Introducción
La energía térmica de la madera se ha empleado desde la antigüedad para satisfacer las necesidades domésticas de cocción de alimentos y calefacción (Ríos, Santos y Gutierrez, 2017). El uso de combustibles a partir de la biomasa favorece el balance de las emisiones de carbono registradas durante la generación de energía. Además, la leña, residuos de la industria maderera y otros tipos de biomasa tienen gran potencial como fuente de energía (Melissari, 2012).
La carbonización de la madera duplica su contenido energético y reduce 75% el peso original, lo cual facilita su transporte y almacenamiento (Masera et al. 2011). Sin embargo, múltiples factores determinan la calidad del carbón vegetal como las especies vegetales empleadas, método de elaboración, tipo de horno utilizado y pericia del productor (Navas, 1993).
En 2016 la producción de carbón y leña en México fue de 630 900 m3r (9.4% de los productos forestales); siendo los principales estados productores de carbón Durango y Sonora (Secretaría del Medio Ambiente y Recursos Naturales [Semarnat], 2017). La producción de carbón está basada en diversas especies forestales como encino, mezquite, huizache, ébano, jabín y machiche, las cuales tienen características que favorecen niveles altos de calidad y rendimiento. Se emplean principalmente hornos tradicionales de tierra tipo parva, fosa, media naranja argentino y colmena brasileño (Antal y Grønli, 2003). También otros factores influyen en el rendimiento y calidad del carbón como el tipo de leña, contenido de humedad, acomodo de la madera en el horno y tiempo elaboración.
En el mercado mexicano se identifica la calidad del carbón vegetal empíricamente al considerar la comercialización a granel o empaquetado, con marca o sin marca, sonido metálico, color en tonos azules brillantes, tamaño y presencia de impurezas (Arias, 2006; García, 2008; Bustamante-García, 2011). Sin embargo, no se establecen criterios claros de clasificación en las dimensiones, contenido de humedad, material volátil, cenizas, carbono fijo, poder calorífico y elementos químicos (Emrich, 2013; Heya, Pournavab, Carrillo-Parra y Colin-Urieta, 2014).
Objetivos
El objetivo del presente estudio fue determinar la calidad comercial y energética de nueve procedencias de carbón vegetal distribuidas en la zona Norte-Centro de México empleando granulometría, análisis químicos proximales y poder calorífico como parámetros de comparación.
Materiales y métodos
Obtención de muestras
Se realizó un muestreo discrecional en establecimientos comerciales en el norte-centro de México, se obtuvieron al azar tres bolsas de carbón vegetal de cada procedencia, seis con registro comercial y tres sin registro. Las muestras obtenidas se codificaron con un número secuencial conforme al momento de su obtención, de esa forma se tuvieron procedencias de la uno a la nueve (Tabla 1). El carbón presentó distinto origen vegetal como mezquite (Prosopis sp.), ébano (Ebenopsis sp.) y encino (Quercus sp.), así como diferente procedencia geográfica y peso.
Tabla 1 Información del carbón comercial obtenido en el norte-centro de México.
| Procedencia | Especie | Procedencia | Peso (kg) |
| 1 | Mezquite | Nuevo León | 3.0 |
| 2 | Ébano | Ciudad de México | 2.5 |
| 3 | N/D | Nuevo León | 3.0 |
| 4 | Ébano y Mezquite | N/D | 2.9 |
| 5 | Mezquite | Nuevo León | 3.0 |
| 6 | Mezquite | Nuevo León | 5.5 |
| 7 | Encino | Durango | 3.0 |
| 8 | N/D | Hidalgo | 5.8 |
| 9 | N/D | Oaxaca | 2.8 |
N/D = Información no disponible
Granulometría
La caracterización granulométrica del carbón se estableció mediante tres cribas con aperturas de 20 mm × 20 mm, 50 mm × 50 mm y 100 mm × 100 mm. Para la evaluación, se apilaron las cribas de mayor a menor apertura con un contenedor en el fondo, se vació la totalidad de la muestra contenida en la bolsa en la criba superior y se agitó continuamente de manera manual durante 30 segundos. La masa retenida en cada criba se separó y pesó individualmente, lo mismo que el residuo que quedó en el fondo del contenedor. Los cálculos se realizaron con base en la relación entre el peso inicial y la masa retenida en cada una de las cribas y el residuo.
Análisis proximales
Se obtuvieron al azar cuatro muestras representativas del carbón de cada bolsa, las cuales se pulverizaron en un molino marca RetschTM SM, con una velocidad de funcionamiento a 1500 revoluciones por minuto (rpm). La molienda se realizó durante un periodo máximo de 3 minutos, para evitar calentamiento y pérdida de material volátil. Se emplearon tamices número 40 (425 μm) y número 60 (250 μm), el material retenido en el tamiz número 60 se usó para realizar los análisis inmediatos según lo establece la norma ASTM D 1762-84 (American Society for Testing and Materials [ASTM], 2013). La determinación del contenido de humedad, material volátil, ceniza y carbono fijo se realizó conforme a la norma e incluyó las ecuaciones mostradas en la Tabla 2.
Tabla 2 Ecuaciones utilizadas para determinar los análisis proximales de nueve procedencias de carbón vegetal del norte-centro de México.
| Característica | Ecuación | Descripción de variables |
| Contenido de Humedad (CH) | CH = [(A-B)/A]×100 | A= Masa inicial de la muestra molida y cribada (g) |
| Material Volátil (MV) | MV = [(B-C)/B] × 100 | B= Masa de la muestra después de someterla a 105 °C (g) |
| Contenido de Cenizas (CC) | CC = (D/B) x 100 | C= Masa de la muestra después de someterla a 950 °C (g) |
| Carbono Fijo (CF) | CF =100 − CH − MV - CC |
Poder calorífico superior
El cálculo del poder calorífico superior se realizó con una ecuación que obtiene resultados a partir de la regresión lineal entre el carbono fijo y material volátil (Cordero, Marquez, Rodriguez-Mirasol y Rodriguez, 2001).
Donde:
PCS= poder calorífico superior
CF= carbono fijo
MV= material volátil
El carbono fijo representa el carbón (combustible neto) que contiene el mismo carbón vegetal al momento de la combustión, mientras que el material volátil son los gases y líquidos piroleñosos que se expulsan desde el carburante al momento de ser sometido a temperaturas altas.
Análisis elemental
La determinación de cinco elementos (Ca, Cu, Fe, Mg y Zn) en las muestras se realizó con un espectrofotómetro de absorción atómica (Perkin-Elmer, modelo PFBS17030103), siguiendo el procedimiento para material vegetal establecido por el Manual de Métodos Analíticos por espectrofotometría de absorción atómica (Perkin-Elmer Corp., 1996; Chandrasekaran, Hopke, Rector, Allen y Lin, 2012).
Análisis estadístico
Se utilizó los valores de las cuatro submuestras derivadas de cada una de las nueve procedencias de carbón vegetal. Los resultados porcentuales de los análisis químicos proximales se transformaron con la función de la raíz cuadrada del arcoseno (Scheffler, 1981). Se realizaron pruebas de normalidad Shapiro-Wilks y Kolmogorov para cada variable. Las variables que presentaron normalidad fueron sometidas al análisis de varianza y cuando se encontraron diferencias significativas entre procedencias (p ≤ 0.05), se realizaron comparaciones de medias con la prueba de Tukey. Para las variables que no mostraron normalidad (p ≤ 0.05) se aplicó prueba de Kruskal-Wallis. Los datos se procesaron en el programa InfoStat Ver. 2008 (Di Rienzo, 2009).
Resultados y discusión
Granulometría
El resultado de la prueba Shapiro-Wilks demostró la distribución normal de los valores de granulometría (p ≥ 0.05) (Tabla 3), mientras que el análisis de varianza registró diferencias estadísticas significativas (p ≤ 0.05) entre procedencias y entre tamaño de los trozos de carbón. Las procedencias 8 y 9 fueron las únicas que presentaron fragmentos mayores a 100 mm (Fig. 1), por otra parte las procedencias 9, 7, 6 y 4 presentaron proporción mayor de fragmentos respectivamente entre 50 mm > X ≤ 100 mm y en la categoría 20 mm > X ≤ 50 mm los porcentajes más altos los presentaron las procedencias 5, 3, 7, 2 y 4. En la categoría ≤ 20 mm las procedencias que mostraron mayor porcentaje fueron 2, 1, 5 y 8.
Tabla 3 Prueba de normalidad Shapiro-Wilks en granulometría de carbón vegetal de nueve procedencias.
| Granulometría (mm) | N | Media | D.E | W* | p |
| ≤ 20 | 27 | 21.6 | 10.9 | 0.95 | 0.7747 |
| 20 > X ≤50 | 43.0 | 7.6 | 0.98 | 0.9489 | |
| 50 >X ≤100 | 33.7 | 13.3 | 0.93 | 0.6093 | |
| > 100 | 1.7 | 3.5 | 0.57 | <0.0001 |
Donde N= Tamaño de muestra. D.E.= es la desviación estándar. W= es índice Wilcoxon y p= el valor de significancia.

Figura 1 Categorías y frecuencia de diferentes tamaños de los fragmentos en nueve procedencias comerciales de carbón vegetal.
El porcentaje de la clase 20 mm > X ≤ 50 mm y de clases con mayor tamaño fue superior a 80% en las procedencias 4, 6 ,7 y 9 por lo que se clasifican como “Clase 1” (Bustamante-Garcia, 2011) y pueden ser exportados a España ya que la Norma 13425 de ese país acepta proporciones iguales o superiores a 80% de fragmentos > 20 mm, 14% de fragmentos de 10 mm a 20 mm y 6% ≤ 10 mm. Por otra parte, si consideramos los requerimientos de los mercados de Bélgica y Rusia, a las procedencias anteriores se agregaría la procedencia 3, ya que en dichos países se acepta hasta 75% de fragmentos mayores a 20 mm.
Análisis proximales
Los porcentajes del contenido de humedad presentaron distribución normal (Tabla 4), los valores mostraron diferencias estadísticas altamente significativas (p ≤ 0.0001) entre procedencias (Tabla 5). El valor más bajo (4.0%) lo presentó la procedencia 7, seguida de la procedencia 9 (4.5%) (Fig. 2a). El resto de las procedencias mostraron valores de humedad entre 5.0% y 6.5%. Los valores de contenido de humedad de las nueve procedencias fueron relativamente bajos ya que se situaron en un nivel inferior a 7.0%, lo que les permite ser aceptados en mercados internacionales, como el de Bélgica (NBN-M11-001, 1984).
Tabla 4 Prueba de normalidad según análisis de Kolmogorov del contenido de humedad, material volátil, cenizas y carbono fijo.
| Variable | Media | Varianza | N | D | p-valor |
| Humedad | 5.1 | 0.5 | 108 | 1.00 | <0.0001 |
| Material volátil | 25.9 | 25.1 | 108 | <0.0001 | |
| Cenizas | 6.3 | 3.6 | 108 | <0.0001 | |
| Carbono fijo | 62.7 | 22.6 | 108 | <0.0001 |
N= Tamaño de muestra D= es el estadístico de aproximación asintótica de la distribución y p= el valor de significancia.
Tabla 5 Análisis Kruskal Wallis del contenido de humedad (%).
| Procedencia | N | Medias | D.E. | Medianas | H | p |
| 1 | 12 | 5.0 | 0.5 | 4.8 | 75.1 | <0.0001 |
| 2 | 5.2 | 0.4 | 5.0 | |||
| 3 | 5.3 | 0.3 | 5.1 | |||
| 4 | 5.0 | 0.3 | 4.7 | |||
| 5 | 5.0 | 0.2 | 5.0 | |||
| 6 | 5.1 | 0.2 | 5.1 | |||
| 7 | 4.0 | 0.3 | 4.0 | |||
| 8 | 6.5 | 0.3 | 6.5 | |||
| 9 | 4.5 | 0.2 | 4.5 |
N= Tamaño de muestra D.E.= es la desviación estándar. H= es el valor de la prueba Kruskal Wallis y p= el valor de significancia.

Figura 2 Contenido de humedad, material volátil, cenizas y carbono fijo de carbón vegetal de nueve procedencias. Medias con la misma letra son estadísticamente iguales (p ≤ 0.05).
El contenido de material volátil presentó distribución normal (Tabla 4), los valores mostraron diferencias altamente significativas (p ≤ 0.0001) entre procedencias (Tabla 6). El porcentaje más alto lo presentaron las procedencias 6 (33.7%) y 9 (30.3%); mientras que el valor más bajo (20.4%) se registró en la procedencia 8 (Fig. 2b). Se han presentado valores similares en el material volátil de carbón vegetal para Prosopis sp. (22.8%) y Ebenopsis sp. (24.9%) (Carrillo-Parra, Foroughbakhch-Pournavab y Bustamante-García, 2013). Los porcentajes de material volátil de alrededor de 15.0% en carbón vegetal de Quercus sp. se han relacionado con una calidad alta, por la rápida ignición, presencia de flama y producción alta de chispas (García, 2008). Valores bajos de material volátil dificultan el encendido, sin embargo se tendrá una combustión limpia ya que un contenido alto de volátiles produce demasiado humo durante la combustión y se genera más carbonilla (Organización de las Naciones Unidas para la Agricultura y la Alimentacion [FAO], 1983). No obstante de encontrar valores bajos de material volátil en las nueve procedencias, ninguna calificó para el mercado de Bélgica (NBN-M11-001, 1984) y Alemania (Deutsches Institut für Normung [DIN], 1989), en los cuales se establece un máximo de 16% de material volátil.
Tabla 6 Análisis Kruskal Wallis del contenido de material volátil (%).
| Procedencia | N | Medias | D.E. | Medianas | H | p |
| 1 | 12 | 25.0 | 2.6 | 25.7 | 65.9 | <0.0001 |
| 2 | 23.6 | 4.0 | 25.0 | |||
| 3 | 27.4 | 4.5 | 27.6 | |||
| 4 | 26.5 | 3.3 | 25.9 | |||
| 5 | 21.5 | 3.1 | 22.7 | |||
| 6 | 33.8 | 2.9 | 33.8 | |||
| 7 | 24.7 | 1.5 | 24.3 | |||
| 8 | 20.5 | 3.8 | 19.9 | |||
| 9 | 30.3 | 1.2 | 30.8 |
N= Tamaño de muestra D.E.= es la desviación estándar. H= es el valor de la prueba Kruskal Wallis y p= el valor de significancia.
El contenido de ceniza presentó una distribución normal (Tabla 4), los valores mostraron diferencias altamente significativas (p ≤ 0.0001) entre procedencias (Tabla 7). La procedencia 9 mostró el valor más bajo (3.7%) (Fig. 2c), niveles similares de contenido de cenizas fueron presentados por Carrillo-Parra et al. (2013) para las especies de Prosopis sp. (2.8%) y Ebenopsis sp. (3.2%). Las procedencias 4, 5, 6, 8 y 9 mostraron niveles de ceniza inferiores 6.0% los cuales se consideran de calidad aceptable (García, 2008) mientras que las procedencias 1, 2, 3 y 7 presentaron valores > 6.0%, atributo poco deseable en el carbón vegetal, debido a que los residuos se acumulan en los depósitos de calderas, estufas y asadores.
Tabla 7 Análisis Kruskal Wallis del contenido de ceniza (%).
| Procedencia | N | Medias | D.E. | Medianas | H | p |
| 1 | 12 | 8.7 | 1.9 | 9.5 | 69.4 | <0.0001 |
| 2 | 8.3 | 1.8 | 7.6 | |||
| 3 | 6.5 | 0.4 | 6.4 | |||
| 4 | 5.5 | 0.8 | 5.6 | |||
| 5 | 5.7 | 0.3 | 5.7 | |||
| 6 | 5.6 | 0.9 | 5.6 | |||
| 7 | 7.2 | 2.3 | 7.5 | |||
| 8 | 5.6 | 0.5 | 5.6 | |||
| 9 | 3.7 | 0.4 | 3.7 |
N= Tamaño de muestra D.E.= es la desviación estándar. H= Estimadores el valor de la prueba Kruskal Wallis y p= el valor de significancia.
El porcentaje de carbono fijo presentó una distribución normal (Tabla 4), los valores mostraron diferencias altamente significativas (p ≤ 0.0001) entre las procedencias (Tabla 8). Las procedencias 5 y 8 como grupo (A) y la 7 como grupo (AB) se consideraron como las mejores al mostrar valores significativamente altos de carbono fijo (67.5% - 67.7%) (Fig. 2d). El carbono fijo se considera como una de las características más importantes de los materiales combustibles, debido a que determina la calidad y cantidad de brazas que se forman durante la combustión. De acuerdo con los resultados obtenidos ninguna de las procedencias cumplió con este requisito de calidad según las normas internacionales NBN M11-001, NF Núm. 846 y DIN 51749.
Tabla 8 Análisis Kruskal Wallis carbono fijo.
| Muestra | N | Medias | D.E. | Medianas | H | p |
| 1 | 12 | 61.4 | 2.2 | 60.5 | 56.8 | <0.0001 |
| 2 | 62.9 | 5.7 | 61.9 | |||
| 3 | 60.9 | 3.9 | 61.1 | |||
| 4 | 63.1 | 3.6 | 64.7 | |||
| 5 | 67.7 | 3.2 | 66.7 | |||
| 6 | 55.5 | 2.5 | 55.3 | |||
| 7 | 64.1 | 2.6 | 63.1 | |||
| 8 | 67.5 | 3.4 | 68.0 | |||
| 9 | 61.4 | 1.0 | 61.4 |
N= Tamaño de muestra D.E.= es la desviación estándar. H= Estimadores el valor de la prueba Kruskal Wallis y p= el valor de significancia.
Poder calorífico
El poder calorífico superior presentó diferencias altamente significativas (p ≤ 0.0001) entre procedencias (Tabla 9). La procedencia 5 (mezquite) mostró el valor más alto con 27 669 kJ kg-1, mientras que la procedencia 4 (ébano y mezquite) registró un valor de 26 879 kJ kg-1 (Fig. 3). Dichos valores se pueden considerar bajos en comparación con 30 241 kJ kg-1 registrado para carbón de mezquite (Prosopis sp.) y 29 725 kJ kg-1 para ébano (Ebenopsis sp.) (Carrillo-Parra et al., 2013) (Tabla 9)
Tabla 9 Análisis Kruskal Wallis poder calorífico.
| Procedencia | N | Medias | D.E | Mediana | H | p |
| 1 | 12 | 26 029 | 494.9 | 26 046.0 | 53.7 | <0.0001 |
| 2 | 26 319 | 1378.2 | 26 288.5 | |||
| 3 | 26 240 | 613.5 | 26 348.2 | |||
| 4 | 26 879 | 749.4 | 27 308.7 | |||
| 5 | 27 669 | 604.6 | 27 523.3 | |||
| 6 | 25 443 | 439.6 | 25 404.3 | |||
| 7 | 26 911 | 817.1 | 26 428.0 | |||
| 8 | 27 400 | 564.8 | 27 481.3 | |||
| 9 | 26 931 | 178.3 | 26 945.2 |
N= Tamaño de muestra. D.E= es la desviación estándar. H= es el valor de la prueba Kruskal Wallis y p= el valor de significancia.
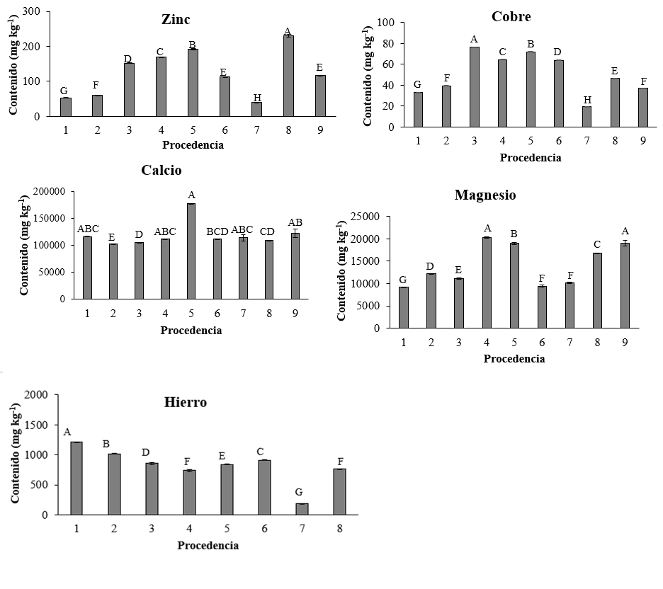
Elementos
Los elementos calcio, cobre, fierro, magnesio y zinc son de importancia durante la combustión por la proporción en la ceniza, punto de fusión e inocuidad de los residuos al momento de su dispersión al ambiente. El análisis de varianza mostró diferencia estadística altamente significativa (p ≤ 0.0001) entre procedencias (Tabla 10).
Tabla 10 Análisis de varianza de contenido elemental entre procedencias.
| Elemento | Fuente de variación | Procedencia | Error |
| Magnesio | SC | 5.04E+08 | 1.19E+06 |
| CM | 302919 | 88 | |
| F | 3455 | ||
| p-valor | <0.0001 | ||
| Calcio | SC | 1.23E+10 | 2.01E+08 |
| CM | 1536872500 | 1.11E+07 | |
| F | 137.93 | ||
| p-valor | <0.0001 | ||
| Cobre | SC | 9.23E+03 | 7.80E-01 |
| CM | 1,153 | 0.04 | |
| F | 26,543 | ||
| p-valor | <0.0001 | ||
| Zinc | SC | 1.05E+05 | 5.64E+01 |
| CM | 13,133 | 3.13 | |
| F | 4,192 | ||
| p-valor | <0.0001 | ||
| Fierro | SC | 2.42E+06 | 1.58E+03 |
| CM | 302,919 | 87.69 | |
| F | 3,455 | ||
| p-valor | <0.0001 |
SC= Suma de Cuadrados. CM= Cuadrado Medio. F= Valor de igualdad de varianzas. p= Nivel de significancia.
Los resultados de la concentración de Mg fluctuaron entre 9196 mg kg-1 (0.9%) y 20 263.3 mg kg-1 (2.3%), lo que coincide con Fengel y Wegener (1984) y Orihuela et al. (2016) en su microanálisis en cenizas de materiales lignocelulósicos con valores entre 4832 mg kg-1 y 39 287.1 mg kg-1. La procedencia 4 presentó valores significativamente altos (20 263 mg kg-1), seguida por las procedencias 5 (19 017 mg kg-1) y 9 (19 073 mg kg-1) (Fig. 4).

Figura 4 Elementos que componen las cenizas de nueve procedencias comerciales de carbón vegetal. Medias con la misma letra son estadísticamente iguales (Tukey p ≤ 0.05).
La concentración de Ca presentó diferencias estadísticas entre procedencias (p ≤ 0.05). La procedencia 5 mostró un valor significativamente alto con 177 266.6 mg kg-1, seguido de las procedencias 1, 7 y 9 con valores entre 114 333.3 mg kg-1 y 122 067.6 mg kg-1 (Fig. 4). Se han registrado variaciones en la concentración de Ca entre 8000 mg kg-1 y 200 000 mg kg-1 en cenizas de maderas duras como se considera al encino (Alakangas, Valtanen y Levlin, 2006; Telmo, Lousada y Moreira, 2010), y hasta 115 040 mg kg-1 en el estudio de cenizas de materiales lignocelulósicos realizado por Orihuela, et al. (2016). La concentración alta de Ca, combinada con el punto de fusión bajo (839 ºC), genera problemas operativos en el equipo industrial (Correa-Méndez et al., 2014).
Las concentraciones de Cu en las procedencias de carbón evaluadas fueron bajas, los valores más altos los mostraron las procedencias 3 (65.4 mg kg-1) y 5 (72.0 mg kg-1), mientras que el valor más bajo (19.4 mg kg-1) lo registró la procedencia 7 (Fig. 4). Se han presentado valores muy variados para la concentración de Cu desde 2.0 mg kg-1 hasta niveles de 520.0 mg kg-1 en ceniza de madera (Alakangas et al., 2006; Telmo et al., 2010).
La procedencia 7 presentó una concentración baja (39.97 mg kg-1) en Zn, mientras que la procedencia 8 tuvo un valor de 230.3 mg kg-1, la cual superó significativamente al resto de las procedencias evaluadas (Fig. 4). Los valores fueron similares a lo registrado en ceniza de materiales lignocelulósicos de 226.2 mg kg-1 hasta 2 121.0 mg kg-1 (Orihuela et al., 2016), los valores coinciden en concentraciones reportadas en carbón vegetal puesto que se realizó en cenizas y la carbonización generalmente se realiza a bajas temperatura lo que evita variaciones en la concentración de elementos químicos (Obernberger y Thek, 2004). Así mismo en cenizas de madera de sauce (Salix sp.) (0.3% - 0.8%; 3.0 mg kg-1- 8.0 mg kg-1) y encino (Quercus sp.) (0.07% - 0.5%; 0.7 mg kg-1 - 5.0 mg kg-1) se obtuvieron valores diferentes a los obtenidos en el presente estudio (Fengel y Wegener, 1984; Orihuela et al., 2016). En otro estudio de cenizas de Ocote presentaron valores entre 400 mg kg-1 y 2300 mg kg-1 para Zn (Chandrasekaran et al., 2012).
La concentración Fe fue significativamente baja en la procedencia 7 (encino) con 184.7 mg kg-1, mientras que el valor más alto lo presentó la procedencia 1 (mezquite) con 1204 mg kg-1 (Fig. 4). En estudios de cenizas también se observaron valores más altos para Fe, con niveles de hasta 3712 mg kg-1 en cenizas de Pinus sp. (Orihuela et al., 2016).
Conclusiones
El carbón vegetal debe presentar valores de material volátil ≤ 16%, cenizas ≤ 6.0%, niveles de carbono fijo > 75% y poder calorífico > 30 000 kJ kg-1 de manera que permita cumplir los requerimientos de la mayoría de los mercados. Los atributos del carbón producido en la región norte-centro de México son diferentes y algunas procedencias alcanzaron los requerimientos de los mercados internacionales. La distribución granulométrica, contenido de humedad, material volátil, contenido de ceniza, carbono fijo, poder calorífico y porcentaje de elementos en las cenizas fue diferente entre las procedencias del norte-centro de México. La variación se relacionó con las especies vegetales reportadas, destacando con mejores parámetros de calidad el carbón producido con mezquite y/o encino. Respecto a la dimensión del carbón es necesario incrementar la proporción de los tamaños iguales o superiores a 20 mm ≥ X ≤ 50 mm y así tener una categoría en calidad buena, aun así excede un cierto porcentaje en carbón vegetal de baja calidad. Para usos industriales las concentraciones de elementos en las cenizas de carbón vegetal se deben de mantener bajos para evitar la corrosión y problemas en los equipos. La evaluación constante de las características de calidad y energéticas permitirá implementar acciones para mejorar la calidad del carbón producido en el norte-centro de México y se facilitará su comercialización con mejores productos en los mercados nacionales y de exportación.










nueva página del texto (beta)



