SciELO - Scientific Electronic Library Online

 
 número58Diversidad y estructura de especies arbóreas en tres tipos de vegetación forestal al sur de Durango, MéxicoSupervivencia y crecimiento de una reforestación de seis especies del matorral espinoso tamaulipeco en el noreste de México índice de autoresíndice de materiabúsqueda de artículos
Home Pagelista alfabética de revistas  

Servicios Personalizados

Revista

Articulo

Indicadores

Links relacionados

  • No hay artículos similaresSimilares en SciELO

Compartir


Polibotánica

versión impresa ISSN 1405-2768

Polibotánica  no.58 México jul. 2024  Epub 22-Oct-2024

https://doi.org/10.18387/polibotanica.58.8 

Artículos científicos

Diversidad de la vegetación a través de un gradiente del humedal Oasis San Ignacio, Baja California Sur, México

Vegetation diversity through a humidity gradient of San Ignacio Oasis, Baja California Sur, Mexico

Nancy Silva Ávila1 
http://orcid.org/0009-0002-6777-998X

Francisco Javier Hernández1  * 
http://orcid.org/0000-0003-0480-624X

Juan Abel Nájera Luna1 
http://orcid.org/0000-0002-3989-3323

Carlos Enrique Aguirre-Calderón1 
http://orcid.org/0000-0003-4226-359X

1TecNM/Instituto Tecnológico de El Salto. División de Estudios de Posgrado e Investigación. El Salto, Durango, México


Resumen

La humedad del suelo es un factor ambiental importante que afecta la composición, diversidad y estructura de las comunidades vegetales. Considerando lo anterior, el objetivo de este estudio fue determinar los cambios de diversidad vegetal que ocurren entre la fuente de humedad del Oasis San Ignacio y el desierto circundante de Baja California Sur. El área de estudio se dividió en nueve franjas de 100 m de ancho, sobre las cuales se seleccionaron aleatoriamente 140 sitios de 500, 20 y 1 m2 para registrar las especies vegetales de los estratos arbóreos, arbustivos y herbáceos, respectivamente. Se estimaron los índices de riqueza, diversidad de Shannon-Weiner, dominancia de Simpson, equidad de Pielou y valor verdadero de especies y se evaluaron los cambios entre las franjas establecidas. A su vez, se estimó el índice cualitativo de similitud de especies de Sörensen, generándose dendrogramas para agrupar comunidades vegetales similares establecidas sobre el gradiente estudiado. La riqueza y diversidad de las especies del estrato herbáceo y arbústivo decrecen abruptamente a los 520 y 720 m del cuerpo de agua, respectivamente. La riqueza y diversidad de la vegetación del estrato arbóreo no presenta una tendencia definida. El índice de similitud permitió concentrar las especies del estrato herbáceo, arbustivo y arbóreo en 4, 5 y 3 grupos, respectivamente. Los análisis de diversidad, sugieren que las especies herbáceas y arbustivas son más sensibles a los cambios de humedad que las arbóreas.

Palabras clave Riqueza de especies; desierto; dendrograma; índices de Shannon; índice de Simpson; índice de Sorensen

Abstract

Soil humidity is an important environmental factor that affect composition, diversity and structure of the vegetal communities. The objective of the present study was to determine the diversity changes that occur over an environmental gradient limited by the source of water of the oasis San Ignacio and the adjoining desert of Baja California Sur, Mexico. The study area was divided in nine strips of 100 m width. Over them, there were randomly selected 140 plots of 500, 20 and 1 m2 to register the vegetal species present in the tree, shrub and herbaceous layers, respectively. Species richness, Shannon-Weiner diversity, Simpson dominance, Pielou equity and true species value indexes were estimated and compared between established strips. The qualitative index of Sörensen was estimated to evaluate species similitude and similar communities were grouped applying dendrograms. The species richness of the herbaceous and shrub layers falls abruptly at 520 and 720 m far away from the source of water. Species richness and diversity in the tree layer presented an undefined tendency. The similitude index allowed to concentrate the herbaceous, shrub and tree vegetation layers in 4, 5 and 3 clusters. This diversity analysis suggests to determine that herbaceous and shrub species are more sensitive to humidity changes than arboreal species.

Key words Species richness; desert; dendrogram; Shannon index; Simpson index; Sorensen index

Introducción

La formulación de planes de manejo y de conservación de especies vegetales, la explicación del desplazamiento temporal-espacial de especies como consecuencia de cambios ambientales naturales y antropogénicos y la estabilización de los componentes del ecosistema requieren del conocimiento de la relación que existe entre las especies y el medio ambiente. En este sentido, la composición y estructura de la vegetación se puede atribuir a la interacción de los factores ambientales atmosféricos y del suelo tales como radiación solar, temperatura, precipitación, humedad relativa del aire, propiedades físicas, químicas y biológicas del suelo, así como a la aplicación de tratamientos que se le da al suelo y a la vegetación con fines de restauración, protección, conservación y aprovechamiento (Mitsch & Gosselink, 2015; Olthoff et al., 2016). De igual manera, las funciones fisiológicas y las característics morfológicas de la vegetación contribuyen en la estabilización funcional del ecosistema, el cual es vulnerable a los cambios de diversidad (Schleuter et al., 2010).

Dentro de las zonas áridas se encuentran humedales conocidos como oasis, los cuales albergan vegetación natural e inducida que contrasta con la del desierto circundante. La diversidad de características hidro-geomorfológicas que existen entre el ambiente húmedo de los oasis y el seco del desierto propician variaciones ambientales que influyen de manera determinante en la riqueza, diversidad y estructura de la vegetación (León de la Luz & Domínguez, 2006). Particularmente, la disponibilidad de agua en el suelo es un factor determinante en la continuidad espacial y temporal de las especies vegetales (Anderson & Lockaby, 2011; Courtwright & Findlay, 2011). En el caso de las áreas que delimitan cada oasis, los factores ambientales tales como la radiación solar, temperatura, precipitación, elevación, pendiente y exposición presentan muy poca variación; en contraste, la humedad del suelo, por presentar mayor variación al ir disminuyendo de las áreas rivereñas del oasis a la parte circundante del desierto, puede relacionarse con los cambios de riqueza y diversidad de vegetación que suceden entre los cuerpos de agua que dan vida a los oasis y el límite inmediato del desierto circundante (Austin, 2002; Dubuis et al., 2013; Yao et al., 2021; Zeng et al., 2020).

En Baja California Sur se encuentra el Oasis San Ignacio, el cual, por su importancia en el desarrollo socioeconómico de la región y por los servicios ecosistémicos que aporta, ha sido estudiado como húmedal (Cariño-Olvera & Monteforte-Sánchez, 2018; Diaz & Troyo, 1997); sin embargo, son limitados los estudios que han evaluado los cambios en riqueza y diversidad de especies vegetales así como su distribución en función de fronteras delimitadas por algún gradiente que prevalece entre el área húmeda del oasis y la seca del desierto adyacente (Arriaga et al., 1977). Considerando lo anterior, el propósito del presente trabajo fue describir los cambios en la riqueza y diversidad de especies vegetales que ocurren a través del gradiente ambiental delimitado entre la fuente de abastecimiento de agua del Oasis San Ignacio del estado de Baja California y las áreas desérticas que lo delimitan y agrupar a la vegetación herbácea, arbustiva y arbórea por niveles de similitud.

Materiales y métodos

Área de estudio

El área del Oasis San Ignacio se ubica en el municipio de Mulegé, entre las Serranías de las Vírgenes San Francisco de la Sierra y la Sierra de Guadalupe, al norte del estado de Baja California Sur (Figura 1). La elevación promedio del oasis es de 135 m. Los márgenes del arroyo San Ignacio que dan forma al oasis, de una extensión aproximada de 2.6 km2, se encuentra poblado de vegetación mesófila representada por palmas nativas y no nativas, la cual contrasta con la vegetación xerófila del desierto adyacente.

Figura 1 Ubicación del área de estudio y de los sitios de muestreo. 

El oasis se encuentra dentro de la Región Hidrológica No. 2, Baja California Centro-Oeste, Cuenca San Ignacio, Lago San Ignacio-Arroyo San Raymundo (CONAGUA, 2018). De acuerdo a la clasificación climática de Köppen, modificada por García (2004), se encuentran dos tipos de climas: a) BWhw(x`) y b) BW(h`)hs(x); el primero, representando el 25% de la superficie del oasis, se caracteriza por ser muy árido y semicálido, mientras que el segundo, representando el 75% de la superficie, se caracteriza por ser muy seco semicálido, árido y cálido. En ambos, la temperatura promedio oscila entre los 18 y 22 0C y la precipitación media anual es cercana a los 100 mm. La presencia de la vegetación permite que las condiciones microclimáticas del oasis representadas por la temperatura, humedad relativa y viento se comporten casi constantes (López-Fuerte, 2009). De acuerdo a la Carta de Uso de Suelo y Vegetación (INEGI, 2013), en el área de estudio se encuentra vegetación de galería, matorral sarcocaule y agricultura de riego. Biogeográficamente, los humedales, y en particular el Oasis San Ignacio alberga especies de flora y fauna de afinidad mésica que contrasta con las biota del desierto. Las especies vegetales Washingtonia robusta H. Wendl. y Phoenix dactylifera L. son las especies de mayor valor estructural y fisiologico dentro del humedal. Los tipos de suelos predominantes del área de estudio se clasifican como Fluvisoles, Leptosoles y Regosoles.

Muestreo

Las corrientes de agua que dan origen a los oasis generan suelos rivereños con alto contenido de humedad, la cual va disminuyendo conforme se va alejando de la fuente de agua generando un gradiente de humedad. Considerando este gradiente en sentido perpendicular al río, se delimitaron nueve franjas longitudinales al cause del río de 100 m de ancho. Dentro de las nueve franjas se distribuyeron de manera aleatoria 140 sitios circulares de 500 m2 sobre los cuales se anidaron al centro del sitio el mismo número de sitios circulares de 20 m2 y cuadrados de 1 m2 (Figura 1). Dentro de los sitios de 500 m2 se registraron las especies presentes en el estrato arbóreo y en los de 20 m2 las especies presentes en el estrato arbústivo (incluye las especies de tipo arbóreo cuya altura total no rebasa la altura máxima de las de tipo arbustivo). En los sitios de 1 m2 se registraron las especies de tipo herbáceo presentes dentro de los meses de julio-septiembre, periodo en que se realizó el inventario, así como las de tipo abustivo y arbóreo que se encuentran en la etapa de regeneración.

Debido a que la distribución de los sitios sobre el área del oasis se realizó de manera aleatoria, el tamaño de muestra varío entre las franjas; sin embargo, éste fue suficiente para registrar a todas las especies presentes dentro de cada una de ellas (Tabla 1). La identificación de las especies se realizó apoyandose en información disponible en FOMIX-2018, (2018), Carabias-Lilo et al. (2000), León de la Luz & Coria Benet (1992) por personal que labora en el Proyecto BIOCOMUNi.

Tabla 1 Descriptor de cada franja, distancia a la corriente de agua y tamaño de muestra.Table 1. Descriptor of each strip, distance to the water flow and sampling size. 

Franja Distancia a la corriente de agua No. sitios
A 0-20 m 20
B 120-220 m 28
C 220-320 m 25
D 320-420 m 15
E 420-520 m 15
F 520-620 m 8
G 620-720 m 8
H 720-820 m 9
I 820-920 m 8

Análisis

Utilizando el software PAST v4.15 (Hammer, 2023), se estimaron los índices de riqueza de especies ( S), de diversidad de Shannon-Weiner (H') el cual mide el grado promedio de incertidumbre de predecir a que especie pertenecerá un individuo escogido al azar de un grupo, dominancia de Simpson (λ), equidad de Pielou (J') y valor verdadero de especies (H'1) de cada una de las franjas aplicando las siguientes fórmulas:

H'=-piln(pi)

λ=1-pi2

J'=H'ln(S)

H'1=exp(H'

donde: pi=abundancia proporcional de cada especie, ln= logaritmo natural y S= número de especies

Los índices de diversidad que se estimaron en cada uno de los niveles del gradiente de humedad de cada tipo de vegetación se compararon entre sí considerando el traslape de los intervalos de confianza a un nivel de significancia de 0.05 aplicando las formulas:

ICλ=λ-±1.96var(λ)

ICH'=H-'±1.96var(H')

donde: ICλ y ICH'=intervalos de confianza de los índices de diversidad Simpson y de Shannon-Weiner; λ- y H-'= promedios de los índices de diversidad de Simpson y Shannon-Weiner; var(λ) y varH'= varianzas de los índices de diversidad de Simpson y Shannon-Weiner, respectivamente.

Los promedios y los errores estándar de los índices de diversidad de Simpson y Shannon-Weiner utilizados en el cálculo de los intervalos de confianza se estimaron siguiendo la metodología de los análisis de rarefacción, los cuales permiten estimar el promedio y los errores estándar de los indicadores de diversidad a través del procedimiento de simulación bootstrap.

En otro orden de ideas, el grado de semejanza de especies entre las diferentes franjas que dividieron el gradiente delimitado se determinó aplicando el indice de similitud/disimilitud cualitativo de Sörensen (IS).

IS=2c(a+b)

donde: a= número de especies de la comunidad del nivel A, b= número de especies en la comunidad del nivel B y c= número de especies comunes a ambas comunidades comparadas.

A su vez, se realizaron dendrogramas para determinar y visualizar de manera simultánea la similitud de especies entre los pares y grupos de franjas.

Resultados

Riqueza y Diversidad

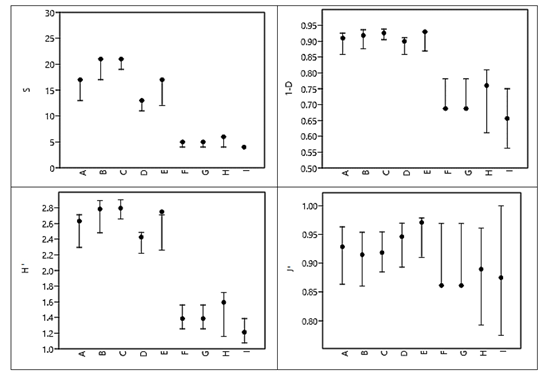
La cantidad de especies del estrato herbáceo presentes sobre el gradiente estudiado varío de 4 a 21, el índice de dominancia de Simpson de 0.72 a 0.93 y el de diversidad de Shannon-Wiener de 1.33 a 2.80. La conversión del índice de Shannon-Wiener a número de especies, señala que el valor verdadero de especies entre los niveles varía de 4 a 16. A su vez, el índice de Pielou (J'>0.89), permite deducir que el número de individuos por especie tiende a ser homogéneo en cada nivel del gradiente (Tabla 2).

Tabla 2 Índices de riqueza y diversidad de especies del estrato herbáceo.Table 2. Species richness and diversity indexes of the herbaceous stratum. 

Índices1 Franjas
A B C D E F G H I
S 17 21 21 13 17 5 5 6 4
λ 0.91 0.92 0.93 0.90 0.93 0.80 0.78 0.76 0.72
H´ 2.63 2.79 2.80 2.43 2.75 1.61 1.56 1.59 1.33
J´ 0.93 0.91 0.92 0.95 0.97 0.97 0.97 0.89 0.96
H'1 14 16 16 11 16 5 5 5 4

1S= riqueza de especies; λ= índice de Simpson; H´= índice de Shannon-Wiener; J´= índice de Pielou; H'=1 valor verdadero de especies de Shannon-Wiener

Aunque la riqueza y la diversidad de especies del estrato herbáceo tienden a disminuir a partir de los 220 m de distancia del cuerpo de agua (franja C), se observa que estos indicadores de diversidad disminuyen de manera abrupta al sobrepasar los 420 m (franja E) (Figura 2). De manera particular, se observó que el intervalo de confianza de la riqueza de especies presente dentro de los 0 a 20 m (franja A) se traslapa con los estimados en las franjas de los niveles B, D y E ubicados entre los 20 a 120, 220 a 320 y 320 a 420 m de distancia del cuerpo de agua, respectivamente. A su vez, el intervalo de confianza de la riqueza de especies estimado para la franja B se traslapa con los estimados en las franjas C y E, mientras que los estimados en las franjas D y E así como los que corresponden a las franjas F, G, H e I que se ubicaron entre los 420 y 820 m de distancia del cuerpo de agua también se traslapan, indicando que no existe diferencia significativa (α=0.05) en la riqueza y diversidad de especies entre ninguno de ellos.

Figura 2 Intervalos de confianza de los índices de riqueza, diversidad y equidad del estrato herbáceo. 

El intervalo de confianza del índice de Simpson generó resultados similares a los de Shannon-Wiener, excepto entre la diversidad de especies presente entre los 0 a 20 m (franja A) y 120 a 220 m (franja C), las cuales presentaron diferencias significativas entre sí (Figura 3). De acuerdo a los intervalos de confianza del índice de Simpson, no existe diferencia significativa en la dominancia y diversidad de especies entre las franjas ubicados dentro de los primeros 420 m de distancia del cuerpo de agua (franjas A, B, C, D y E), ni entre las delimitadas entre los 520 a los 820 m de distancia de cuerpo de agua (franjas F, G, H, I). Las estimaciones puntuales del índice de Pielou varían entre franjas; sin embargo, el traslape de los intervalos de confianza indican que el número de individuos por especies es significativamente similar entre ellas.

Figura 3 Intervalos de confianza de los índices de riqueza, diversidad y equidad de las franjas del estrato arbustivo. 

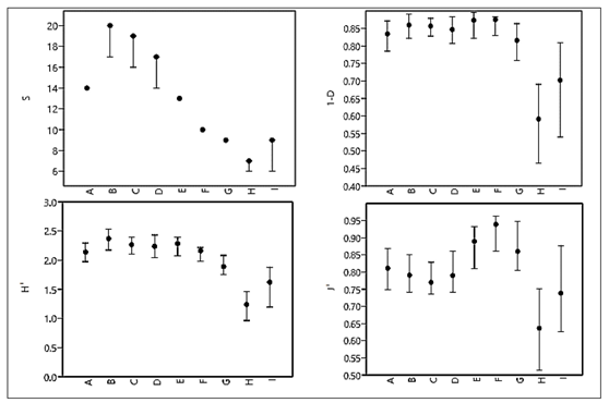
Con relación a los índices de riqueza y diversidad de especies del estrato arbustivo, éstos son menores a los estimados en el estrato herbáceo, pero mayores al estrato arbóreo. Al igual que en el estrato herbáceo, en este estrato la riqueza y diversidad de especies disminuyen a medida que las franjas se van alejando del río que alimenta de agua al oasis. La riqueza de especies varía de 7 a 20, la diversidad de Simpson y Shannon-Weiner, de 0.59 a 0.87 y de 1.24 a 2.37, respectivamente, y el índice de equidad de Pielou de 0.63 a 0.94. Los valores verdaderos de las especies asociados al índice de Shannon-Wiener varían de 3 a 11 (Tabla 3).

Tabla 3 Índices de riqueza y diversidad de especies del estrato arbustivo.Table 3. Species richness and diversity indexes of the brushy stratum. 

Índices1 Franjas
A B C D E F G H I
S 14 20 19 17 13 10 9 7 9
λ 0.83 0.86 0.85 0.84 0.87 0.87 0.82 0.59 0.70
H´ 2.14 2.37 2.27 2.23 2.28 2.16 1.89 1.24 1.62
J´ 0.81 0.79 0.77 0.79 0.89 0.94 0.86 0.63 0.73
H'1 8 11 10 9 10 9 7 3 5

1S= riqueza de especies; λ= índice de Simpson; H´= índice de Shannon-Wiener; J´= índice de Pielou;

H'=1 valor verdadero de especies de Shannon-Wiener

A su vez, en la Figura 3 se observa que no existe diferencia significativa en la riqueza de especies entre las franjas ubicadas entre los 20 y 320 m de distancia del cuerpo de agua (franjas B, C y D); sin embargo, la riqueza de especies disminuye a medida que las comunidades se van alejando del cuerpo de agua. Los índices de diversidad y de dominancia de Shannon-Wiener y Simpson así como el de homogeneidad de Pielou indican que la diversidad de especies se mantiene significativamente igual hasta los 620 m de distancia (franjas A, B, C, D, E F, G).

En el estrato arbóreo, la cantidad de especies y los índices de diversidad son significativamente menores a los estimados en los estratos herbáceo y arbustivo. En este estrato, la cantidad de especies registrada varió de 5 a 14, el índice de Simpson de 0.60 a 0.82, el de Shannon-Wiener de 1.11 a 2.21 y el de Pielou de 0.62 a 0.89. El valor verdadero de especies varía de 3 a 9 (Tabla 4).

Tabla 4 Índices de riqueza y diversidad de especies del estrato arbóreo.Table 4. Species richness and diversity of the arboreal stratum. 

Índices1 Niveles del gradiente
A B C D E F G H I
S 9 12 10 14 12 5 12 8 8
λ 0.70 0.79 0.74 0.74 0.82 0.61 0.80 0.60 0.81
H´ 1.38 1.82 1.62 1.79 1.95 1.11 2.21 1.85 1.25
J´ 0.63 0.74 0.71 0.67 0.78 0.68 0.89 0.62 0.89
H'1 4 6 5 6 7 3 9 6 3

1S= riqueza de especies; λ= índice de Simpson; H´= índice de Shannon-Wiener; J´= índice de Pielou; H'=1 valor verdadero de especies de Shannon-Wiener

Es importante señalar que en este estrato los indicadores de la riqueza de especies no presentan ninguna tendencia definida con relación al gradiente evaluado. Sin embargo, en términos de diversidad, ésta tiende a ascender hasta los 420 m de distancia; a partir de ese punto no se presenta ninguna tendencia (Figura 4). Independientemente de lo anterior, la riqueza y diversidad de especies estimada en la zona ribereña (nivel A) siempre fue menor en cada uno de los estratos.

Figura 4 Intervalos de confianza de los índices de riqueza, diversidad y equidad del estrato arbóreo.Figure 4. Confidence intervals of species richness, diversity and equity indexes of the arboreal stratum 

Similitud de especies

La similitud de especies del estrato herbáceo decrece a medida que la distancia a la fuente de abastecimiento de agua al oasis incrementa, indicando que la composición de especies de este estrato cambia a través del gradiente. En este estrato, la máxima similitud de especies fue igual a 0.63 y se presentó entre las franjas A y C, mientras que la mínima registrada con un valor de similitud de 0.10 ocurrió entre la primera y última franja. La cantidad de especies compartidas de este estrato disminuyó abruptamente a partir de los 420 m (Índice de Sörensen = 0.27) de distancia del cuerpo de agua. En contraste con la tendencia de la similitud de especies reportada para las especies herbáceas, las similitudes de especies arbustivas y arbóreas, respectivamente, no presentan una tendencia definida conforme las franjas se van alejando de la fuente de agua. En estos dos estratos, el cambio de especies entre franjas no es tan severo como la estimada en el estrato herbáceo, pudiendo afirmar que la proporción de especies presentes entre la primera franja en relación a las subsecuentes se mantiene más constante en comparación con la estimada para la vegetación del estrato inferior. La similitud de especies estimada en el estrato arbustivo que se encuentran entre los 0 y 20 m (franja A) con relación a las que se registraron en las diferentes distancias a lo largo del gradiente, varío de 0.35 a 0.58 (Tabla 6), mientras que la del estrato arbóreo varío de 0.29 a 0.61 (Tabla 6).

(Tabla 5).

Tabla 5 Índices de similitud de Sörensen de los estratos herbáceo, arbustivo y arbóreo.Table 5. Sörensen similitude indexes of the herbaceous, brushy and arboreal stratums. 

Franjas Estratos
Herbáceo Arbustivo Arbóreo
A vs B 0.53 0.41 0.48
A vs C 0.63 0.48 0.53
A vs D 0.53 0.58 0.61
A vs E 0.42 0.37 0.57
A vs F 0.27 0.42 0.29
A vs G 0.27 0.35 0.48
A vs H 0.35 0.38 0.35
A vs I 0.10 0.43 0.47

Tabla 6 Especies arbóreas presentes en el Oasis San Ignacio por franjas.Table 6. Arboreal species present in the San Ignacio Oasis by strips. 

Especies Franjas del
Primer Grupo
Franja
Intermedia
Franjas del
Segundo Grupo
A B C D E F G H I
Ferocactus peninsulae (F.A.C. Weber)
Britton & Rose
X X X X X X
Pachycereus pringlei (S. Watson) Britton
& Rose
X X X X X X X X
Cylindropuntia alcahes (F.A.B. Weber)
F.M. Kunth
X X X X
Bursera hindsiana (Benth.) Engl. X X
Yucca valida Brandegee X X
Parkinsonia microphylla Torr. X X X X
Lophocereus schottii (Engelm.) Britton &
Rose
X X X X
Larrea tridentata (Moç & Seseé ex DC.)
Coville
X
Acacia peninsularis (Britton & Rose) Standl. X X X
Jatropha cinerea (Ortega) Müll. Arg. X X X X X X
Prosopis articulata S. Watson X X X X X X X X
Phoenix dactylifera L. X X X X X X X
Washintonia robusta H. Wendl. X X X X X X X
Fouquieria diguetii (Tiegh.) I. M. Johnst. X X X X X X X
Lysiloma candidum T. S. Brandegee X
Olneya tesota A. Gray X X X
Stenocereus gummosus (Engelm.) Gibson
& Horak
X X X X
Stenocereus thurberi (Engelm.) Buxb. X X
Bursera microphylla A. Gray X X X X X X X
Mimosa xantii A. Gray X X
Mammillaria dioica (R.T. Craig bis) D. R.
Hunt
X X

Los dendrogramas generados a partir del coeficiente de similitud de Sörensen muestran que los grupos vegetales del estrato herbáceo de las franjas A-B y C-D presentan indicadores de similitud de especies semejantes. En este estrato Prosopis articuata S. Watson, Jatropha cuneata Wiggins & Rollins, Stenotaphrum secundatum (Walter) Kuntze, Acacia peninsularis (Britton & Rose) Standl. y Euphorbia lomelii V. W. Steinm tienen presencia en las cuatro franjas mencionadas, mientras que Cylindropuntia alcahes (F.A.C. Weber) F.M. Knuth, Jatropha cinerea (Ortega) Muell. Arg., Washingtonia robusta H. Wendl., Anemopsis californica (Nutt.) Hook. & Arn., Ambrosia bryantii (Curran) Payne, Dactyloctenium aegyptium (L.) Link y Masembryanthemum crystallinum L. están presentes en tres de las cuatro franjas. Por su parte, Gnaphalium bicolor (Franch.) Diels y Melochia tomentosa L., se encuentran en las franjas A y B, Typha domingensis Pers., en las franjas A y C, Pennisetum ciliare (L.) Link y Ambrosia monogyra (Torr. & A. Gray) Strother & B. G. Baldwin en las franjas B y C. A su vez, la vegetación presente entre los 320 y 420 m (franja E) de distancia del cuerpo de agua tiene una similitud con las franjas A, B, C y D de 0.42 uniéndose a este grupo de especies. Las franjas dispuestas entre los 420 y 720 m de distancia del cuerpo de agua (F, G, H), respectivamente, con un índice de similitud de especies igual a 0.47 determinan otro grupo de especies. Dentro de este grupo, las comunidades vegetales presentes entre los 520 a 720 m de distancia del cuerpo de agua (franjas G y H) presentan una similitud de 0.55. En este grupo de especies dominan Prosopis articuata y Cylindropuntia alcahes. La franja más alejada de la fuente de agua del oasis (franja I) presenta un índice de similitud bajo por lo que no se integra a ninguno de los dos grupos de franjas definidos con anterioridad (Figura 6).

Figura 6 Dendrograma del índice de similitud de Sörensen para el estrato herbáceo.Figure 6. Sörensen similitude index dendrogram of the herbaceous stratum. 

En la Figura 7 se observa la integración de tres grupos de franjas en el estrato arbustivo. El primer grupo integrado por las franjas B, C y D presenta un índice de similitud igual a 0.61, mientras que el segundo formado por las franjas E y F tienen una similitud de 0.52. El tercer grupo formado por las franjas G y H, con mayor proporción de especies compartida, presentan un índice de similitud de 0.75. A su vez, las especies compartidas de la franja más próxima (A) y de la más alejada al cuerpo de agua (I) presentan los menores índices de similitud de la vegetación arbustiva.

Figura 7 Dendrograma del Índice de similitud de Sörensen para el estrato arbustivo. 

En este estrato Cylindropuntia alcahes (F. A. B. Weber) F. M. Kunth, Larrea tridentata (Moc. & Seseé ex DC.) Coville, Jatropha cinérea, Jatropha cuneata, Prosopis articulata tienen presencia prácticamente en todo el área del oasis. En contraste, Gnaphalium bicolor (Franch) Diels, Baccharis salicifolia (Ruíz & Pavón) Pers. y Tamarix ramosissima Ledeb., Pachycereus pringlei (S. Watson) Britton & Rose, Callaeum macropterum (Moc. & Sesee ex DC) D. M. Johnson, Encelia farinosa Torr. & A. Gray, Melonchia tomentosa L., Hyptis laniflora Benth. y Cardiospermum corindum L., solo se registraron dentro de los primeros 120 m de distancia de la fuente de agua del oasis, mientras que Ferocactus peninsulae (F. A. C. Weber) Britton & Rose, Atripex canescens (Purch) Nutt., L. Formosa brandegee y Prityle incompta Brandegee tienen presencia en al menos una de las tres franjas más alejadas de la fuente de agua (franjas G, H, I). Por otro lado, Euphorbia lomelii V. W. Steinm, Corynopuntia invicta Brandegee F. M. Kunth, Ambrosia bryantii (Curran) Payne, Bursera hindsiana (Benth.) Engl, Bursera microphylla A. Gray, Lycium brevipes Benth., L., Maytenus phyllanthoides Benth., Acacia peninsulares, Parkinsonia microphylla Torr., Parkinsonia aculeata L, Lippia formosa Brandegee, Phoenix dactylifera, Washingtonia robusta, Fouqueria diguetii (Tiegh.) I. M. Johnst, Stenocereus gummosus (Engelm.) Gibson & Horak, Phragmites australis (Cav.) Steud, Polygala apopetala Brandegee y Stenocereus thurberi (Engelm.) Buxb son especies presentes en al menos una de las franjas intermedias C, D, E y F del oasis.

De acuerdo a los indices de similitud de Sörensen, la vegetación del estrato arbóreo se fusiona formando tres grupos floristicos bien diferenciados; el primer grupo lo forman las especies que se encuentran dentro de los primeros 420 m de distancia del cuerpo de agua (ISA-B-C-D-E = 0.54), el segundo las especies presentes en la franja F y el último las especies presentes entre los 520 a los 820 m de distancia al cuerpo de agua (ISG-H-I = 0.55).

Dentro del primer grupo, la mayor similitud se presenta entre las franjas contiguas D y E que se encuentran entre los 220 y 420 m de distancia del cuerpo de agua (ISD-E = 0.78). Al incorporarse las comunidades vegetales ubicadas en las frnjas A, B y C a las comunidades de las franjas D y E, el índice de similitud disminuye hasta 0.54. A su vez, la máxima similitud registrada en el segundo grupo se presentó entre las comunidades que se encuentran entre los 520 y 720 m de distancia del cuerpo de agua (ISG-H = 0.70) (Figura 8).

Figura 8 Dendrograma del índice de similitud de Sörensen del estrato arbóreo. 

En la Tabla 6 se puede observar la distribución de las especies arbóreas en cada uno de los grupos. De las 25 especies arbóreas registradas en el oasis, 24 están presentes en el primer grupo, 5 en el segundo grupo y 20 en tercero. La especie no presente en el primer grupo fue Lysiloma candidum y en el segundo grupo fueron Bursera hindsiana, Yucca valida, Larrea tridentata, Acacia peninsularis y Mimosa xantii. Las especies arbóreas más abundantes en el primer grupo y con presencia en todas las franjas fueron Pachycereus pringley, Prosopis articulata y Bursera microphylla. A su vez, Phoenix dactylifela y Washintonia robusta, especies con mayor abundancia en el primer grupo, solo estuvieron ausentes en las franjas H e I, franjas más alejadas de la fuente de agua.

Discusión

De manera general, los resultados de este estudio indican que la riqueza y diversidad de las especies de los estratos herbáceos y arbustivos disminuyen en función del incremento de la distancia al cuerpo de agua, mientras que la equidad no presenta una tendencia definida, resultados que son congruentes con los reportados por Chaturvedi & Raghubanshi (2018). Ellos mencionaron que la diversidad de especies herbáceas, arbustivas y arbóreas en un bosque deciduo seco decreció a medida que el contenido de humedad del suelo disminuyó, siendo ésta más severa en las especies del estrato herbáceo que en los estratos arbustivos y arbóreos. De acuerdo a Sheil (1999), los cambios ambientales drásticos pueden ser letales para muchas especies, las cuales desaparecen o pueden ser reemplazadas por otras más resistentes al estrés ambiental cambiando la riqueza y diversidad, fenómeno que se presentó en la franja E, ubicada entre los 320 y 420 m de distancia al cuerpo de agua. A esta distancia, la riqueza y diversidad de especies del estrato herbáceo disminuyó drásticamente, sugiriendo que un alto porcentaje de las especies presentes en este estrato que se desarrollan dentro del oasis presentan distrés hídrico y/o limitaciones en el crecimiento de las raíces, inhibiendo su acceso a la profundidad en que se encuentre la humedad. La humedad permanente del suelo dentro del oasis y su disponibilidad a profundidades donde las plantas tengan la posibilidad de obtenerla, favorece el establecimiento de un mayor número de especies, mientras que la falta de disponibilidad limita la presencia de muchas ellas. En las zonas desérticas, los horizontes más próximos a la superficie del suelo favorecen el establecimiento y desarrollo de las plantas que presentan mecanismos de respuesta al estrés hídrico, inhibiendo la presencia de las que requieren mejores condiciones de humedad. En este sentido, Wang et al. (2017) señalan que el contenido de humedad del suelo tiene un alto efecto en la estabilidad de las comunidades vegetales, la diversidad y redundancia, así como en la diversidad de especies. Por su parte, Token et al. (2022) confirman que la intensificación del estrés del agua es la razón principal en la reducción de la diversidad de las plantas. Estos autores mencionan que los índices de diversidad de Shannon-Wiener y Simpson incrementan con la humedad del suelo mientras que el de equidad disminuye, indicando que la diversidad de especies es susceptible a los factores del suelo y que la vegetación tiende a adaptarse a las condiciones de estrés.

Por su parte, los análisis de similitud de especies permiten reafirmar que existe un cambio de especies a lo largo del gradiente estudiado. Si se considera que la temperatura, precipitación y radiación solar son similares sobre el gradiente estudiado, los cambios de la riqueza y diversidad de especies se pueden atribuir a la variación del contenido de humedad del suelo a lo largo del gradiente, inhibiendo la presencia de algunas y el reemplazo de otras. En el caso de este estudio, la presencia de Jatropha cuneata, Jatropha cinérea, Prosopis articulata, Washingtonia robusta, Phoenix dactylifera, Pachycereous pringlei, Larrea tridentata y Cylindropuntia alcahes sobre un alto espectro del gradiente de humedad estudiado indica que son especies que están adaptadas a diferentes condiciones de humedad; en contraste, el complemento de las especies registradas se relaciona con niveles de humedad del suelo altos o bajos. En este sentido, Euphorbia lomelii, Stenotaphrum secundatum, Acacia peninsularis, Dactyloctenium aegyptium, Mesembryanthemum crystallinum y Anemopsis califórnica, con solo presencia dentro de las primeras cuatro franjas estudiadas, indican su adaptabilidad a ambientes de suelos más húmedos.

De manera particular, la similitud de especies entre franjas en el estrato herbáceo fue menor que la que se presentó en los estratos arbustivo y arbóreo; de la misma manera, la similitud de especies entre franjas fue menor en el estrato arbustivo que en el estrato arbóreo, coincidiendo en que las especies arbóreas son más resistentes a los cambios ambientales que las arbustivas.

Conclusiones

La riqueza y diversidad de especies en cada uno de los estratos disminuye conforme las áreas se van alejando de la fuente de agua del oasis, siendo más sensible el cambio en el estrato herbáceo. En este estrato, la riqueza y diversidad de especies cambio drásticamente a los 420 m de distancia del cuerpo de agua. A su vez, la homogeneidad en el número de individuos por especies permaneció constante a través del gradiente estudiado. Los análisis de los índices de similitud y los dendogramas reafirman que la composición de especies cambia a lo largo del gradiente, observándose la integración de cuatro grupos de especies bien definidos en los estratos herbáceos, cinco en el estrato arbustivo y tres en el estrato arbóreo.

Agradecimiento

Los autores desean agradecer a la CONAFOR y al FMCN por el apoyo otorgado para la obtención de información de campo, así como al TecNM a través del Instituto Tecnológico de El Salto por facilitar la realización de este proyecto.

Literatura citada

Anderson, C. J., & Lockaby, B. G. (2011). Forested wetland communities as indicators of tidal influence along the Apalachicola River, Florida, USA. Wetlands, 31(5), 895-906. https://doi.org/10.1007/s13157-011-0204-5 [ Links ]

Arriaga L., Días Castro S., Domínguez Cardenas, R., & León-de la Luz, J. L. (1977). Composición florística y vegetación. In: Arriaga Laura & Rodríguez Estrella Ricardo (Eds.), Los Oasis de la Península de Baja Californía (pp. 69-80). Centro de Investigaciones Biológicas del Noroeste. file:///Users/franciscojavier/Downloads/1606%20LOS%20OASIS%20DE%20LA%20PENINSULA%20DE%20BAJA%20CALIFORNIA%20(6).pdf [ Links ]

Austin, M. P. (2002). Spatial prediction of species distribution: an interface between ecological theory and statistical modelling. Ecological Modelling, 157(2-3), 101-118. https://doi.org/10.1016/S0304-3800(02)00205-3 [ Links ]

Carabias L., J., Provencio, E., De la Maza, E. J., Gutiérrez Carbonell, D., Gómez Cruz, M., & Sánchez Sotomayor, V. (2000). Programa de Manejo de la Reserva de la Biosfera El Vizcaino (1st ed.). Instituto Nacional de Ecología. https://www.conanp.gob.mx/datos_abiertos/DGCD/49.pdfLinks ]

Cariño Olvera, M. M., & Monteforte Sánchez, M. (2018). La historiografía ambiental sudcaliforniana y la sustentabilidad local. Historia Ambiental Latinoamericana y Caribeña (HALAC) Revista de La Solcha, 8(2), 14-41. https://doi.org/10.32991/2237-2717.2018v8i2.p14-41 [ Links ]

Chaturvedi, R. K., & Raghubanshi, A. S. (2018). Effect of soil moisture on composition and diversity of trees in tropical dry forests. MOJ Ecology & Environmental Sciences, 3(1), 1-3. https://doi.org/10.15406/mojes.2018.03.00059 [ Links ]

CONAGUA. (2018). Atlas del agua en México. In: Secretaría de Medio Ambiente y Recursos Naturales. Comisión Nacional del Agua. https://files.conagua.gob.mx/conagua/publicaciones/Publicaciones/AAM2018.pdf [ Links ]

Courtwright, J., & Findlay, S. E. G. (2011). Effects of microtopography on hydrology, physicochemistry, and vegetation in a tidal swamp of the Hudson river. Wetlands, 31(2), 239-249. https://doi.org/10.1007/s13157-011-0156-9 [ Links ]

Diaz, S., & Troyo, E. (1997). Balance hidrológico y análisis de la aridez. In: L. Arriaga & R. Rodríguez Estrella (Eds.), Los Oasis de la Peninsula de Baja California (pp. 35-50). Centro de Investigaciones Biológicas del Noroeste, S.C. Centro de Investigaciones Biológicas del Noroeste. [ Links ]

Dubuis, A., Giovanettina, S., Pellissier, L., Pottier, J., Vittoz, P., & Guisan, A. (2013). Improving the prediction of plant species distribution and community composition by adding edaphic to topo-climatic variables. Journal of Vegetation Science, 24(4), 593-606. https://doi.org/10.1111/jvs.12002 [ Links ]

FOMIX-2018. (2018). Oasis Baja California Sur. íNaturalist. https://mexico.inaturalist.org/projects/fomix-2018-oasis-baja-california-surLinks ]

García, E. (2004). Modificaciones al sistema de clasificación climática de Köppen (Vol. 6). Universidad Autónoma de México. [ Links ]

Hammer, Ø. (2023). PAleontological STatistics Version 4.15. [ Links ]

INEGI. (2013). Conjunto de datos vectoriales de uso de suelo y vegetación escala 1:250000. [ Links ]

León de la Luz, J. L., & Coria Benet, R. (1992). Flora iconográfica de Baja California Sur 3. Centro de Investigaciones Biológicas de Baja California Sur A. C. https://cibnor.repositorioinstitucional.mx/jspui/bitstream/1001/1212/1/FLORA%20ICONOGRAFICA%20DE%20BAJA%20CALIFORNIA%20SUR%201992.pdfLinks ]

León de la Luz, J. L., & Domínguez Cadena, R. (2006). Hydrophytes of the oases in the Sierra de la Giganta of Central Baja California Sur, Mexico: Floristic composition and conservation status. Journal of Arid Environments, 67(4), 553-565. https://doi.org/10.1016/j.jaridenv.2006.03.012 [ Links ]

López Fuerte, F. O. (2009). a-Diversity of epilithic diatoms in the San Ignacio oasis Baja California Sur, Mexico. CICIMAR Oceánides, 24(2), 101-110. https://doi.org/10.37543/oceanides.v24i2.59 [ Links ]

Mitsch, W. J., & Gosselink, J. G. (2015). Wetlands (Fifth Ed). John Wiley & Sons Inc. [ Links ]

Olthoff, A. E., Martínez Ruiz, C., & Alday, J. G. (2016). Patrones de distribución de especies arbustivas respecto a arbóreas a lo largo de un gradiente ambiental atlántico-mediterráneo: una aproximación a partir de datos del tercer Inventario Forestal Nacional. Ecosistemas, 25(3), 22-34. https://doi.org/10.7818/ECOS.2016.25-3.03 [ Links ]

Schleuter, D., Daufresne, M., Massol, F., & Argillier, C. (2010). A user’s guide to functional diversity indices. Ecological Monographs, 80(3), 469-484. https://doi.org/10.1890/08-2225.1 [ Links ]

Sheil, D. (1999). Tropical forest diversity, environmental change and species augmentation: after the intermediate disturbance hypothesis. Journal of Vegetation Science, 10(6), 851-860. https://doi.org/10.2307/3237310 [ Links ]

Token, S., Jiang, L., Zhang, L., & Lv, G. (2022). Effects of plant diversity on primary productivity and community stability along soil water and salinity gradients. Global Ecology and Conservation, 36, e02095. https://doi.org/10.1016/j.gecco.2022.e02095 [ Links ]

Wang Hengfang, Lü Guanghui, Zhou Yaozhi, & Cao Jing. (2017). Effects of functional diversity and functional redundancy on the stability of desert plant communities under different water and salt gradients. Acta Ecologica Sinica, 37(23), 171-180. https://doi.org/10.5846/stxb201610192139 [ Links ]

Yao, S., Akram, M. A., Hu, W., Sun, Y., Sun, Y., Deng, Y., Ran, J., & Deng, J. (2021). Effects of water and energy on plant diversity along the aridity gradient across dryland in China. Plants, 10(4), 636. https://doi.org/10.3390/plants10040636 [ Links ]

Zeng, Y., Zhao, C., Kundzewicz, Z. W., & Lv, G. (2020). Distribution pattern of Tugai forests species diversity and their relationship to environmental factors in an arid area of China. PLOS ONE, 15(5), e0232907. https://doi.org/10.1371/journal.pone.0232907 [ Links ]

Recibido: 10 de Enero de 2024; Aprobado: 21 de Junio de 2024

*Autor de correspondencia: fcojhernan@yahoo.com.mx

Creative Commons License Este es un artículo publicado en acceso abierto bajo una licencia Creative Commons