este trabajo fue caracterizar la porosidad, la absorción de agua y nutrientes del acrilato de potasio y evaluar una mezcla de acrilato de potasio con fibra de coco en la productividad de jitomate y pepino, en condiciones de invernadero.
El experimento se realizó en primera fase con la caracterización física del acrilato de potasio y la mezcla con fibra de coco, después se establecieron los cultivos en la mezcla de sustrato en un invernadero de 108 m2. Caracterización de las propiedades físicas del acrilato de potasio.
El acrilato de potasio se obtuvo del Distribuidor en Hacienda de la Peña, Querétaro, todas las soluciones fueron preparadas utilizando agua de pozo con Nitrógeno (2.1 ppm), Potasio (25.4 ppm), Calcio (26 ppm) y azufre (35.5 ppm). Se utilizaron tres tratamientos de 100% (1), 200% (2) Tipanta y Calvache, 2008) y 500% (3), por triplicado. La evaluación se realizó en un tiempo total de 3 h con muestreos cada 30 min. Los resultados se analizaron estadísticamente con Anova y Tukey α= 0.05, con MINITAB 2017.
La porosidad se determinó con densidad aparente (Da) y densidad real (Dr) (Teres et al., 1996), por la ecuación (Rodríguez Macías et al., 2010):
Dónde: Pt (%)= porcentaje de porosidad; Da= densidad aparente (g cm-3); Dr= densidad real (g cm-3).
La capacidad de retención de agua del acrilato de potasio se calculó con la masa inicial del acrilato (Wx) y la masa del acrilato en el tiempo después de ser secada a 30 °C (Wh), es el agua absorbida con relación a la masa, utilizando la siguiente ecuación (Vallejo et al., 2005):
Donde: Q(t)= capacidad de retención de agua; Wh= peso húmedo del acrilato de potasio en el tiempo de muestreo (g); Wx= peso seco de acrilato de potasio (g).
Absorción de nitrógeno(N) por el acrilato de potasio. Se determinó la absorción de nitratos (NO3) y fosfatos (PO4) con el equipo Hanna MultiRangePhotometer HI 83203-02. Se utilizó el fertilizante líquido orgánico Benefit Pz (Valagro), el cual se analizó como control y se añadió la cantidad a los tratamientos en porcentaje para su análisis. Determinación de la proporción adecuada de mezcla de acrilato de potasio y fibra de coco.
Se tuvieron dos controles de cada sustrato al 100% de fibra de coco (C1) y de acrilato de potasio (C2); los tratamientos fueron: tratamiento 1 (TA1) l 75 % de AP y 25% FC, tratamiento 2 (TA2) 50% de AP y 50% de FC y tratamiento 3 (TA3) 25% de AP y 75% de FC, cada uno por triplicado. Las mezclas se saturaron en agua por 24 h, se pasaron a una estufa ECOSHEL 9162 FCD-2000, a 25, 30, 40 y 50 °C, por 3 h con muestreos cada 30 min. Se aplicó el mismo análisis estadístico, el tratamiento con mayor retención hídrica fue el que se colocó en el invernadero.
Evaluación del consumo de agua, nutrientes y rendimiento en la mezcla de sustrato en hidroponía con los cultivos de jitomate y pepino.
Las semillas fueron provenientes del Rancho Los Molinos. En el invernadero se colocó un sensor de humedad de suelo Decagon Devices modelo MAS-1, se programó un microcontrolador Arduino al encendido de la bomba de riego. La mezcla de sustrato se colocó en bolsas de 30 x 30 cm y se estimó el rendimiento a 6 racimos para el jitomate y 6 frutos para el pepino, la unidad experimental consistió en 15 plantas.
Propiedades físicas del acrilato de potasio
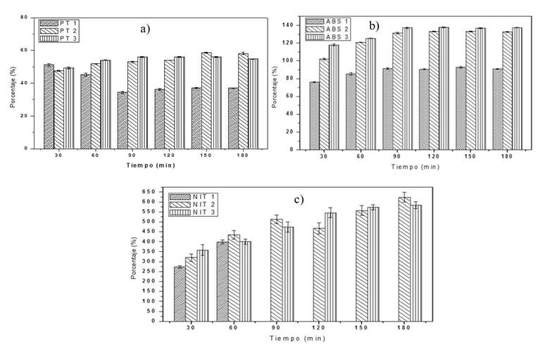
Porosidad. La porosidad total del acrilato de potasio se muestra en la Figura 1a, donde el T1 tuvo una mayor porosidad a los 30 minutos siendo el punto más alto de todos los tratamientos. La porosidad de todos los tratamientos fue disminuyendo hasta mantenerse igual al minuto 90. El espacio poroso en los suelos es del orden de 50%, de igual forma Renté-Martí et al. (2018) reportaron una porosidad de suelo de 54.7%, similar a lo obtenido al T1después de los 90 min.
La fracción de los poros es necesaria para la salud de la raíz y la disponibilidad de nutrientes, en el caso del acrilato de potasio el espacio poroso, permitió la aireación de la raíz sin interferencia del agua en los espacios vacíos debido a que la misma se aloja en la matriz interna del acrilato de potasio. Retención del agua. El resultado en T1 fue de 87.83%, en 2 de 125.44% y en 3 de 132% en su capacidad de retención de agua (Figura 1b). El tratamiento significativo fue T1, que representó tener menor capacidad de absorción, por lo que se definió para las condiciones experimentales el acrilato de potasio es mejor en retención de agua al 200% o mayor.
La capacidad de retención de agua del acrilato depende de las características físicas del sustrato donde los valores reportados varían de 50 a 77% en volumen, siendo superior con 125%, debido a la característica principal del acrilato, resaltando que quedó por debajo de lo estipulado por el proveedor, esto fue por las sales minerales del agua de pozo, que ocuparon espacio y al final se definió que pudo absorber cerca de 130 litros de agua por kilogramo de acrilato.
Absorción de nitrógeno por el acrilato de potasio. El T1 solo presentó absorción hasta el minuto 60, por lo que se eliminó del análisis estadístico total, los Ts 2 y 3 no tuvieron diferencia estadística, la mayor absorción que presentaron de 580 a 615 ppm, respectivamente (Figura 1c) los niveles de absorción en sustratos para N: aceptable 40-99 ppm, óptimo 100-199 ppm. Estos resultados, fueron 5 veces más absorción de N, esto permitió tener un mejor manejo de los nutrientes, disminuyendo los riesgos de las pérdidas por lixiviación a causa de los frecuentes e intensos riegos en hidroponía. Por otra parte las plantas, son ineficaces para absorber N suministrado, siendo bajo su asimilación y el restante es liberado al drenaje (Cuadrado et al., 2014), donde el uso del acrilato de potasio es una alternativa para mantener los fertilizantes en la raíz para su posterior absorción, se requiere de más investigación para determinar los procesos de retención-liberación en tiempos exactos y cantidades de nutrientes.

Figura 1 Propiedades físicas del acrilato de potasio en los diferentes tratamientos de saturación; a) porosidad; b) absorción de agua de pozo; c) absorción de nitratos.
Mezcla de acrilato de potasio y fibra de coco en retención de humedad. El resultado de los tratamientos fue estadísticamente diferente, lo que demostró ser positivo para mayor concentración de acrilato de potasio. El T1 retuvo el mayor porcentaje de agua por lo cual se colocó como sustrato en el invernadero. La variabilidad que existió se puede explicar, por los contenidos básicos de humedad y por las diferencias en la capacidad de absorción de agua entre las mezclas por el acrilato de potasio.
En este estudio se utilizó la mezcla de sustratos que retuviera por mayor tiempo el agua en condiciones de temperaturas promedio para la región semiárida de 30 °C. Los polímeros súper absorbentes se definen por la capacidad de absorber soluciones acuosas en presencia de grupos carboxílicos que permiten una amplia plasticidad (Zohuriaan-Mehr y Kabiri, 2008) y debido a esto se utilizan como ‘reservorios de agua en miniatura’ (Oksi et al., 2016). Se debe conocer las características de los sustratos, como absorción de agua antes de iniciar un ciclo de cultivo (Irigoyen et al., 2009).
La unión de la mezcla de sustratos ejerció una sinergia positiva debido a que la fibra de coco al inicio del cultivo tuvo una mayor pérdida de agua que es compensada por la absorción del acrilato de potasio; esto se explica en la reducción de la porosidad que tuvo el acrilato de potasio al hincharse por su característica de absorción de agua y la fibra de coco posee espacios porosos adecuados para que se desarrolle el cultivo, esto permitió a la raíz disponer del amortiguamiento hídrico para su desarrollo.
Cultivos de jitomate y pepino en la mezcla de acrilato de potasio y fibra de coco
Consumo de agua. Una buena gestión del agua empieza por la determinación correcta de las necesidades de agua del cultivo. El consumo de agua para el cultivo del tomate fue de 86% y para el pepino de 47%, esto reportado en literatura para el mismo período (Figura 2) (Cajamar, 2006).
El uso de la mezcla de sustrato entre fibra de coco y acrilato de potasio se puede considerar como una opción amigable en ahorro de agua; siendo lo reportó Montesano et al. (2015) utilizaron un hidrogel a base de celulosa aplicado en un suelo arenoso y obtuvieron un aumentó en la capacidad de campo de hasta 400% en comparación con suelo normal y el punto de marchitamiento fue similar en ambos suelos, por otra parte, evaluó una mezcla del hidrogel con perlita, logrando un aumento de retención del agua en el recipiente de 28 y 48% más, similar a lo obtenido en este estudio. Shahid et al. (2012); Hemvichian et al. (2014) alcanzaron efectos positivos en la aplicación de hidrogeles derivados de acrilamida para el crecimiento de las plantas y en la reducción de estrés hídrico confirmando los resultados de esta investigación.
Consumo de nutrientes. Existe una correlación positiva entre el consumo de agua y fertilizantes, se muestra un ahorro de fertilizantes, donde los resultados tienen un valor promedio de 747 ppm de nitrógeno y 139 ppm de fósforo por planta consumidos a los 105 dds (Figura 3). Entre mayor sea el consumo de agua, mayor será el gasto de fertilizantes (Ortega et al., 2016).
La obtención de productividad agrícola con reducción de fertilizantes nitrogenados es un gran desafío (Bedoya y Salazar, 2014). En lo reportado por Ortega et al. (2016) se tuvo un bajo consumo de fertilizantes en cultivo en suelo acolchado y un mayor consumo en fibra de coco, esto se debió por su baja retención de nutrientes. Para promover el aumento de rendimientos en el uso de hidrogel en la hidroponía, se debe de contribuir con cambios en los sistemas de producción, donde la tecnología e investigación, deben de llegar a los agricultores para generar sustentabilidad y mejoras económicas al disminuir el gasto de fertilizante.
Rendimiento del cultivo de pepino (Cucumis sativus) y jitomate (Lycopersum esculentum).
Los resultados para el pepino en longitud promedio de planta fue de 200 cm, en el fruto una longitud de 23.0367 cm, con un diámetro de 4.22 cm y un rendimiento de 2.3 kg m-2, estos resultados son de acuerdo con el tipo de semilla utilizado y la temporada de cultivo, bajo las condiciones semiáridas del bajío mexicano, el resultado para la variable de rendimiento fue de 3 plantas m-2 (Figura 4).
El rendimiento obtenido resultó con valores superiores a lo descrito por Marcano et al. ( 2012) con pesos promedios de 157-201 g y cercanos al reporte de valores desde 271 a 422 g de la variedad Poinsett 76. Se puede afirmar que la aplicación de hidrogel en mezcla con sustrato disminuirá el uso de fertilizantes, mejorará las propiedades físicas de los sustratos, la disponibilidad de agua y el rendimiento (Ortega y Soto Zarazúa, 2017; Gholamhoseini et al., 2018).
En tomate los resultados presentaron homogeneidad en tamaño de planta, número y tamaño de frutos, con un rendimiento promedio de 4.7 kg planta que se acerca a lo reportado con sustrato aserrín-composta por Ortega-Martínez et al. (2016) que fue de 4 kg por planta en invernadero, los resultados para el rendimiento se realizó 6 plantas m2 para un total de 28.3 kg m2 (Figura 4).
En un estudio con hidrogel y jitomate Cherry bajo estrés hídrico, con el hidrogel obtuvieron ventaja al estrés hídrico debido a la liberación gradual del agua y evitaba el marchitamiento por déficit hídrico concluyendo su potencial uso en la agricultura como depósitos de agua (Madaghiele et al., 2013), en la presente investigación el rendimiento obtenido se logró con la reducción de agua y de fertilizantes, que se traduce en economía ambiental.
El uso de hidrogel en la hidroponía y en la agricultura puede escalarse para las variedades de jitomate como en Bres y Veston (1993); Sayyari y Ghanbari (2012); Madaghiele et al. (2013) para la calidad de la fruta, rendimiento y para soportar el déficit de agua, aspectos para el manejo de los cultivos agrícolas y alternativa de utilizar hidrogeles para potenciar el uso del agua.
Conclusiones
La aplicación en sustrato del acrilato de potasio en los cultivos bajo invernadero como en el caso de estudio para el jitomate y pepino resultó con ahorro de agua, de fertilizantes y economía. EL cultivo en sustrato suele ser una herramienta efectiva para aumentar el rendimiento del cultivo, el uso eficiente del agua y reducir el impacto ambiental. Este sistema, que permite aumentar la eficiencia del uso del agua manteniendo su calidad, es una opción para implementarse más intensamente en cualquier escala para apoyar la economía y ecología agrícola.









texto en 





