Introducción
El fuego es un importante componente de los ecosistemas, influye en el ciclo de nutrientes, en la regeneración de varias especies de plantas, en la producción de biomasa y moldea el paisaje al interactuar con otros agentes de disturbio tales como los insectos (Moretti, et al., 2004; Myers, 2006). Sin embargo, durante el siglo XX este se percibió como una amenaza y se intentó erradicar, los resultados que se observaron fueron cambios profundos en la estructura de los bosques y en la composición de especies (McCullough et al., 1998). La restauración del régimen del fuego no es una tarea sencilla, ya que este elemento tiene un rol distinto dependiendo del ecosistema del que se trate y un régimen alterado es una amenaza para la conservación y la biodiversidad (Myers, 2006), por ejemplo, en un ecosistema sensible al fuego, como la selva alta, se pierde la diversidad de especies si son sometidos a incendios, haciéndose además más proclives a nuevos siniestros (Maldonado et al., 2009). Como lo mencionan Moretti et al. (2006), cualquier intento de imitar los disturbios naturales a través del manejo forestal debe tener en cuenta el tiempo de recuperación de la biodiversidad, incluyendo la composición de los grupos funcionales. El efecto del fuego sobre la biodiversidad depende de muchos factores, tales como la intensidad, el escenario sobre el que se aplica, la temporada y el grupo taxonómico que se esté evaluando (Gill y Williams, 1996; Moretti et al., 2004, Elia et al., 2012; Georgiev et al., 2021). En bosques alpinos, Moretti et al. (2004) encontraron que la riqueza de todas las especies de artrópodos analizadas fue significativamente más alta en las parcelas con quemas prescritas repetidas que en los sitios control (sin quemas). Gutowski et al. (2020) llegaron a una conclusión semejante al estudiar la sucesión de escarabajos durante 10 años después de un incendio en un bosque mezclado. Rubene et al. (2014) encontraron que, a escala de paisaje, las áreas quemadas incrementan la riqueza de abejas, escarabajos y avispas. También se ha visto que la atracción de los escarabajos hacia los sitios quemados desaparece entre dos y siete años (Werner, 2002; Sullivan et al., 2003; Gutowski et al., 2020). Las poblaciones de insectos que son afectadas negativamente por las quemas se recuperan en dos años o menos en praderas con quemas prescritas (Panzer, 2002).
La pérdida de biodiversidad como resultado de las actividades humanas, tanto de forma directa como indirecta, es uno de los problemas ambientales que más interés mundial han despertado, ya que su disminución está asociada a una menor provisión de servicios ambientales de los ecosistemas (Watson et al., 2019; Van Dyke y Lamb, 2020), así como a la inestabilidad de estos, lo cual se pueden aumentar entre otros, los problemas de plagas; cuanto mayor son las modificaciones, las plagas son más abundantes y graves porque se pierden los mecanismos de autorregulación (Altieri y Nicholls, 2007).
Las quemas prescritas son una herramienta del manejo forestal cada vez más utilizada en otros países, en México aún son escasamente aplicadas, entre otras razones, debido a la falta de trabajos de investigación que sustenten su uso en las condiciones de los bosques (Flores y Benavides, 2009). Un grupo indicador útil para observar cambios en la biodiversidad son los insectos, debido a que son el conjunto taxonómico que representa la mayoría de la biodiversidad terrestre (Moreno, 2001).
Objetivos
Analizar el efecto de la aplicación de una quema prescrita sobre los parámetros de diversidad a diferentes escalas de la comunidad de coleópteros en un bosque de Pinus montezumae en el estado de Hidalgo.
Materiales y métodos
Área de estudio
El estudio se realizó en el ejido Santo Tomás, municipio de Singuilucan, Hidalgo (Fig. 1), el cual se encuentra a una altitud de 2800 m. El área tiene una pendiente de entre 5% y 10%, por lo que tiene un riesgo de erosión bajo. La vegetación predominante en el estrato arbóreo es bosque de pino-encino, principalmente Pinus montezumae (con una densidad de árboles de 190 ha-1) y en menor proporción P. teocote y P. rudis. De los encinos, se presentan Quercus mexicana y Q. rugosa. Los pinos incluidos en el estudio tenían, en promedio, una altura de 23 m y un diámetro de 45 cm (Corporación Agroforestal, 2010).
En una superficie de 5 ha dentro del ejido, se aplicó una quema prescrita el día 16 de diciembre de 2010, la técnica de ignición fue quema en fajas con líneas de encendido cada 5 m, requiriendo aproximadamente 90 fajas para cubrir la superficie (Fig. 2). La intensidad del fuego se consideró baja ya que la altura de llama no alcanzó 1.5 m y los árboles no presentaron daño en el follaje. La quema se realizó bajo varios objetivos, entre los que destacan generar condiciones en el suelo para la óptima germinación de las semillas (ya que el año 2011 fue año semillero para P. montezumae), para disminuir la carga de combustibles y evitar el riesgo de incendios catastróficos, así como para generar información sobre la aplicación del fuego prescrito (Corporación Agroforestal, 2010).
Muestreo y recolecta
El día 5 de enero de 2011 se colocaron 30 trampas multiembudo tipo Lindgren con 8 embudos cebadas con Frontalina+alfa-pineno; 15 en el área quemada y 15 en un área aledaña (aproximadamente a 100 m de distancia) con las mismas condiciones de vegetación, pero sin quema. Las 15 trampas de cada área se distribuyeron en cinco hileras de tres trampas cada una, con una distancia entre trampas de 25 m y 70 m entre hileras. El vaso colector de las trampas quedó a una altura de entre 1.5 m y 2 m sobre el nivel del suelo. La recolecta de insectos y cambio de feromona se realizó en promedio cada seis semanas. Para evitar que los insectos colectados se dañasen, se colocó como insecticida un segmento de aproximadamente 2 cm de un collar antipulgas (Tetraclorvinfos®) en cada vaso colector. Los especímenes recolectados se preservaron en frascos de vidrio con alcohol con 70% de concentración, etiquetados para su identificación posterior.
Identificación de especímenes
La identificación de los insectos se realizó en el laboratorio de Fitopatología y Plagas del Instituto de Ciencias Agropecuarias de la Universidad Autónoma del Estado de Hidalgo (UAEH). Para la determinación tanto de los órdenes como de las familias de Coleoptera, se usaron las claves de Borror et al. (1989). Posteriormente, los ejemplares fueron identificados a nivel de morfoespecie, lo que se refiere a la identificación de unidades taxonómicas reconocibles con base en características morfológicas conspicuas (Oliver y Beattie, 1993). Las morfoespecies son una herramienta útil para la conservación, particularmente para la evaluación del impacto ambiental y cuando el inventario de biodiversidad no requiere de información de una especie en particular (Oliver y Beattie, 1996; Derraik et al., 2002). Si bien es cierto que puede existir sobreestimación de especies (por ejemplo, cuando hay dimorfismo sexual distintos estados de desarrollo o cuando existen castas, como es el caso de muchos insectos) y también se puede presentar subestimación, esta opción resulta una herramienta rápida, poco costosa y efectiva, ya que sus estimaciones son suficientemente cercanas a las estimaciones formales para riqueza de especies (Oliver y Beattie, 1993; Oliver y Beattie, 1996; Moreno et al., 2007), su utilidad es mayor cuando se busca estimar riqueza y comparar comunidades (Oliver y Beattie, 1996).
Análisis de los datos
Se realizaron curvas de acumulación de especies para comparar la riqueza máxima de morfoespecies entre el área con quema prescrita y el área sin quema. Para conocer si el esfuerzo de muestreo era suficiente, se calculó el estimador de riqueza Chao2 (Magurran, 2004), de acuerdo con la siguiente fórmula:
donde:
S obs = riqueza de especies observada
𝑄2 = número de especies que se presentaron en dos muestras
La diversidad α se calculó mediante el índice de diversidad proporcional de Shannon-Wiener, el cual describe la estructura de la comunidad en términos de la abundancia proporcional de cada especie, midiendo el grado promedio de incertidumbre en predecir a que especie pertenecerá un individuo de una colección escogida al azar (Magurran, 1998, 2004), de acuerdo con la siguiente fórmula:
donde:
P i = proporción de individuos encontrados en la i-ésima especie
Todos los cálculos anteriores se realizaron mediante el paquete estadístico EstimateS versión 9.1.0 (Colwell, 2013), utilizando 1000 rarefacciones.
La comparación de la composición de especies entre las dos áreas se realizó mediante un análisis de escalamiento multidimensional no métrico (NMDS, por sus siglas en inglés) utilizando la distancia euclidiana, la cual mide la disimilitud entre dos comunidades (Clarke y Warwick, 2001). Este análisis se realizó mediante el programa estadístico Past (Hammer et al., 2001) y se incluyeron todas las muestras recolectadas dentro de cada comunidad (morfoespecies que llegaron al área con quema prescrita y las que llegaron al área sin quema) y entre comunidades independientemente de la fecha de recolecta. Si bien los análisis indirectos de ordenamiento se basan en matrices de distancia entre muestras y por ello son sensibles de ocultar información, son útiles por buscar la mejor solución posible e incluir la mayor cantidad de varianza entre la composición específica de las muestras (Clarke y Warwick, 2001).
Resultados
En ambas áreas se recolectaron en total 9193 especímenes, de los cuales 7652 (83%) pertenecían a Coleoptera, 570 (6.2%) a Hemiptera, 504 (5.5%) a Diptera, 231 (2.5%) a Hymenoptera y los restantes 239 (2.6%) a Lepidoptera y a la clase Arachnida. Se observó que el orden Coleoptera muestra una clara preferencia por el área donde se realizó la quema prescrita (Fig. 3).

FIGURA 3 Total de insectos recolectados en trampas multiembudo cebadas con frontalina en un bosque de Pinus montezumae en Singuilucan, Hgo.
Cuatro meses después de aplicada la quema prescrita se registró un incremento del número de coleópteros recolectados en el área con tratamiento, obteniéndose 1838 especímenes, mientras que en el área sin quema se recolectaron 855 (Fig. 4). Este incremento se debió principalmente a la captura de Acanthoscelides mexicanus (Bruchidae) a partir de marzo, sin embargo, la abundancia de la especie disminuyó drásticamente tres meses después. Este es el primer registro de esta especie recolectada en trampas cebadas con feromona específica para descortezadores.

FIGURA 4 Número total de coleópteros recolectados en trampas multiembudo cebadas con frontalina en un bosque de Pinus montezumae en Singuilucan, Hgo.
En el área con quema prescrita se registraron 21 familias de Coleoptera, mientras que en el área sin quema solo 18 (Tabla 1). Ocho familias estuvieron representadas por menos de 10 ejemplares, por otro lado, la familia Bruchidae y la subfamilia Scolytinae presentaron las mayores abundancias con 3855 y 3073 insectos respectivamente.
TABLA 1 Familias de Coleoptera recolectadas en un área con quema prescrita y un área sin quema en el ejido Santo Tomás, Municipio de Singuilucan, Hgo., México.
| Familia | Con quema | Sin quema | Total |
| Bruchidae | 2009 | 1846 | 3855 |
| Buprestidae | 4 | 5 | 9 |
| Cerambycidae | 22 | 11 | 33 |
| Chrysomelidae | 1 | 0 | 1 |
| Cicindelidae | 2 | 1 | 3 |
| Cleridae | 109 | 104 | 213 |
| Coccinellidae | 7 | 3 | 10 |
| Colydiidae | 12 | 15 | 27 |
| Curculionidae | 2008 | 1118 | 3126 |
| Dermestidae | 1 | 1 | 2 |
| Derodontidae | 17 | 7 | 24 |
| Elateridae | 2 | 4 | 6 |
| Leiodidae | 4 | 17 | 21 |
| Mordellidae | 30 | 7 | 37 |
| Platypodidae | 1 | 3 | 4 |
| Rhysodidae | 90 | 43 | 133 |
| Scarabaeidae | 6 | 0 | 6 |
| Silphidae | 9 | 0 | 9 |
| Staphylinidae | 66 | 40 | 106 |
| Trogossitidae | 18 | 9 | 27 |
| Total | 4418 | 3234 | 7652 |
Se recolectaron más especímenes de las familias Cerambycidae, Cicindelidae, Coccinellidae, Curculionidae (subfamilia Scolytinae) Derodontidae, Mordellidae, Rhysodidae y Staphylinidae en el área con quema, sin embargo, al realizar las curvas de acumulación de morfoespecies (Fig. 5), se observa que la riqueza estimada mediante rarefacciones no mostró diferencias estadísticamente significativas entre las dos áreas en ninguna de las fechas de recolecta (α=0.05). De la misma forma, el estimador Chao2, reveló que el esfuerzo de muestreo fue suficiente en todas las fechas de recolecta, ya que se solapa con las curvas de rarefacción.

Los símbolos separados a la derecha de las curvas son los valores Chao2 estimado en 20 muestras.
FIGURA 5 Curvas de acumulación de morfoespecies (α=0.05) por fecha de recolecta en un área con quema prescrita y otra sin quema prescrita, en Singuilucan, Hgo.
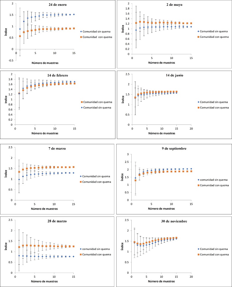
Cuando se integra tanto la riqueza como la abundancia de morfoespecies en el índice de Shannon-Wiener, sí se observan diferencias estadísticamente significativas en todas las fechas de recolecta (Fig. 6). Como se ve en la gráfica, al principio la biodiversidad es mayor en el área que no tuvo quema prescrita, pero a partir de la recolecta de marzo (tres meses después del tratamiento) se invierte el comportamiento, mostrando mayor biodiversidad el área con aplicación de fuego. La tendencia de este parámetro es hacia la estabilización entre ambas áreas, lo cual se observa a partir del sexto mes después de la quema, aunque permanecen las diferencias estadísticamente significativas.

FIGURA 6 Índice Shannon-Wiener por fecha de recolecta en un área con quema prescrita y un área sin quema en el ejido Santo Tomás, Municipio de Singuilucan, Hgo.
A través del análisis de ordenamiento NMDS (Fig. 7), se observó que en ambos grupos de datos se solapan las barras del error del eje horizontal (el cual explica 96% de la varianza), dado que la diversidad beta mide la contigüidad de hábitats diferentes en el espacio (Halffter y Ezcurra, 1992), en este estudio se puede concluir que a un año de la aplicación de la quema prescrita, ambas áreas son semejantes en cuanto a composición de morfoespecies de coleoptera que llegaron a trampas multiembudo cebadas con frontalina.
Discusión
Del ensamble de insectos recolectados en las trampas multiembudo, el orden Coleoptera fue el que mostró una clara preferencia hacia el área de la quema prescrita, coincidiendo con varios estudios que refieren que la abundancia de insectos es mayor en los bosques con aplicación de fuego (Moretti et al., 2004), en especial de algunas familias como Buprestidae, Cerambycidae, Cleridae, Curculionidae (sobre todo la subfamilia Scolytinae), Salpingidae y Staphylinidae (Heliövaara y Väisänen, 1984; Werner, 2002; Sullivan et al., 2003; Fonseca et al., 2009) los cuales son atraídos por el olor del humo y el hábitat que les provee la quema. Más aún, las especies consideradas pirófilas como el cerambícido Monochamus scutellatus (Say) y los escolitínos Dryocoetes affaber (Mann.) y Polygraphus rufipennis (Kirby) requieren ovipositar en árboles con daño intermedio por incendio (Saint-Germain et al., 2004). Resultados distintos se han encontrado en otros ecosistemas, por ejemplo, Panzer (2002) mencionó que, en praderas, el orden Coleoptera mostró menos sensibilidad a las quemas prescritas que Lepidoptera, Orthoptera, Hemiptera y Homoptera, siendo este último el más afectado. Moretti et al. (2004) encontraron en bosques alpinos, que el fuego tuvo un efecto diferente más bien dependiendo de la familia de Coleoptera analizada.
Cuando se estimó la riqueza de morfoespecies se observó que no existen diferencias estadísticamente significativas entre ambas áreas, este resultado concuerda con Heliövaara y Väisänen (1984) y demuestra que, si el área es pequeña y el disturbio ambiental es puntual, como en este caso que se aplicó en 5 ha en un solo evento, entonces la recuperación de la biodiversidad del área se presenta a corto plazo. Kim y Holt (2012) encontraron un resultado semejante en su estudio sobre el efecto del fuego en matorral de encinos en Florida, en el cual, inmediatamente después de la aplicación del fuego disminuye la cantidad de insectos, incrementándose tanto la riqueza como la abundancia del ensamble de insectos herbívoros al aumentar la densidad de Quercus inopina. Estos autores mencionan que los taxas que recolonizan las áreas con quema prescrita son los más móviles y con un comportamiento más agresivo en la búsqueda de refugio, concluyendo que, en las comunidades de insectos herbívoros, el efecto del fuego depende de su intensidad, la época y la duración de este. Sin embargo, en este estudio no se evaluaron insectos del suelo, los cuales tienen poca o ninguna movilidad y son los más afectados por el fuego (Certini et al., 2021) aunque este sea superficial como en el caso de las quemas controladas.
El índice de Shannon-Wiener reflejó diferencias estadísticamente significativas en todas las fechas de recolecta; al integrarse la abundancia y la riqueza del ensamble de coleópteros estudiado, se puede tener un panorama más completo. Al principio del período estudiado, un valor más alto se observó en el área sin quema; pero, a partir del segundo mes del muestreo, el índice en el área con quema prescrita se recuperó, mostrando una tendencia hacia la estabilización entre ambas áreas. En este sentido Gutowski et al. (2020) encontraron que las áreas quemadas tuvieron mayores índices de diversidad alfa y gamma de escarabajos, representada sobre todo por las especies pirófilas, pero el efecto del fuego despareció después de cinco años, en el caso de la riqueza, y siete años, en la abundancia de escarabajos. A su vez, Sullivan et al. (2003) señalan que varios escarabajos de las familias Curculionidae y Buprestidae muestran preferencia por los sitios con quemas prescritas en bosques de pino, pero esta desaparece en el segundo año después del tratamiento. Según Rubene et al. (2014), los efectos de una quema prescrita a escala local dependen de la cantidad de hábitat quemado a escala de paisaje, cuando se queman grandes áreas de bosque incluyendo parches con diferentes características se crea una alta variedad de hábitats, lo cual tiene un efecto positivo en la diversidad de especies. Así que los disturbios periódicos en escala moderada pueden ser un factor esencial para mantener la estabilidad y diversidad de especies a través de los paisajes (Heliövaara y Väisänen, 1984; McCullough et al., 1998).
El fuego tiene influencia indirecta sobre el ensamble de herbívoros al modificar la estructura del hábitat y la heterogeneidad del paisaje (Kim y Holt, 2012). Halffter y Arellano, (2002) estudiaron el efecto de disturbios en el hábitat sobre la biodiversidad del ensamble de coleópteros coprófagos, encontrando que es más importante la cobertura arbórea que la disponibilidad de alimento para conformar la estructura y diversidad de este gremio. En este estudio, la quema prescrita afectó solo los estratos inferiores (arbustivo y herbáceo), la cobertura arbórea no fue modificada, este aspecto contribuye a entender la recuperación de la biodiversidad en la comunidad del área en la que se aplicó la quema prescrita. Con estos resultados se confirman hallazgos previos de los efectos del fuego, que muestran que las quemas prescritas pueden ser consideradas como medidas de conservación de hábitats de especies dependientes del fuego. El creciente interés por el uso del fuego como una herramienta del manejo forestal debe ser acompañado por más estudios que analicen su efecto en los demás componentes del ecosistema para asegurar los beneficios del tratamiento, como el caso de los artrópodos del suelo, que pueden ser seriamente afectados.
Conclusiones
En el área donde se aplicó la quema prescrita se capturaron más individuos en total, se presentó una mayor abundancia de coleópteros y se observó una mayor riqueza de morfoespecies de este orden. Sin embargo, no se presentaron diferencias estadísticamente significativas en estos parámetros con el área que no tuvo quema. En cambio, el índice de biodiversidad de Shannon-Wiener sí muestra diferencias estadísticamente significativas para cada fecha de recolecta. Sin embargo, un año después de la aplicación de la quema prescrita, la diversidad beta indicó que ambas comunidades de coleópteros son semejantes. El ensamble de insectos estudiado se circunscribe a los que fueron atraídos a las trampas cebadas con frontalina, por lo que es necesario realizar más estudios que incluyan artrópodos del suelo para tener un panorama más amplio sobre el efecto de las quemas prescritas en bosques bajo manejo forestal.










nueva página del texto (beta)





