Introducción
La hipertensión en el embarazo se define como una presión arterial sistólica (PAS) igual o mayor a 140 mmHg y/o una presión arterial diastólica (PAD) igual o mayor a 90 mmHg en dos ocasiones, con al menos cuatro horas de diferencia; una presión arterial normal se considera igual o menor a 120/80 mmHg1-4. Estos valores de referencia son el estándar desde hace muchos años5. Siguiendo los cambios recientes por el Colegio Americano de Cardiología (American College of Cardiology, ACC) con umbrales menores para la definición de hipertensión en población no gestante6, se mejoró la detección de resultados adversos maternos y perinatales aplicando estos nuevos valores7-14, a pesar de que la gestación no da tiempo suficiente para evaluar morbilidad cardiovascular a largo plazo. Estos umbrales se establecieron con base en la opinión de expertos, válida pero con el menor nivel de evidencia según la clasificación GRADE15. Aunque la investigación clínica se ha centrado en la validación de estas recomendaciones, los resultados han sido insatisfactorios y controvertidos16,17. Esto ha sucedido sin considerar que la definición de normalidad en medicina prefiere basarse en modelos bioestadísticos y clínicos18,19. Ya se han desarrollado modelos bioestadísticos para la presión arterial en el embarazo20, pero no se ha validado su aplicación según desenlaces clínicos. Por otro lado, se ha demostrado el valor de la presión arterial en el primer o segundo trimestre para predecir la preeclampsia21, pero no se ha propuesto definir los valores normales con este enfoque. Un estudio en población mexicana22 evalúa la presión arterial media (PAM) en combinación con otros factores de riesgo para predicción de preeclampsia, pero no define normalidad, porque no fue su objetivo. Otros estudios se han enfocado en la medición estandarizada de la PAM entre las 11 y 14 semanas de la gestación de feto único para predecir la preeclampsia prematura y las formas graves23, porque son las más susceptibles de prevención24, pero no definen normalidad; se ha escogido este periodo de la gestación para estudio de la presión arterial por coincidencia práctica con el tiempo para el tamiz de aneuploidías25 y porque se establece la circulación intervellosa materna temprana26.
El objetivo de este estudio fue definir el valor normal para la presión arterial en el primer trimestre de la gestación de feto único, entre las 11 y 14 semanas de gestación, con base en su desempeño para discriminar el desenlace parto con preeclampsia, en una población mexicana.
Materiales y métodos
Se realizó un estudio en una cohorte destinada a estudios perinatales, previamente descrita para otro análisis25, proveniente de un Centro y Laboratorio de Medicina Fetal en la Ciudad de México. El reclutamiento para este estudio fue de enero de 2013 a diciembre de 2019, se obtuvo la aprobación de los comités de ética e investigación del hospital y del laboratorio sedes, apegándose a la Declaración de Helsinki de la Asociación Médica Mundial para las investigaciones médicas en seres humanos y todos los sujetos dieron su consentimiento para participar en la cohorte. El estudio provino de un proyecto mayor para tesis de posgrado de uno de los autores, aprobado por la Universidad Nacional Autónoma de México.
Los criterios de inclusión fueron embarazo de feto único con vitalidad y longitud corona-cauda entre 45 y 84 mm (11+1 a 14+1 semanas de gestación), con datos completos para el estudio y que se hubiera registrado el nacimiento de recién nacido normal, vivo o muerto, con 24 semanas de gestación o más. Se excluyeron embarazos con defectos cromosómicos, no cromosómicos y los que tuvieron parto o aborto (espontáneo o inducido) antes de las 24 semanas. Parto se definió operativamente como el nacimiento independientemente de la vía (vaginal o cesárea).
Las características maternas se obtuvieron por cuestionario autoadministrado, verificadas por interrogatorio médico de manera estandarizada para la cohorte25 y se categorizaron operativamente según definiciones operativas internacionales27: edad materna (en años cumplidos), origen étnico (caucásico/hispano, afrocaribeño, surasiático, este asiático u otro/mixto), hábito de fumar durante el embarazo (fumadora, nunca o abandonó), antecedentes familiares de preeclampsia en la madre o la hermana de la paciente (sí o no), historia médica relevante (hipertensión crónica, diabetes mellitus, síndrome antifosfolípidos, lupus eritematoso sistémico) y antecedentes obstétricos que incluyan paridad (paridad o nulípara si no hay embarazos previos de al menos 24 semanas de gestación) y embarazo previo con preeclampsia (sí o no); la categoría «nulípara» no fue igual a «primer embarazo», los abortos y nacimientos menores de 24 semanas no tuvieron interés operativo para este estudio.
La presión arterial se midió de acuerdo con un método estandarizado ya descrito28 y adoptado por la Federación Internacional de Ginecología y Obstetricia29, requiriendo la modificación forzosa de usar en todas las embarazadas el brazalete mediano único (22-23 cm) proporcionado con cada dispositivo; los de otros calibres no estuvieron disponibles en el mercado local. Este método estandarizado modificado está descrito con detalle en un estudio reciente20.
Los dispositivos electrónicos automáticos fueron marca Omron® (Japón), modelo HEM-7121, que cumple con el requisito 510(k) de la FDA; se calibraron periódicamente. El personal médico, paramédico y de enfermería encargado de las mediciones recibió capacitación para el uso de los dispositivos electrónicos, así como sobre el método estandarizado modificado, y fueron supervisados durante el estudio.
Las presiones arteriales para estudio se obtuvieron de los respectivos promedios de las últimas dos lecturas estables de ambos brazos, ampliando el método estandarizado original no solo para la PAM28, sino también para la PAS y la PAD para esta cohorte, como está descrito20.
El resultado de cada embarazo se obtuvo ya sea del acta de nacimiento, defunción, de alumbramiento, del expediente clínico o por anamnesis de la paciente al regresar al centro por nuevo embarazo. El diagnóstico clínico de preeclampsia se corroboró a partir de los registros médicos disponibles, con base en los criterios de la Sociedad Internacional para el Estudio de la Hipertensión en el Embarazo (ISSHP)30. El personal encargado de recolectar los resultados de los embarazos estuvo cegado a los datos registrados a las 11-14 semanas de gestación. El desenlace preeclampsia se categorizó presente o ausente al momento del parto, bajo el concepto de riesgos en competencia31, por lo que no se estudió preeclampsia en el puerperio y la categoría preeclampsia ausente puede o no incluir otros desenlaces perinatales adversos pero que no son el objetivo de este estudio.
El análisis estadístico medular se basó en estudiar la presión arterial como biomarcador predictor32, que operativamente significó evaluar el desempeño del valor absoluto de cada presión arterial (PAS, PAD y PAM) como clasificador para discriminar el desenlace preeclampsia al parto (tasas de detección, de falsos positivos y el área bajo la curva de característica operador-receptor).
Los estadísticos se seleccionaron con base en el preanálisis de los supuestos paramétricos.
El tamaño mínimo de muestra se calculó33 con base en una frecuencia del 5.4% para preeclampsia en la Ciudad de México34 y una sensibilidad del 35 al 10% de falsos positivos para la presión arterial en el primer trimestre, según un metaanálisis21; resultó en 746 sujetos consecutivos de la cohorte que incluyesen 40 partos con preeclampsia.
El nivel de significancia establecido para las pruebas estadísticas fue α = 0.05 (valor de p).
La base de datos se construyó en conjunto desde los programas de cómputo Astraia® (Alemania) y Excel® (EE.UU.); el análisis de datos se realizó completamente en una plantilla Excel® (EE.UU.) con código de programación desarrollado específicamente para el estudio. La base de datos y los códigos de programación son propiedad del Centro y Laboratorio de Medicina Fetal.
Resultados
Se incluyeron un total de 797 embarazos y hubo 40 (5.0%; IC 95%: 3.6-6.4) partos con preeclampsia. Las características maternas de la población en estudio al ingreso de la cohorte se presentan en la tabla 1. Solo hubo cuatro adolescentes en el grupo que no desarrolló preeclampsia y cero en el que sí.
Tabla 1 Características maternas basales de la cohorte a las 11-14 semanas de gestación (n = 797), por grupo de desenlace. Las comparaciones entre grupos de desenlace fueron por χ2 para variables categóricas y prueba U de Mann-Whitney para variables continuas
| Variables | No preeclampsia (n = 757) | Preeclampsia (n = 40) | valor de p |
|---|---|---|---|
| Edad materna, años* | 33.0 (30.0-35.9) | 34.4 (31.0-39.0) | 0.031*** |
| Índice de masa corporal* | 23.9 (21.8-26.8) | 24.0 (23.2-39.0) | 0.134 |
| Semanas de gestación* | 12.7 (12.3-13.3) | 12.7 (12.1-13.2) | 0.589 |
| Etnia** | 0.665 | ||
| Hispana/caucásica | 665 (87.8) | 34 (85.0) | |
| Afrocaribeña | 3 (0.4) | 0 (0.0) | |
| Surasiática | 2 (0.3) | 0 (0.0) | |
| Este asiático | 16 (2.1) | 0 (0.0) | |
| Otra, mixta | 71 (9.4) | 6 (15.0) | |
| Concepción** | < 0.001*** | ||
| Espontánea | 677 (89.4) | 31 (77.5) | |
| Fertilización in vitro | 45 (5.9) | 9 (22.5) | |
| Inducción de la ovulación sin in vitro | 35 (4.6) | 0 (0.0) | |
| Hábito de cigarrillo** | 0.970 | ||
| Fumadora | 16 (2.1) | 1 (2.5) | |
| Abandonó | 83 (11.0) | 4 (10.0) | |
| No fuma | 658 (86.9) | 35 (87.5) | |
| Paridad† | < 0.001*** | ||
| Nulípara | 559 (73.8) | 32 (80.0) | |
| Paridad sin preeclampsia | 188 (24.8) | 1 (2.5) | |
| Paridad con preeclampsia previa | 10 (1.3) | 7 (17.5) | |
| Historia médica* | 0.421 | ||
| Hipertensión crónica | 6 (0.8) | 2 (5.0) | |
| Diabetes mellitus | 3 (0.4) | 0 (0.0) | |
| Lupus eritematoso sistémico | 1 (0.1) | 0 (0.0) | |
| Síndrome antifosfolípidos | 6 (0.8) | 0 (0.0) | |
| Historia familiar de preeclampsia** | 9 (1.2) | 4 (10.0) | < 0.001*** |
*Mediana (rango intercuartílico).
**n (%).
***Estadísticamente significativo.
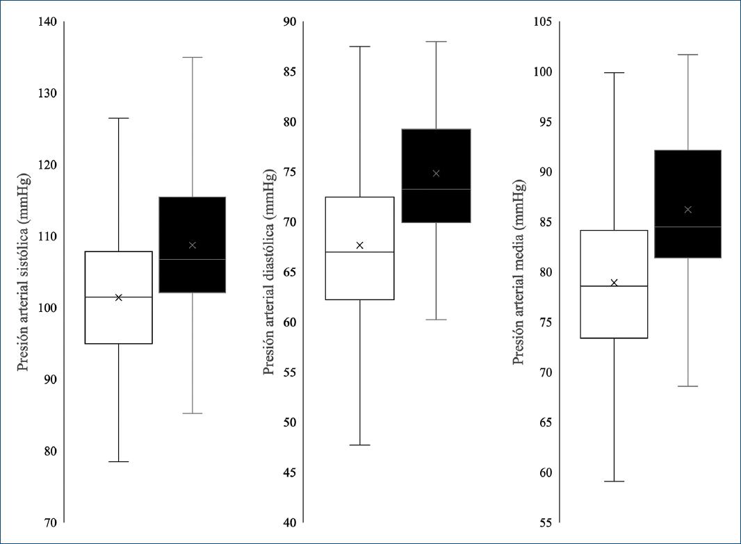
A las 11-14 semanas, los promedios (DE, desviación estándar) de la PAS, la PAD y la PAM fueron respectivamente de 101 (9), 68 (8) y 79 (8) mmHg en las embarazadas que no desarrollaron preeclampsia, frente a 109 (10), 75 (8) y 86 (8) mmHg en las que sí (p < 0.001, prueba t de Student). Estas distribuciones se ilustran en la figura 1 y fueron de tipo Gauss.

Figura 1 Gráficos de caja y bigote de las distribuciones de la presión arterial a las 11-14 semanas de gestación con parto sin preeclampsia (caja blanca, n = 757) y parto con preeclampsia (caja negra, n = 40); todas las diferencias estadísticamente significativas (p < 0.001, prueba t de Student).
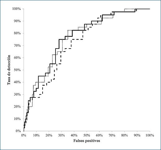
El área bajo la curva de característica operador-receptor fue de 0.707 (0.637-0.777) para la PAS, 0.728 (0.661-0.795) para la PAD y 0.738 (0.673-0.803) para la PAM (Fig. 2).

Figura 2 Curva de característica receptor-operador (ROC) para discriminar parto con preeclampsia según la presión arterial a las 11-14 semanas de gestación. Presión arterial sistólica (- - -), diastólica (…) y media (___).
Los valores de referencia con base bioestadística y clínica se presentan en la tabla 2 para tasas del 3 y 10% de falsos positivos.
Tabla 2 Valores de referencia para la presión arterial entre las 11-14 semanas de gestación, según desempeño para parto con preeclampsia
| Presión arterial (mmHg) | Detección % (IC 95%) | VPP % (IC 95%) | VPN % (IC 95%) | Razón de probabilidad | |
|---|---|---|---|---|---|
| 3% FP | |||||
| Sistólica | 119 | 12.5 (3.2-21.8) | 19.2 (5.5-33.0) | 95.6 (94.2-96.9) | 4.2 |
| Diastólica | 83 | 12.5 (3.2-21.8) | 19.2 (5.5-33.0) | 95.6 (94.2-96.9) | 4.2 |
| Media | 94 | 15. (4.9-25.1) | 20.7 (7.3-34.1) | 95.6 (94.3-96.9) | 5.0 |
| 10% FP | |||||
| Sistólica | 113 | 27.5 (14.9-40.1) | 12.6 (6.3-19.0) | 95.9 (94.6-97.2) | 2.8 |
| Diastólica | 78 | 40.0 (26.2-53.8) | 17.2 (10.2-24.2) | 96.6 (95.4-97.8) | 4.0 |
| Media | 89 | 32.5 (19.3-45.7) | 14.4 (7.8-21.0) | 96.2 (94.9-97.5) | 3.3 |
IC 95%: intervalo de confianza del 95%; FP: falsos positivos; VPP: valor predictivo positivo; VPN: valor predictivo negativo.
Discusión
La tasa de parto con preeclampsia en esta cohorte resultó idéntica a la incidencia reportada por otros34 en la misma localidad años atrás. Aunque puede cuestionarse la representatividad de estas muestras poblacionales con respecto de toda la ciudad, en tanto no se publiquen otros estudios es razonable asumir una incidencia de preeclampsia del 5% en poblaciones similares a la de la Ciudad de México.
Al ingresar a la cohorte, las embarazadas que posteriormente desarrollaron preeclampsia tuvieron mayor edad media, mayor proporción de reproducción asistida, mayor proporción de preeclampsia previa y de historia familiar de preeclampsia. Esto es congruente con el efecto conocido de estos factores sobre el desenlace parto con preeclampsia en una población de otro país27. Adicionalmente, se sabe que estos mismos factores afectan al valor de la presión arterial en el embarazo de modo diferencial entre las embarazadas que desarrollarán preeclampsia y las que no35. Es hipótesis de los autores que lo anterior explica por qué las cifras de presion arterial por sí mismas tuvieron valor significativo en la predicción de preeclampsia tanto en nuestros datos como en un metaanálisis21: dichas cifras son el resultado final de factores múltiples interactuando en la fisiopatología de la preeclampsia y por sí solas evidencian el efecto subyacente de interés. Este efecto ha servido para cumplir el objetivo del presente estudio, y aunque el enfoque fue sobre predicción de preeclampsia, no sustituye a las pruebas de tamiz de preeclampsia ya establecidas36; solo define normalidad.
En esta cohorte, la presión arterial entre las 11-14 semanas de gestación resultó estadísticamente por debajo de los estándares convencionales1-4, incluso en embarazadas que posteriormente desarrollaron preeclampsia. Con base en nuestra definición operativa, la cifra 120/80 mmHg resultó normal en solo un 3%; en contraste, el valor medio normal resultó alrededor de 100/70 mmHg. Estos valores de referencia resultaron similares a los obtenidos por otro diseño en la misma población20; en este otro diseño se construyeron rangos de referencia de modo transversal, si bien los resultados del estudio actual sugieren que aquellos rangos podrían validarse según riesgo de preeclampsia, esta validación será objeto de otro estudio. Es conclusión de los autores que los valores de referencia para la presión arterial en el embarazo deben revisarse y que es factible definirlos con base bioestadística y clínica, sustentada en la fisiopatología.
Una limitante de nuestro estudio fue el rango estrecho de semanas estudiadas de la gestación. Este análisis deberá reproducirse para la presión arterial medida en otros periodos de la gestación.
Otra limitante del estudio fue la baja representatividad de embarazadas adolescentes, de origen afrocaribeño, surasiático y con historia médica relevante; la investigación futura deberá enfocarse en ampliar la cohorte o en el estudio específico de estos grupos.
La validez externa de nuestros resultados estará supeditada a la población diana, la metodología que se aplique y la consistencia de la estandarización. Debe hacerse notar que las distribuciones de las presiones arteriales en esta base de datos fueron de tipo Gauss, que hipotéticamente es resultado natural de la población, pero que también proviene de la validez interna del método estandarizado para medir la presión arterial. En otro estudio se podrá auditar este método a lo largo del tiempo.
La intervención en consecuencia de estas definiciones bioestadísticas y clínicas podrá ser motivo de otros estudios; por ejemplo, el valor de clasificar al embarazo de alto riesgo para referencia al siguiente nivel de atención o justificar medidas de prevención primaria tales como prescribir dosis bajas de aspirina37.










nueva página del texto (beta)


