SciELO - Scientific Electronic Library Online

 
vol.20 número2Perfil epidemiológico de las fracturas de tobillo en el Hospital Regional “General Ignacio Zaragoza” del ISSSTE, CDMXEfecto en la salud emocional del personal de salud de un Hospital Privado de Tercer Nivel que enfrenta la pandemia de COVID-19 índice de autoresíndice de materiabúsqueda de artículos
Home Pagelista alfabética de revistas  

Servicios Personalizados

Revista

Articulo

Indicadores

Links relacionados

  • No hay artículos similaresSimilares en SciELO

Compartir


Acta médica Grupo Ángeles

versión impresa ISSN 1870-7203

Acta méd. Grupo Ángeles vol.20 no.2 México abr./jun. 2022  Epub 31-Oct-2022

https://doi.org/10.35366/104273 

Artículos originales

Una propuesta de fórmula antropométrica para predecir la distancia de la piel al espacio peridural en el bloqueo neuroaxial

A proposed anthropometric formula to predict the distance from the skin to the peridural space in neuroaxial blockade

Marilyn Berenice Pérez García1  * 

Anaid Huitron Martínez2 

Yolanda Valera Rodríguez3 

Asael Guadalupe Flores4 

Andrea Nava Acosta5 

Lizbeth Cañas Lucero6 

José Manuel Ahité García7 

1 Médico Residente de 3o año de Anestesiología, Hospital Angeles Mocel. Ciudad de México, México. Facultad Mexicana de Medicina Universidad la Salle. Ciudada de México, México.

2 Médico Anestesiólogo, Hospital Angeles Mocel. Ciudad de México, México.

3 Médico Anestesiólogo, Hospital Angeles Clínica Londres. Ciudad de México, México.

4 Médico Residente de 3º año de Imagenología en el Hospital Angeles Mocel. Ciudad de México, México.

5 Médico Residente de 2o año de Anestesiología. Hospital Angeles Mocel. Ciudad de México, México.

6 Médico Residente de 2o año de Anestesiología en el Hospital Angeles Clínica Londres. Ciudad de México, México.

7 Director Médico y Profesor Titular del Curso de Anestesiología. Hospital Angeles Mocel. Ciudad de México, México.


Resumen:

Para disponer de una fórmula predictiva de la distancia piel-espacio peridural (P-EE) se estudiaron a 92 personas en un estudio transversal. En todas se determinó el P-EE por medio de ultrasonido como estándar de referencia. Las mediciones antropométricas consistieron en peso (kg), perímetro abdominal (cm), índice de masa corporal (IMC), aunado a la edad (años) y sexo. A través de una regresión lineal múltiple se determinó que con el peso, perímetro abdominal, IMC y sexo se logró una estimación el P-EE con una predicción de 94.5% (IC95%: 93.2 a 97.9%) una diferencia de ± 5 mm del valor medido por ultrasonido (Bland-Altman); R2 = 0.82, p < 0.0001.

Conclusión:

Con la fórmula distancia epidural (mm) = [(perímetro abdominal en cm × 0.27) + [(IMC × 0.47)] - (16.38 + 3.55 (si es masculino)] se puede estimar la distancia piel-espacio epidural sin necesidad de medición por ultrasonido.

Palabras clave: Espacio peridural; anestesia epidural; ultrasonido; antropometría

Abstract:

To have a predictive formula for the skin-peridural space distance (S-PD), 92 people were studied in a cross-sectional study. In all of them, the S-PD was estimated through an ultrasound study. The anthropometric measurements consisted of weight (kg), waist circumference (cm), body mass index (BMI), coupled with age (years) and sex. Employing multiple linear regression, it was determined that with weight, waist circumference, BMI, and sex, the S-PD could be estimated with a prediction of 94.5% b (95% CI: 93.2 to 97.9%) a difference of ± 5 mm of the ultrasound measure (Bland-Altman); R2 = 0.82, p < 0.0001.

Conclusion:

With the formula epidural distance (mm) = [(waist-circumference (cm) × 0.27 + BMI × 0.47)] - (16.38 + 3.55 [if male]) the skin-epidural space distance can be estimated without the need for ultrasound measurement.

Keywords: Peridural space; peridural anesthesia; ultrasound; anthropometry

Introducción

El bloqueo peridural con abordaje lumbar es un método eficiente para proveer adecuado bloqueo motor y sensitivo transquirúrgico, además de permitir la colocación de un catéter peridural para una analgesia postoperatoria.1

Efectuar un bloqueo peridural implica conocimientos anatómicos, destreza sensitiva y capacitación técnica. El uso de agujas como la Touhy facilita el procedimiento, pero la profundidad del espacio peridural varía en diferentes pacientes, aun en los niveles de la columna vertebral en un mismo paciente.2

Los niveles más profundos se encuentran en el espacio lumbosacro y en la región cervicodorsal, por lo general es de 4 cm (50%), pero oscila entre 4 y 6 cm en 80% de la población. En personas obesas esta distancia puede ser mayor de 8 cm y en las delgadas, menor de 3 cm.3

Una complicación potencialmente letal es la punción dural involuntaria e inyección del anestésico local en el espacio subaracnoideo con el consiguiente peligro de vida (por la presencia de una raquianestesia total), su incidencia es de 0.2-0.7%.4

Una opción para determinar la distancia piel-espacio epidural (P-EE) ha sido el uso del ultrasonido. Carrillo-Esper y colaboradores5 en 81 voluntarios mexicanos sanos midieron la distancia de la piel al espacio peridural en una vista para medio sagital oblicua a nivel del espacio intervertebral L2-L3 utilizando un ultrasonido portátil. Su estudio demostró buena correlación interobservador para estimar la distancia tanto en personas con peso normal como en obesidad. Más aún en otro estudio, Canturk y colaboradores encontraron que la circunferencia abdominal de mujeres parturientas tenía una fuerte correlación con la estimación de profundidad por ultrasonido.6 Sin embargo, en este estudio no se determinó una fórmula de predicción ni su validez.

Ante la alta posibilidad de no disponer de ultrasonido para la medición de este espacio en todos los centros, y la evidencia de una posible relación de ésta con mediciones antropométricas, decidimos estudiar la posibilidad de generar una fórmula antropométrica con alta validez para su uso en la clínica.

El objetivo de este trabajo fue establecer si varios parámetros antropométricos podrían ayudar a predecir la profundidad del espacio peridural medido por ultrasonido transcutáneo.

Material y métodos

Realizamos un estudio transversal con 92 voluntarios sanos o pacientes para una cirugía bajo anestesia con bloqueo epidural. Todos con edades entre 18 y 70 años, de cualquier sexo y complexión corporal. Se excluyeron personas con enfermedades de la columna vertebral o con cirugías previas a ésta, embarazadas, o si no deseaban participar.

Previo a la medición ultrasonográfica, se realizó antropometría con medición del peso y talla con una báscula mecánica de columna, con la menor ropa posible. La medición del perímetro o circunferencia abdominal se tomó con cinta métrica convencional. Las mediciones se realizaron por triplicado, con registro del promedio (media). La medición se realizó por uno de los investigadores del trabajo (Andrea Nava Acosta). Además, se obtuvo la edad de los pacientes en años cumplidos y su sexo.

A todos los pacientes se les realizó ultrasonido transcutáneo de la región lumbar a nivel de L2 y L3 por un ultrasonografista capacitado y con más de tres años de experiencia en esta medición. La medición se realizó con equipo Esaote MylabTM Eight eXP con transductor lineal de alta resolución de 15mHz.

Tamaño de la muestra. Con base en los antecedentes y estimando una distribución normal de los datos, se calculó el tamaño de la muestra total (N) mediante la siguiente fórmula:

N = (z1 1 - α+ z1 1 - β)2 / u2 +3

Se determinó que el número de muestra necesario es de 92 individuos.

Análisis estadístico

El análisis estadístico será realizado con el programa estadístico de libre acceso R Studio Version 1.1.453 (2009-2018 RStudio, Inc.) utilizando el lenguaje R (versión 3.5 2018, The R Foundation for Statistical Computing) para macOS Catalina (versión 10.15) y JASP2® con gráficas de Prism 9 ®.

Las variables cuantitativas continuas se resumen en medias y desviación estándar (DE) o en medianas y diferencias medias absolutas. Las variables cualitativas se describieron con conteos absolutos y proporciones (porcentajes). Se calcularon los coeficientes de correlación y el coeficiente de determinación entre cada uno de los parámetros antropométricos y la profundidad epidural mediante la prueba de correlación de Pearson o Spearman, según comportamiento de las variables. Para determinar un modelo predictivo antropométrico se probaron varios modelos de regresión lineal mutivariable. La variable de resultado fue siempre la distancia piel-espacio epidural obtenida por ultrasonido. Las variables ingresadas en los modelos fueron: edad en años, sexo (masculino = 1 y femenino = 0), peso en kg, estatura en cm, perímetro abdominal en cm e IMC (índice de masa corporal, por la fórmula de peso entre talla al cuadrado). Para evitar redundancia de información se dejó sólo el IMC como variable unificadora del peso y la estatura. Del modelo construido se determinaron los factores que aportaran información predictiva a través de prueba de t de student. Se obtuvo el coeficiente de determinación más alto para su aplicación. De la fórmula estimada, se analizó su validez a través de análisis de Bland-Altman, considerando el porcentaje de acuerdo con una diferencia no mayor de 5 mm por arriba o debajo de lo observado. También se estimó el nivel de acuerdo más estricto con una diferencia predicho-observado no mayor de 2.5 mm por arriba o abajo.

Resultados

Se recolectó la información antropométrica y de distancia epidural por USG de 92 adultos. Los valores de las variables antropométricas y las características demográficas cuantitativas se resumen en la Tabla 1.

Tabla 1: Mediciones antropométricas de los participantes. 

Parámetro Mediana (DAM) Mín-Máx
Edad (años) 32.6 ± 10.6 30 ± 5.9 20 - 64
Peso (kg) 68.1 ± 16.3 64.5 ± 12.6 48.0 - 152.0
Talla (m) 1.61 ± 0.08 1.59 ± 0.07 1.44 - 1.82
Índice de masa corporal (kg/m2) 26.4 ± 5.0 25.5 ± 3.11 18.7 - 46.4
Perímetro abdominal (cm) 83.5 ± 13.5 81.0 ± 10.4 66.0 - 128.0
Distancia epidural (mm) 17.8 ± 6.2 16.8 ± 4.9 9.5 - 45.1

Media ± desviación estándar.

DAM = desviación absoluta de la mediana.

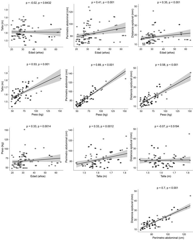
Cabe destacar que 59 (64%) de los pacientes estudiados fueron mujeres. Debido a que ninguna de las variables analizadas mostró una distribución de manera normal, realizamos una matriz de correlaciones donde obtuvimos el coeficiente p de Spearman (Figura 1); el valor p fue calculado a partir de la distribución F.

Figura 1: Matriz de correlaciones de las variables antropométricas y de la distancia epidural. Cada uno de los puntos hace referencia a in paciente voluntario, mientras que las líneas sólidas representan un modelo de regresión lineal simple y el sombreado el error estándar del modelo. En la parte superior de cada gráfico se muestra el coeficiente p de Spearman con su respectivo valor p. 

Como se muestra en la Figura 1, la distancia por ultrasonido se correlacionó sobre todo con el peso y el perímetro abdominal (Rho 0.58 y 0.7 ambos p < 0.001); no así la talla (Rho -0.07 p = 0.52) y de forma moderada la edad (Rho 0.35, p < 0.001). Sin embargo, si tomamos en cuenta aspectos anatómicos, la relación peso/talla como índice de obesidad resume mejor el impacto de estas dos mediciones en el espacio peridural, por ello se consideró mejor su análisis conjunto. Asimismo, el perímetro abdominal, aunque correlacionado altamente con el peso (Rho 0.89, p < 0.001), se relaciona altamente con el sitio de punción. Por ello, en el análisis de regresión lineal multivariable estas variables fueron integradas junto con la edad y el sexo.

Después de construir los modelos de predicción con las variables: edad, sexo, IMC y perímetro abdominal, encontramos que la edad generaba información redundante, por lo cual se eliminó en el modelo final. En la Tabla 2 se muestra el modelo final con los coeficientes betas y sus intervalos de confianza a 95%. El modelo final mostró una R2 de 0.82, p < 0.001. La fórmula obtenida fue:

Tabla 2: Coeficientes de regresión calculados a partir del modelo simplificado para la predicción de la distancia epidural. 

Variable β (IC 95%) p*
Intercepto (β0) -16.38 (-20.1 – -12.6) < 0.0001
Género masculino -3.55 (-4.9 – -2.1) < 0.0001
IMC 0.47 (0.2 – 0.75) < 0.0001
Perímetro abdominal 0.27 (0.17 – 0.38) < 0.0001

IC 95% = intervalo de confianza de 95%.

* El valor p fue calculado mediante prueba t de student.

Distancia epidural (mm) = [(perímetro abdominal (cm) × 0.27 + IMC × 0.47)] - (16.38 + 3.55 [si es masculino])

Para determinar la validez de los datos estimados se construyó una gráfica de Bland-Altman (Figura 2). La estimación con nuestra fórmula permitió un nivel de acuerdo a una diferencia no mayor de 5 mm de 94.5%. (IC95% 93.2; 97.9%), y para una diferencia de 2.5 mm de 65% (IC95% 55; 74%).

Figura 2: Validez de la estimación por la fórmula nuestra de acuerdo al valor encontrado por ultrasonido. 

Discusión

Nuestra fórmula de estimación de la distancia piel-espacio peridural mostró ser altamente confiable con valores muy cercanos a los encontrados por medio de una medición por ultrasonido. El nivel de acuerdo entre el valor calculado y el medido por ultrasonido se acerca a 95% de precisión, consideramos evita la introducción excesiva de una aguja con riesgo de lesiones. Si asumimos la posibilidad de temor a una distancia riesgosa, la aproximación de al menos 2.5 mm da una confianza en 65% de las punciones.

No negamos la utilidad del uso del ultrasonido para la ejecución de este tipo de procedimientos; sin embargo, la disponibilidad del recurso puede estar limitada en algunos hospitales; por ello, estrategias como ésta, en la cual se puede obtener un estimado confiable con sólo mediciones antropométricas puede ser una alternativa útil.

Proponer las mediciones antropométricas para este cálculo, a nuestro conocimiento, ya había sido considerado previamente. Aunque, estudios previos sí han mostrado diferencias en la profundidad de la piel al espacio epidural relacionado con la obesidad y estados gestacionales, entre otros,5 no habían propuesto una fórmula para su uso en la medición de esta distancia. Por ello, nuestra propuesta tiene bases para su postulación.

Algunas limitaciones deben ser consideradas en este estudio. La primera es el estándar de comparación, el cual idealmente debería ser la medición de la profundidad de penetración de la aguja guiada por ultrasonido. Esta medida traduce realmente la distancia. Dado que nuestro estudio utilizó sujetos a quienes no se les realizó una punción, esta opción no se pudo realizar. Por otro lado, el ultrasonido de medición de la distancia es una buena alternativa siempre y cuando el observador esté bien capacitado y su variabilidad intraobservación evaluada muestre puntajes altos. Tratamos de controlar este fenómeno con un evaluador capacitado. Una segunda limitación es la precisión de las mediciones antropométricas, las cuales aun con personal capacitado tienen márgenes de error de milímetros. Para medidas muy pequeñas como el espacio piel-epidural, éstas se traducen en imprecisiones de milímetros. Por otro lado, aunque nuestra muestra fue suficiente para determinar las correlaciones buscadas y el poder para la estimación de una regresión útil, no logramos realizar estudios entre subpoblaciones de interés, tales como edades específicas por sexos y condiciones de nutrición estratificados. Asimismo, aún se necesitan estudios para poblaciones en condiciones particulares como embarazadas, grupos pediátricos y presencia de malformaciones o lesiones dorsales.

Por último, es necesaria la validación con un grupo externo al de la construcción de nuestra fórmula con el objetivo de establecer su generalidad.

Conclusiones

El uso de mediciones antropométricas puede facilitar la estimación de la distancia entre la piel y el espacio peridural. Nuestra fórmula permite una estimación con una confianza de 95% de no diferencia en ± 5 mm.

Referencias bibliográficas

1. Ayón-Villanueva H, Rivera-Ordoñez A, Guajardo-Rosas J, Juárez-Lemus Á, Chejne-Gómez F, Ramos-Alanís A. Esquemas de analgesia epidural para bombas de infusión. Rev Mex Anest. 2017; 40 (S1): 207-209. [ Links ]

2. Whizar-Lugo V. La cavidad epidural. Anest Mex. 2004; 16 (3):142-144. [ Links ]

3. Sahota JS, Carvalho JC, Balki M, Fanning N, Arzola C. Ultrasound estimates for midline epidural punctures in the obese parturient: paramedian sagittal oblique is comparable to transverse median plane. Anest & Analg. 2013; 116 (4): 829-835. [ Links ]

4. Degiovanni JC, Chaves A, Moyano J, Raffán F. Incidencia de complicaciones en anestesia regional, análisis en un hospital universitario. Estudio de Corte Transversal. Rev Colomb Anestesiol. 2006; 34 (3); 155-162. [ Links ]

5. Carrillo-Esper R, Nava-López JA, Galván-Talamantes Y, Muñoz-García A, Hernández-Arias JJ, Hernández-Ramírez O et al. Medición de la distancia de la piel al espacio epidural por ultrasonografía y su correlación interobservador. Rev Mex Anest. 2016; 39 (5): 117-121. [ Links ]

6. Canturk M, Karbancioglu Canturk F, Kocaoglu N, Hakki M. Abdominal girth has a strong correlation with ultrasound-estimated epidural depth in parturients: a prospective observational study. J Anesth. 2019; 33 (2): 273-278. [ Links ]

1Aspectos éticos: El estudio se consideró sin riesgos, pero ante la necesidad de realizar mediciones se solicitó consentimiento informado oral. El proyecto fue aprobado por el comité de investigación y ética de nuestra institución.

2Financiamiento: El estudio no recibió financiamiento externo

Aprobado: 23 de Julio de 2021

*Autor para correspondencia: Marylin Berenice Pérez García. Correo electrónico: marilyn_891@hotmail.com

3

Conflicto de intereses: Los autores declaran no tener conflicto de intereses con ninguna empresa farmacéutica.

Creative Commons License Este es un artículo publicado en acceso abierto bajo una licencia Creative Commons