Introducción
En Durango, México, especies y variedades de pastos con productividad y calidad de forraje mayores a los pastos en uso actual son necesarias para satisfacer la demanda por forraje señalada en el inventario ganadero estatal, especialmente en la época seca del año (invierno a inicio del verano) (Rosales et al., 2016). En Durango se ha retomado la evaluación de las especies de pastos, con productividad forrajera (˃27 t de forraje verde por ha por corte; INFOSIAP, 2017) y calidad forrajera altas [proteína cruda ˃12 %, fibra detergente neutro (FDN)=55 % y digestibilidad ˃50 %] (Ball et al., 2001). Es el caso de ballico anual (Lolium multiflorum), ballico perenne (L. perenne) y bromo (Bromus willdenowii) de la variedad Matua principalmente (Jiménez et al., 2014).
Entre las especies más usadas en Durango están ballico perenne y ballico anual (Reyes et al., 2000). Evaluar adaptación, calidad de forraje y contenido proteico de los pastos en Durango es necesario porque la proteína es el insumo de mayor costo en los suplementos suministrados durante el crecimiento y finalización de bovinos. Con variedades y mezclas de pastos que muestran contenido alto de proteína es posible reducir los costos alimenticios relacionados con las dosis altas de suplemento, requeridas por bovinos en crecimiento (16.0 % de proteína) (NRC, 2001), que se alimentan principalmente con forrajes pobres en proteína en la temporada seca del año. También se recomienda analizar la calidad (composición química y digestibilidad) y sus componentes [proteína cruda, fibra detergente neutro (FDN), fibra detergente ácido (FDA), lignina y digestibilidad de la materia seca] porque se pueden usar para la selección de los forrajes mejores. El análisis de calidad forrajera determina el valor nutritivo mediante el contenido de proteína, grasa, cenizas y componentes estructurales (Van-Soest et al., 1991) y la digestibilidad (Giraldo et al., 2007).
La digestibilidad del forraje disminuye con el incremento de la temperatura y maduración de la planta (Wilson y Minson, 1983; Ball et al., 2001), ya que la relación hoja/tallo se afecta y el tejido senescente incrementa (Wilson et al., 1986). Por ello, la digestibilidad del forraje tiende a ser mayor en invierno y a reducirse gradualmente hacia la primavera y verano (Mueller y Orloff, 1994).
El rendimiento y calidad del forraje dependen de la etapa fenológica al momento del corte, composición botánica de la población cultivada, fertilidad del suelo, clima y manejo agronómico del cultivo (Ball et al., 2001; Aganga et al., 2004). En Durango, se busca aprovechar el balance entre la productividad de biomasa y la calidad de forraje en los pastos, especialmente del contenido de proteína. El objetivo de esta investigación fue evaluar la productividad y calidad de forraje en variedades y una mezcla comercial de pastos cultivados en la época seca en Durango. La hipótesis del estudio fue que las variedades y la mezcla de pastos muestran productividad y calidad del forraje similares.
Materiales y Métodos
El estudio se realizó dos años consecutivos. El primero se sembró en el ciclo otoño-invierno 2013-2014 (Ciclo 1) y el segundo en el ciclo otoño-invierno 2014-2015 (Ciclo 2). Los tratamientos fueron las variedades Hércules y Maximus de pasto ballico anual (L. multiflorum), una mezcla comercial de variedades de ballico perenne (L. perenne; Mezcla Green Perenne) y la variedad Matua de pasto bromo (B. willdenowii). En ambos ciclos se sembró el 4 de octubre en el Campo Experimental Valle del Guadiana, INIFAP, Durango, km 4.5 carretera Durango-El Mezquital (23° 59’ 21” N, 104° 37’ 33” O y 1877 m de altitud).
El suelo es franco-arenoso con capacidad de campo 30 %, punto de marchitez permanente 16 %, densidad aparente de 1.3 g cm-3, capacidad intermedia para retener humedad, profundidad media, pendiente de 0 a 2 %, pH 7.9 y pobre en materia orgánica, fósforo y nitrógeno. El clima de la región es templado semiárido extremoso, con régimen de lluvias en verano 476 mm de lluvia anual, concentrada entre junio y septiembre (Medina et al., 2005) y temperatura media anual de 17.4 °C, con la fórmula climática BS1 kw (w) (e) (García, 1987).
En el Ciclo 1 la siembra de cada tratamiento se hizo en franjas apareadas de 100 m de longitud y 10 m de anchura (parcela experimental de 1000 m2), con hileras de plantas cada 15 cm y densidad de siembra de 35 kg de semilla ha-1, y se usó una sembradora (Aitchinson GrassFarmer 1414C®). La dosis de fertilización 180-60-00 (N-P2O5-K2O) se distribuyó en tres aplicaciones: en la siembra (60-60-00), 94 d después de la siembra (DDS) (60-00-00) y 168 DDS (60-00-00). Además de la lluvia durante el estudio (102 mm) (Cuadro 1), se aplicaron nueve riegos de auxilio. Para el control de maleza se aplicó herbicida 2,4-D (sal dimetilamina del ácido 2,4-diclorofenoxiacético).
Cuadro 1 Registros promedio de temperatura (T) y lluvia acumulada en el periodo entre cortes de dos ciclos de estudio de pastos forrajeros cultivados en la época seca en Durango, México.
| Núm. de corte | Fecha de corte | †DDS | T máx (°C) | T mín (°C) | Lluvia acumulada (mm) |
|---|---|---|---|---|---|
| Ciclo otoño-invierno 2013-2014 | |||||
| 1 | 18/12/2013 | 75 | 23.5 | 7.2 | 64.0 |
| 2 | 20/01/2014 | 108 | 18.3 | 2.2 | 32.8 |
| 3 | 22/02/2014 | 141 | 24.7 | 3.5 | 0.0 |
| 4 | 27/03/2014 | 174 | 25.5 | 5.5 | 0.4 |
| 5 | 29/04/2014 | 207 | 28.0 | 8.3 | 0.0 |
| 6 | 02/06/2014 | 241 | 29.3 | 12.2 | 4.4 |
| Ciclo otoño-invierno 2014-2015 | |||||
| 1 | 30/01/2015 | 118 | 22.6 | 5.0 | 141.6 |
| 2 | 25/03/2015 | 172 | 21.3 | 5.3 | 119.2 |
| 3 | 22/04/2015 | 200 | 26.3 | 8.2 | 0.4 |
| 4 | 20/05/2015 | 228 | 27.6 | 9.8 | 3.2 |
| 5 | 23/06/2015 | 262 | 29.4 | 13.6 | 69.0 |
†DDS: días después de la siembra, T máx: temperatura máxima media y T mín: temperatura mínima media.
En el Ciclo 2 la densidad de siembra fue 40 kg de semilla ha-1 con el equipo Brillion SSPT 604 5®. La dosis de fertilización fue 96-70-00, distribuida en dos aplicaciones: una durante la siembra (27-70-00) y otra después del segundo corte (69-70-00) a los 177 DDS. La parcela experimental fue una franja de 2 m de anchura y 100 m de longitud (200 m2), con ocho repeticiones por tratamiento. El control de la maleza se realizó con 2,4-D amina.
Cuatro riegos de auxilio se aplicaron y la lluvia acumulada en el ciclo fue 333 mm (Cuadro 1). La humedad fue mayor que en el Ciclo 1. La combinación del riego y lluvias continuas entre la siembra y los cortes uno y dos dificultaron la fertilización y aplicación de herbicida.
La productividad se determinó mediante evaluaciones del rendimiento de forraje en cada corte, con muestras dentro de un cuadro metálico de 50 cmx50 cm (2500 cm2). Las plantas se cortaron a 5 cm del suelo. Las muestras de forraje verde y seco se pesaron en bolsa de papel en balanza con precisión de 0.01 g. El forraje se secó a 60 °C en estufa con circulación de aire forzado. Los rendimientos de forraje se expresaron en t ha-1. El resto del pasto de cada parcela experimental se cosechó (a 5 cm del suelo) luego del muestreo, con la máquina segadora (John Deere 530®), y se dejó rebrotar libremente hasta la siguiente fecha de corte.
En el Ciclo 1 se realizaron seis cortes de forraje, entre 75 y 241 DDS y en el Ciclo 2 solo cinco. Lo anterior se debió a la aplicación de riego y después lluvias invernales atípicas, abundantes (260.8 mm; Cuadro 1) y continuas, que retrasaron el crecimiento de los pastos, por esto los cortes se iniciaron 118 DDS y continuaron hasta los 262 DDS. El exceso de agua reduce el crecimiento de las plantas (NDS, 2007), debido principalmente a hipoxia y sus efectos negativos en la absorción de agua y nutrientes (Akhtar y Nazir, 2013).
En el Ciclo 1 se cortaron seis muestras equidistantes (muestreo sistemático con seis repeticiones) en la franja de cada variedad y en el Ciclo 2 se obtuvieron dos muestras en las cuatro franjas centrales de cada especie y variedad (muestreo sistemático con ocho repeticiones). El número mayor de repeticiones en el Ciclo 2 se debió a las condiciones del lote y la mayor superficie experimental.
La calidad de forraje se estableció con la composición química, fibras, lignina y degradación in vitro de la materia seca (DIVMS). Las muestras deshidratadas se trituraron en molino Wiley®, con criba de 1 mm. El contenido MS se obtuvo con secado a 100 °C a peso constante, proteína cruda (PC) con el método de Kjeldahl (AOAC, 1990), fibra detergente neutro (FDN) y ácido (FDA) y lignina (L) con ANKOM (2005).
Para DIVMS se usó líquido ruminal de dos bovinos machos (700 kg peso vivo) con cánula, alimentados con heno de alfalfa y concentrado comercial (12 % de proteína), la fase de fermentación se realizó en el incubador DaisyII (ANKOM Technology Corp. Macedon, NY, EUA), con el protocolo sugerido por el fabricante (ANKOM, 2011).
Los rendimientos del forraje verde y seco se analizaron separados con ANDEVA, para cada ciclo y fecha de corte, con un modelo completamente aleatorio con seis y ocho repeticiones en el Ciclo 1 y Ciclo 2. Las variables de calidad de forraje se analizaron con cuatro repeticiones de campo. Para diferencias estadísticas, la comparación de medias se realizó con Tukey (p≤0.05). Análisis de correlación se aplicó a los rendimientos de forraje verde y seco con temperaturas máximas y mínimas.
Resultados y Discusión
Rendimiento de forraje
En el Ciclo 1 el rendimiento de forraje verde varió (p≤0.05) significativamente en los cortes uno, cuatro y seis (Cuadro 2). En el primer corte Maximus y Matua mostraron los rendimientos mayor y menor (Figura 1A). En el seis, Green Perenne mostró el rendimiento mayor de forraje verde y Hércules el menor. En el Ciclo 2 el rendimiento de forraje verde varió (p≤0.05) en los tres cortes iniciales (Cuadro 3).
Cuadro 2 Cuadrados medios del análisis de varianza de los rendimientos de forraje verde y seco de pastos cultivados en la época seca del año del ciclo 2013-2014 en Durango, México.
| †F.V. | gl | Corte 1 | Corte 2 | Corte 3 | Corte 4 | Corte 5 | Corte 6 | ||||||
|---|---|---|---|---|---|---|---|---|---|---|---|---|---|
| FV | FS | FV | FS | FV | FS | FV | FS | FV | FS | FV | FS | ||
| Variedad | 3 | 1452.0 | 13.1 | 197.3 | 13.8 | 286.3 | 6.8 | 304.6 | 0.5 | 28.3 | 3.4 | 41.0 | 1.1 |
| ¶p | <0.0001 | 0.0025 | 0.1047 | 0.0036 | 0.0705 | 0.0894 | 0.0093 | 0.8551 | 0.4486 | 0.0718 | 0.0242 | 0.3021 | |
| Error | 20 | 110 | 2 | 85 | 2 | 105 | 3 | 61 | 2 | 31 | 1 | 11 | 1 |
| §C.V. (%) | 26 | 25 | 22 | 20 | 21 | 19 | 21 | 22 | 20 | 22 | 18 | 24 | |
†F. V.: fuentes de variación, gl: grados de libertad, FV: forraje verde y FS: forraje seco; ¶p: probabilidad; §C.V.: coeficiente de variación.

Figura 1 Rendimiento de forraje en pastos cultivados en Durango, México. A) Forraje verde 2013-2014, B) forraje verde 2014-2015, C) forraje seco 2013-2014 y D) forraje seco 2014-2015.
Cuadro 3 Cuadrados medios del análisis de varianza del rendimiento de forraje verde y seco en pastos cultivados en la época seca del año (2014-2015) en Durango, México.
| †F.V. | gl | Corte 1 | Corte 2 | Corte 3 | Corte 4 | Corte 5 | |||||
|---|---|---|---|---|---|---|---|---|---|---|---|
| FV | FS | FV | FS | FV | FS | FV | FS | FV | FS | ||
| Variedad | 3 | 181.7 | 1.7 | 3.4 | 206.1 | 436.8 | 10.2 | 29.3 | 2.3 | 14.9 | 1.4 |
| ¶p | <0.0001 | <0.0003 | <0.0001 | <0.0007 | <0.0001 | <0.0001 | 0.0713 | 0.0602 | 0.1230 | 0.0185 | |
| Error | 28 | 465.0 | 5.6 | 12.7 | 406.9 | 303.4 | 8.6 | 314.5 | 23.4 | 198.9 | 10.1 |
| §C.V. (%) | 19.4 | 9.5 | 14.8 | 26.4 | 17.7 | 20.0 | 22.1 | 28.5 | 22.2 | 27.3 | |
†F. V.: fuentes de variación, gl: grados de libertad, FV: forraje verde, FS: forraje seco, ¶p: probabilidad; §C.V.: coeficiente de variación.
El rendimiento de forraje seco en el Ciclo 1 mostró diferencia (p≤0.05) en los primeros dos cortes (Cuadro 2); Maximus y Hércules sobresalieron en el primero y Matua y Green Perenne en el segundo. Todos mostraron caída en los rendimientos de forraje verde y seco al final del invierno (Figuras 1A y 1C).
En el Ciclo 2 se detectaron diferencias (p≤0.05) en el forraje verde entre las variedades (Cuadro 3) en los primeros tres cortes y en forraje seco en todos los cortes (Figuras 1B y 1D). Green Perenne y Hércules sobresalieron por el rendimiento de forraje verde en los cortes uno y dos. Después, en el corte tres se observó incremento del rendimiento en Maximus y Hércules.
Matua mostró rendimiento menor de forraje verde y seco en los cortes uno a cuatro del Ciclo 2, debido al daño del herbicida aplicado; por esto, el resto de las variedades la superaron (Figuras 1B y 1D). El rendimiento acumulado de forraje seco de Matua fue 14.4 t ha-1 [con intervalo de 17.8 t ha-1 (Green Perenne) a 19.5 t ha-1 (Maximus)].
Los resultados del Ciclo 2 difirieron del Ciclo 1. En este último los rendimientos acumulados de forraje verde y seco fueron superiores a 242 y 39 t ha-1, con las mismas variedades de pastos. Las diferencias se debieron a las condiciones meteorológicas (Cuadro 1) y al manejo del cultivo. En el Ciclo 2 se registraron lluvias abundantes antes del primer corte y esto dificultó la fertilización y aplicación de herbicidas para el control de la maleza de hoja ancha.
En el Ciclo 1 la temperatura mínima se correlacionó negativamente con el rendimiento de forraje verde (r)=-0.73) y seco (r=-0.83) y la temperatura máxima también se correlacionó con el rendimiento de forraje verde (r=-0.58) y forraje seco (r=-0.57). En el Ciclo 2 el rendimiento de forraje seco mostró coeficiente de correlación mayor con la temperatura mínima (r=-0.90) y máxima (r=-0.89) y los coeficientes de correlación del rendimiento de forraje verde fueron menores con la temperatura mínima (r=-0.66) y máxima (r=-0.49). Así, la temperatura afectó la productividad forrajera de los cultivares. Este efecto fue reportado en otros estudios: la temperatura mínima afectó la tasa de respiración y redujo la acumulación de biomasa (Hatfield y Prueger, 2015).
Los pastos evaluados en el estudio produjeron hasta 242 t ha-1 y 39 t ha-1 de forraje verde y seco.
Calidad del forraje
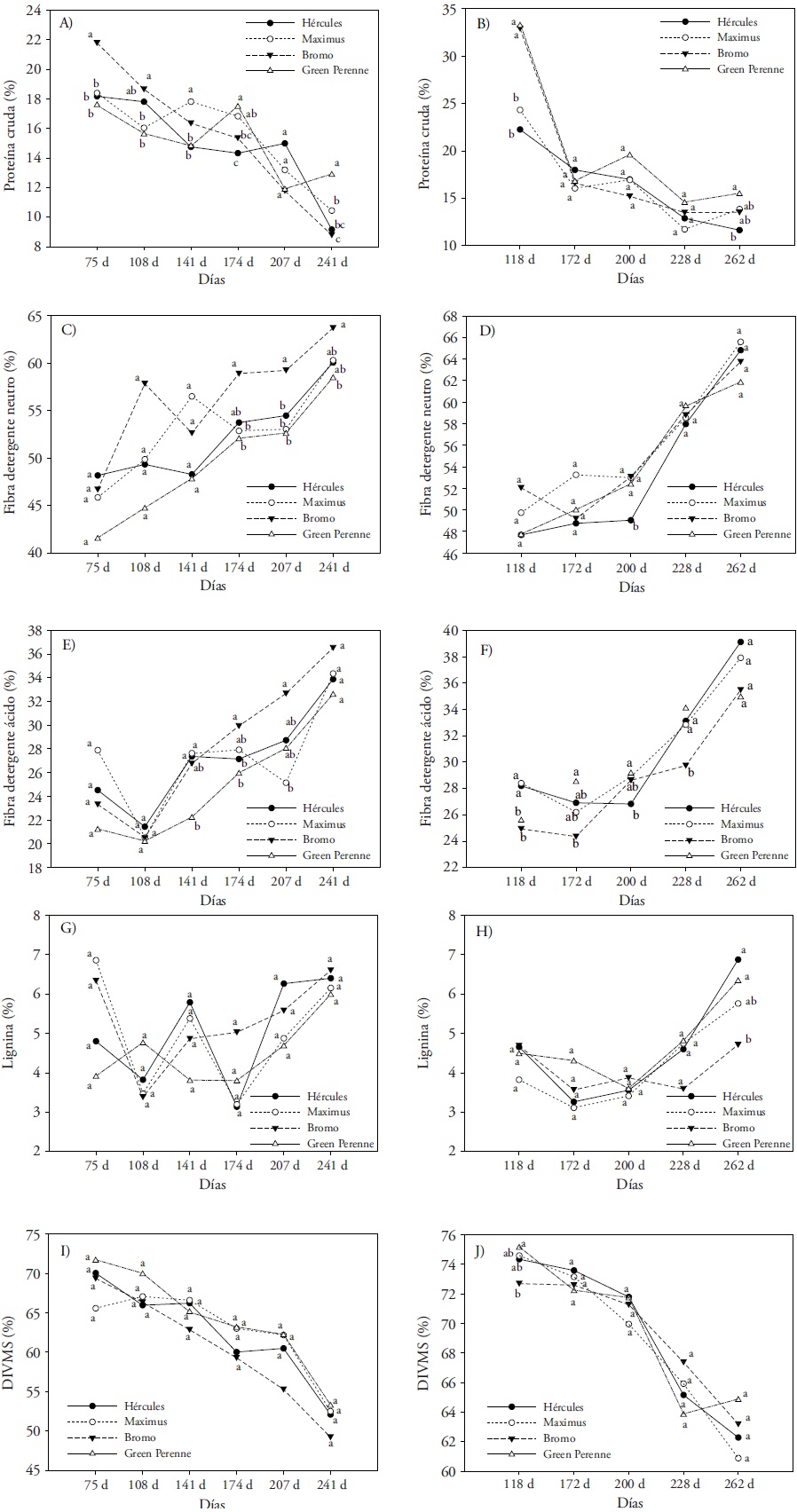
En el Ciclo 1 las variedades mostraron diferencias (p≤0.0009, p≤0.0024) en el contenido de proteína en la mayoría de los cortes (Cuadro 4). En el primer corte sobresalió Matua (con 21.8 %), debido al crecimiento menor de las plantas; Maximus, Hércules y la mezcla Green Perenne presentaron contenido estadísticamente inferior e igual entre ellos (Figura 2A). Maximus mostró rendimiento de forraje y contenido proteico alto, respecto al requerimiento del ganado bovino en crecimiento (16.0 %) (NRC, 2001).
Cuadro 4 Cuadrados medios del análisis de varianza de la calidad del forraje de pastos cultivados en la época seca del año (2013-2014) en Durango, México.
| †F. V. | gl | Corte 1 | Corte 2 | Corte 3 | Corte 4 | Corte 5 | Corte 6 |
|---|---|---|---|---|---|---|---|
| Proteína Cruda | |||||||
| Variedad | 3 | 7.4 | 6.5 | 8.6 | 8.0 | 4.4 | 6.7 |
| ¶p | 0.0024 | 0.0158 | 0.0021 | 0.0019 | 0.1515 | 0.0009 | |
| Error | 4 | 0.2 | 1.0 | 0.9 | 0.9 | 1.4 | 0.1 |
| §C. V. (%) | 2.4 | 5.9 | 6.1 | 5.8 | 9.2 | 3.2 | |
| Fibra detergente neutro (FDN) | |||||||
| Variedad | 3 | 16.6 | 60.7 | 33.8 | 19.8 | 19.2 | 10.2 |
| p | 0.2153 | 0.0777 | 0.1219 | 0.0228 | 0.0115 | 0.0210 | |
| Error | 4 | 7.1 | 12.2 | 9.3 | 1.9 | 1.2 | 0.9 |
| C. V. (%) | 5.8 | 6.9 | 5.9 | 2.5 | 2.0 | 1.6 | |
| Fibra detergente ácido (FDA) | |||||||
| Variedad | 3 | 15.6 | 0.6 | 13.2 | 5.9 | 19.6 | 5.6 |
| p | 0.1864 | 0.6247 | 0.0270 | 0.0399 | 0.0389 | 0.1583 | |
| Error | 4 | 6.0 | 0.9 | 1.4 | 0.8 | 2.6 | 1.9 |
| C. V. (%) | 10.1 | 4.6 | 4.5 | 3.2 | 5.6 | 16.8 | |
| Lignina | |||||||
| Variedad | 3 | 3.7 | 0.8 | 1.5 | 1.6 | 1.1 | 0.2 |
| p | 0.4820 | 0.1206 | 0.1403 | 0.3594 | 0.1287 | 0.9453 | |
| Error | 4 | 3.8 | 0.2 | 0.5 | 1.1 | 0.3 | 1.4 |
| C. V. (%) | 35.5 | 11.8 | 13.6 | 27.7 | 10.2 | 18.6 | |
| Digestibilidad in vitro de la materia seca (DIVMS) | |||||||
| Variedad | 3 | 13.2 | 6.2 | 5.4 | 7.6 | 20.6 | 5.8 |
| p | 0.6037 | 0.6528 | 0.8189 | 0.4285 | 0.3707 | 0.7674 | |
| Error | 4 | 19.2 | 10.5 | 17.4 | 6.5 | 14.9 | 14.8 |
| C. V. (%) | 6.3 | 4.8 | 6.4 | 4.2 | 6.4 | 7.4 | |
†F. V.: fuente de variación, gl: grados de libertad, p: probabilidad, §C.V.: coeficiente de variación.

Figura 2 Calidad del forraje de tres variedades y una mezcla comercial de pastos cultivados en Durango, México. Ciclo 1: A) proteína, C) FDN (fibra detergente neutro), E) FDA (fibra detergente ácido), G) lignina e I) DIVMS (digestibilidad in vitro de la materia seca). Ciclo 2: B) proteína, D) FDN, F) FDA, H) lignina, y J) DIVMS.
El contenido menor de proteína de Maximus, comparado con Matua, se relacionó con su precocidad y el retraso en el corte del forraje, el que se realizó con base en el crecimiento de todos los pastos del estudio. Maximus mostró valores altos del contenido de proteína en los cortes tres y cuatro. Por esto superó al resto de las variedades (tercer corte) y a Hércules y Matua en el cuarto corte. Los contenidos de proteína fueron menores en el último corte (entre 8.8 % en Matua y 12.9 % en Green Perenne).
En el Ciclo 2 el contenido de proteína difirió (p≤0.05) entre las variedades. En el primer corte el promedio fue 28.2 % (22.3 % a 33.2 %). Los valores descendieron y mostraron el promedio menor en el cuarto y quinto corte (13.2 y 13.6 %). El valor inferior (p≤0.05) lo presentó Hércules (Figura 2B). Todas las variedades disminuyeron el contenido de proteína durante los meses cálidos (abril y mayo), el desarrollo de la planta se aceleró, hubo lignificación de los tallos y tendencia a formar las espigas (Aganga, 2004; Velasco et al., 2005). A pesar de lo anterior, el contenido de proteína fue superior a 12.0 % en varios cortes. Esto reduce el requerimiento de suplemento para el ganado bovino, en relación con otros forrajes, en Durango, como maralfalfa (PC 5.1-12.7 %) (Ortiz et al., 2016).
El contenido de FDN fue similar (p˃0.05) entre las variedades, pero en los cortes cuatro, cinco y seis del Ciclo 1 mostró diferencia (p≤0.05); en el Ciclo 2 solo en el corte tres. Esto coincidió con las mayores temperaturas ambientales (Figura 2C y D). En el Ciclo 1 aumentó el contenido de FDN de 45.6 % en el primer corte a 60.7 % en el último. En el Ciclo 2 el valor promedio mayor en el primer corte fue 49.3 % y fue mayor que en el Ciclo 1 por el retraso en el desarrollo por las condiciones meteorológicas de la siembra en la primera cosecha. El valor mayor de FDN se registró en el último corte, que fue similar (p˃0.05) en todas las variedades, con promedio de 64.0 %. Todas las variedades aumentaron el contenido de FDN en los meses más cálidos (abril y mayo), debido al desarrollo acelerado y acumulación de carbohidratos estructurales, que dan soporte a las estructuras reproductoras (NRC, 2001).
El contenido de FDA fue similar (p˃0.05) entre las variedades en los cortes uno, dos y seis del Ciclo 1; pero, en el Ciclo 2 las diferencias se detectaron en los cortes uno al cuatro (Figura 2E y F). El contenido de FDA incrementó con el número de días después de la siembra. En el Ciclo 1 los valores promedio pasaron de 24.2 a 34.3 % (Figura 2E) y en el Ciclo 2 (Figura 2F) variaron entre 26.8 y 36.9 %. El incremento en el contenido de FDA influyó negativamente en la degradación del forraje. Por esto, el pasto debe cortarse cada 21 d y la acumulación de carbohidratos estructurales en los tallos será menor.
Los contenidos de FDN y FDA en Hércules y Maximus fueron similares a los reportados por Lozano et al. (2002) en la variedad Oregon de ballico anual, con valores promedio de 42.0 y 27.3 % en FDN y FDA. Ambos contenidos tendieron a aumentar con la madurez de la planta (Aganga, 2004); aunque, en los tres primeros cortes del Ciclo 1 y dos del Ciclo 2 los valores alcanzaron la categoría “buena calidad”; en ella el límite máximo de FDN es 52 % (Hércules y Green Perenne) y 32 % de FDA (todas las variedades) (Van-Soest, 1965).
En los dos ciclos el contenido de lignina no mostró diferencias (p˃0.05) entre las variedades, en la mayoría de los cortes. Los valores promedio aumentaron durante los meses más cálidos del año (Figura 2G y H). Por lo que los valores promedio en el Ciclo 1 pasaron de 5.5 % en el primer corte a 6.3 % en el último (241 DDS). El contenido de lignina fluctuó ampliamente, en especial en las variedades Maximus y Hércules, debido principalmente a su capacidad alta de crecimiento, oportunidad del corte y variaciones en la maduración de las estructuras de la planta. En el Ciclo 2 los valores promedio de lignina pasaron de 4.4 a 5.9 % y la fluctuación fue menor entre cortes (Figura 2H); aunque, en el corte número cinco el contenido de lignina se incrementó significativamente en Maximus (5.8 %), Green Perenne (6.3 %) y Hércules (6.9 %). El aumento de la temperatura tuvo un efecto positivo en la acumulación de lignina en todas las variedades, lo que redujo la calidad de forraje.
La DIVMS mostró diferencia (p≤0.05) entre variedades solo en el primer corte del Ciclo 2 (Figura 2I y J). En el Ciclo 1, el promedio de DIVMS se redujo de 69.2 % en el primer corte a 51.8 % en el último (241 DDS) (Figura 2I). En el Ciclo 2 DIVMS disminuyó de 74.2 % en el primer corte a 62.8 % en el último corte 262 DDS (Figura 2J). El incremento de la temperatura redujo la DIVMS, por lo que en los meses cálidos es recomendable disminuir el periodo entre cortes y así evitar la reducción de la calidad de forraje ocasionado principalmente por la acumulación de lignina.
Conclusiones
Las variedades de pasto ballico anual y la mezcla comercial de ballico perenne son opciones para producir forraje de calidad alta en la época seca del año en Durango. La mezcla Green Perenne y el pasto bromo variedad Matua son opciones para obtener forraje verde, con productividad baja en los primeros cortes y alta en los últimos. La calidad del forraje evaluado fue alta, por lo que la complementación proteica para el ganado bovino en crecimiento será baja.










texto en 


