SciELO - Scientific Electronic Library Online

 
vol.37 número4Características de la actividad enzimática y el humus en suelos de chinampaEnraizamiento de esquejes de Salicornia bigelovii (Torr.) por quitosano como un bioproducto de origen marino índice de autoresíndice de materiabúsqueda de artículos
Home Pagelista alfabética de revistas  

Servicios Personalizados

Revista

Articulo

Indicadores

Links relacionados

  • No hay artículos similaresSimilares en SciELO

Compartir


Terra Latinoamericana

versión On-line ISSN 2395-8030versión impresa ISSN 0187-5779

Terra Latinoam vol.37 no.4 Chapingo oct./dic. 2019  Epub 24-Mar-2020

https://doi.org/10.28940/terra.v37i4.515 

Artículos Científicos

Cambios edáficos provocados por el uso de abonos de origen natural en una región cafetalera de Veracruz, México

Edaphic changes caused by use of fertilizers of natural origin in a coffee region of Veracruz, México

Luisa Vásquez-Montiel1 
http://orcid.org/0000-0002-4675-6183

Rufo Sánchez-Hernández1   
http://orcid.org/0000-0002-4385-4837

Eduardo Valdés-Velarde2 
http://orcid.org/0000-0002-6226-7443

Juan de Dios Mendoza-Palacios1 
http://orcid.org/0000-0002-2721-0839

Ulises López-Noverola1 
http://orcid.org/0000-0003-0819-6418

Esteban Escamilla-Prado3 
http://orcid.org/0000-0002-6602-7033

1 División Académica de Ciencias Agropecuarias, Universidad Juárez Autónoma de Tabasco. Carretera Villahermosa-Teapa km 25, ranchería La Huasteca, segunda sección. 86280 Villahermosa, Tabasco, México.

2 Departamento de Fitotecnia, Universidad Autónoma Chapingo. Carretera México-Texcoco km 38.5, Chapingo. 56230 Texcoco, Edo. de México, México.

3 Centro Regional Universitario Oriente, Universidad Autónoma Chapingo. Carretera Huatusco-Jalapa km 6. 94100 Huatusco, Veracruz, México.


RESUMEN:

México es un importante productor de café orgánico en el mundo, por lo que un sector de los productores de café del municipio de Ixhuatlán del Café, Veracruz, México, utilizan enmiendas orgánicas como mejoradores edáficos. Hipotéticamente estas fuentes provocan cambios edáficos que mejoran la producción de café. Por lo que se planteó el siguiente objetivo que fue determinar los cambios que provoca el aporte de mezclas elaboradas a partir de fuentes orgánicas a la fertilidad química del suelo, así como su contribución para mejorar el rendimiento del cultivo de café. Se aportaron cuatro abonos orgánicos elaborados a partir de cal dolomita, pulpa de café (PC), biol (abono fermentado líquido) y un mejorador de suelo denominado PSD® a suelo Cromic Luvisol (cutanic), a tres, seis y nueve meses después del aporte de los tratamientos al suelo, se determinaron las variables: materia orgánica, pH, conductividad eléctrica, nitrógeno, fosforo, y bases intercambiables (K, Ca, Mg, Na); paralelamente, se evaluó el rendimiento de café cereza. Los resultados indicaron que después de seis meses de la aplicación de los tratamientos, ocurre el mayor agotamiento de las fuentes orgánicas suministradas, que coincide con una mayor liberación de nutrientes. La dosis de 300 g de cal dolomita árbol-1 que se suministró (Tratamiento 1), resultó insuficiente para neutralizar la fuerte acidez inicial del suelo de 4.3. La pulpa de café y biol utilizados, son abonos orgánicos que por su relación C: N menor a 16, son de rápida mineralización, por lo que incrementaron ligeramente los niveles de nitrógeno, fosforo y bases intercambiables, alcanzando apenas niveles bajos o medianamente bajos. La cal dolomita y PCD® del Tratamiento 4 incrementó, pH, Ca y Mg, aunque esos cambios no se reflejan en el rendimiento de café cereza.

Palabras clave: abonos orgánicos; Coffea arabica; encalado; pulpa de café; luvisols

SUMMARY:

Mexico is an important producer of organic coffee worldwide. A sector of coffee growers in the municipality of Ixhuatlán del Café, Veracruz, Mexico, use organic amendments as edaphic improvers. Hypothetically, the contributions of these organic fertilizers cause edaphic changes that improve coffee production. Therefore, the objective of this study was to determine changes in soil chemical fertility caused by incorporating fertilizer mixtures made from organic sources, as well as their contribution to improving yield. To verify this hypothesis, four organic fertilizers formulated from dolomite lime, coffee pulp (PC), biol (fermented liquid fertilizer) and a soil improver called PSD® were added to a Cromic Luvisol (cutanic) soil. After three, six and nine months, the contribution of the treatments to the soil variables organic matter, pH, electrical conductivity, nitrogen, phosphorus, and interchangeable bases (K, Ca, Mg, Na) were determined. In parallel, yield was evaluated. The results indicate that six months after application of the treatments, the greatest depletion of the organic sources added occurs, coinciding with a greater release of the nutrients. The dose of 300 g of dolomite lime tree-1 supplied (Treatment 1) was insufficient to neutralize the strong initial soil acidity (pH 4.3). The coffee pulp and biol utilized are organic fertilizers that, because of their C: N ratio of less than 16, are of rapid mineralization and slightly increased levels of nitrogen, phosphorus and interchangeable bases, reaching only low or moderately low levels. The dolomite lime and PCD® of Treatment 4 improved the pH, Ca and Mg, although these changes are not reflected in increased coffee yield.

Index words: organic manure; Coffea arabica; liming; coffee pulp; luvisols

INTRODUCCIÓN

En México, uno de los cultivos orgánicos más importantes es el café; un sistema de producción originado en Chiapas a mediados del siglo XX, cuyo mayor crecimiento ocurrió a principios del siglo XXI (Delgado y Pérez, 2013). México participa en el mercado cafetalero con 1.5% del volumen de las exportaciones mundiales, por lo cual se ubica en el lugar 12 entre los países exportadores. Así, durante el ciclo comercial 2015/2016 se exportaron 2 025 000 sacos, mientras que las importaciones ascendieron a 1 815 000 sacos de 60 kg, equivalente en café verde. Alrededor de 62% del volumen exportado tiene como destino los Estados Unidos. Otros países de destino para el café mexicano son: Alemania, Italia, Japón, Francia, España, Bélgica, Canadá, Federación Rusa, Reino Unido y Países Bajos (FIRA, 2016). De acuerdo con la CIC (2015), México ocupa el noveno lugar en la producción de café a nivel mundial; sin embargo, cuando se trata de la producción de café de especialidad, el país se posiciona como el segundo productor de café orgánico más importante en el mundo, destacando los estados de Chiapas, Oaxaca, Veracruz y Puebla, con producción de 350 mil sacos de 60 kg de café verde por ciclo. La agricultura orgánica promueve la salud del ecosistema y de los seres humanos, rotación de cultivos y se abstiene de usar fertilizantes y pesticidas sintéticos, además de centrarse en la fertilidad nativa del suelo, por lo que la base del suministro de nutrientes es el uso de abonos orgánicos o productos inorgánicos, obtenidos a partir de minerales naturales que mejoran la asimilación de nutrientes (Meng et al., 2017). El subproducto más utilizado en el agrosistema de café orgánico, es la pulpa de café (PC), un residuo adecuado para la elaboración de composta, debido a su alto contenido de azúcares, buena relación C:N (25-30:1) y un tamaño de partícula adecuado (Pierre et al., 2009). Los bioles son otros productos aceptados en la agricultura orgánica, son abonos líquidos generados durante la higienización del compostaje, pueden contener niveles variables de nitrógeno (N), fósforo (P), potasio (K) y calcio (Ca); además, de que pueden contener reguladores de crecimiento que estimulan el desarrollo de las plantas, el crecimiento foliar y radical, la floración, así como también la germinación (Ubalua, 2007). La cal u óxido de calcio es un producto que, aunque no es orgánico, su uso dentro de los sistemas de producción orgánica es aceptado debido a su origen natural, por su abundancia y economía. En la práctica, los materiales más usados para encalar son el carbonato de calcio o calcita (CaCO3) y la dolomita (CaMg(CO3)2); su riqueza en Ca y magnesio (Mg), le permiten su aceptación dentro del esquema de producción orgánica, inclusive han sido la base para el desarrollo de productos comerciales como el denominado Potenciabilizador Solubilizador Dihidro (PDS®), producto utilizado con éxito como mejorador de suelo. De acuerdo con Hernández et al. (2017), los abonos orgánicos incrementan y diversifican los microorganismos del suelo, incrementan y estabilizan la estructura, aumentan la porosidad, mejoran el almacenamiento e infiltración del agua y reduce la densidad aparente (ρb); además, aportan nutrientes, aunque su liberación y disponibilidad depende de las características de las fuentes orgánicas y del suelo donde se aportan. De acuerdo con Escamilla et al. (2005), en México, una de las causas de la baja productividad del café cultivado orgánicamente, es el manejo inadecuado de los abonos orgánicos que se utilizan. Por la importancia del cultivo de café en el municipio de Ixhuatlán del Café, Veracruz México, el objetivo fue determinar los cambios que provoca el aporte de mezclas elaboradas a partir de dichas fuentes orgánicas a la fertilidad química del suelo, así como su contribución para mejorar el rendimiento del cultivo de café.

MATERIALES Y MÉTODOS

Descripción del sitio de estudio. La investigación se llevó a cabo en la comunidad de Zacamitla, perteneciente al municipio de Ixhuatlán del café, ubicada en la región montañosa central del estado de Veracruz, México; se localiza en las coordenadas geográficas 19° 03’ N y 96° 59’ O, y altitud de 1357 m. El clima predominante es semi-cálido húmedo, presenta temperatura media anual mayor a 19 ºC y precipitación media anual de 1700 mm. La flora nativa se compone de especies silvestres típicas del bosque mesófilo de montaña o bosque caducifolio (Valdés-Velarde et al., 2017).

Descripción del suelo. De acuerdo a los criterios del sistema de clasificación del IUSS Working Group WRB (2015), el suelo corresponde a Cromic Luvisols (cutanic). Los resultados de los análisis químicos y físicos realizados en el laboratorio, indican que se trata de suelo ácido con pH de 4.3, la textura es predominantemente arcillosa, libre de carbonatos y de sales, específicamente niveles de Na de 8 mg kg-1, CE de 0.09 dSm m-1, materia orgánica de 5.7%, niveles de N, P, K de 2, 2.2, 5 g kg-1 respectivamente, así como niveles de Ca, Mg y S de alrededor de 250, 380 y 4.21 mg kg-1 respectivamente.

Tratamientos. Los tratamientos seleccionados son los que los productores elaboran a partir de las fuentes orgánicas disponibles en la región y que se utilizan comúnmente, se dispusieron en campo como un diseño experimental en bloques completamente al azar, con cuatro repeticiones, con un arreglo factorial 4 × 3, donde se relacionan 4 tratamientos y 3 muestreos (3, 6 y 9 meses posteriores a la aplicación de los tratamientos). Los abonos se aportaron a la base de árboles en producción, tal a como comúnmente lo realizan los productores. El tratamiento 1 (T1) fue contemplado como testigo y consideró un encalado a base de CaMg(CO3)2, en dosis de 300 g árbol-1; el tratamiento 2 (T2) incluyó 300 g de cal + 6 kg de PC + 200 g de PSD®; en el tratamiento 3 (T3) se mezclaron 300 g de cal + 6 kg de PC + 110 mL de biol, y el tratamiento 4 (T4) consistió en una mezcla 300 g de cal + 6 kg de PC + 200 g de PSD® + 110 mL de biol. Por cada unidad experimental se contempló un árbol. Las propiedades químicas de las fuentes utilizadas se presentan en el Cuadro 1.

Cuadro 1: Caracterización química de las fuentes orgánicas utilizadas en la elaboración de los tratamientos. Table 1: Chemical characterization of the organic sources used in the elaboration of the treatments. 

Variables químicas Fuentes orgánicas
PC Biol PCD® CaMg(CO3)2
pH 6.1 5.6 ND ND
CE (dS m-1) 16 42 ND ND
MO (%) 92 4 7.4 ND
N (%) 4.54 0.14 0.1 ND
C:N 12 15 ND ND
P (%) 7.43 2.6 2.6 ND
K (%) 2.7 0.3 0.07 ND
Ca (%) 1.1 0.1 24.5 21.7
Mg (%) 0.2 0.2 6.8 13.1
Na (%) 0.6 0.4 ND ND
S (%) 0.1 21.6 ND ND
Fe (mg kg-1) 295 5.81 26 ND
Cu (mg kg-1) 24.5 297 5, 3 ND
Mn (mg kg-1) 62.1 16.1 0.016 ND
Zn (mg kg-1) 9.5 133 0.17 ND
B (mg kg-1) 40.0 1.78 0.01 ND

ND = no determinado; datos proporcionados por el fabricante.

ND = not determined; data provided by the manufacturer.

Muestreos. Después del aporte de los tratamientos, se colectaron muestras compuestas de suelos de cada unidad experimental, a 3, 6 y 9 meses. Dichas muestras se obtuvieron a partir de cuatro submuestras, tomadas en los cuatro puntos cardinales alrededor de los árboles tratados, a profundidad de 0-30 cm. Las submuestras correspondientes a cada unidad experimental fueron homogeneizadas, y una porción (muestra) fue trasladada al laboratorio para sus análisis. Las muestras fueron secadas a la sombra, trituradas en charolas de plástico y tamizadas a tamaño de partícula de <2 mm.

Variables evaluadas. A partir de las muestras procesadas, se determinaron las variables químicas: N-total total por el método Semi-micro Kjeldahl; MOS por el método de Walkley y Black; las variables pH y CE fueron medidas a través de un equipo electrónico modelo HI2210 de la marca Hanna Instrument®, específ icamente el pH mediante potenciometría en una solución suelo: agua relación 1:2; la CE fue determinada conductimetría automatizada con puente de Wheatstone; el fosforo (P) se determinó por el método Olsen, el cual cuantifica la absorbancia de disoluciones acuosas mediante un espectrofotómetro UV-visible de la marca Genesis 10uv®; las bases intercambiables se determinaron a través de una equipo de absorción atómica Perkin Elmer Analyst 100®. Los análisis químicos antes mencionados corresponden a los métodos establecidos por la Norma Oficial Mexicana PROY-NOM-021-RECNAT-2000 para determinar los niveles de fertilidad del suelo (NOM-021-RECNAT, 2002).

Procesamiento estadístico. Los datos recabados fueron analizados a través de análisis de varianza, de correlación y pruebas de comparación de medias de Tukey, con el paquete estadístico SAS para Windows versión 6.12.

RESULTADOS Y DISCUSIÓN

Cambios de las Variables Edáficas

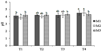
El suministro de los diferentes tratamientos no afectó el nivel de pH de 4.3 que registraba el suelo al inicio del experimento, dicho nivel se mantuvo en todos los tratamientos a lo largo del periodo de tiempo evaluado, solamente el T4 registró un discreto incremento en el nivel del pH que se prolongó hasta por 6 meses después del aporte; sin embargo, a partir de 9 meses, ese nivel regresó a su nivel inicial (Figura 1).

Figura 1: Cambios en el pH edáfico por el abonamiento orgánico en el agrosistema de café. Figure 1: Changes in edaphic pH by organic fertilization in the coffee agrosystem. 

El T1 se incluyó en la evaluación, sustentado en la práctica convencional que realizan los productores de la región de Ixhuatlán del Café, de aportar 300 g de CaMg(CO3)2 a pie del árbol para contrarrestar la acidez del suelo (Escamilla et al., 2005). La neutralización de la acidez depende de la capacidad de amortiguamiento o tampón que presentan los diferentes grupos de suelos, dicha capacidad se incrementa al aumentar la cantidad de MOS y arcillas. De acuerdo con Gilmour (2002), el aporte de 7.4 Mg ha-1 a un suelo con alta capacidad tampón, permite llevar un pH inicial de 4, hasta nivel de 6; sin embargo, esa misma cantidad de material encalante en suelo con baja capacidad tampón, incrementa el pH del suelo de 4 inicial, hasta nivel de 8.5 final. Con las consideraciones anteriores, un suelo que presenta pH de 4.3, 5.7% o más de MOS y textura fina, similar al suelo del presente estudio, cuya capacidad tampón se considera como alta, requiere 7.4 Mg ha-1 de material encalante, para llevar su pH de un nivel de 4 inicial, hasta un nivel final de 6; si se considera que actualmente los productores de la región solo aportan una dosis equivalente a 0.9 Mg ha-1, la cantidad aplicada solo cubre 12% de las necesidades de material encalante. La PC empleada en la elaboración de los T2, T3 y T4, y el biol empleado en los T3 y T presentaron pH de 6.1 y 5.6 respectivamente; valores que se pueden considerar con tendencia acida, que a pesar de interactuar con la capacidad neutralizante de la CaMg(CO3)2 utilizada, el efecto de los tratamientos como correctivos de la acidez edáfica fue pobre, particularmente por tratarse de un suelo con contenidos de arcilla mayores a 40% y MOS. De acuerdo con Zetina et al. (2002), las elevadas concentraciones de iones H+ que prevalecen en suelos ácidos favorecen el desplazamiento del Ca++ y otros cationes básicos, desde la superficie coloidal del complejo arcilla-humus, lo que afecta la formación de los agregados estables; la actividad microbiana disminuye, lo que reduce las tasas de mineralización y afecta las poblaciones de bacterias fijadoras de N como Rhizobium spp. y Azotobacter spp.; las formas móviles o disponibles de P se combinan con sesquióxidos de Fe y Al, causando inmovilización de P; además de que causa intoxicación por la solubilización de Al y Mo. En el caso del cultivo del café, la acidez del suelo tiene una gran relevancia sobre la calidad sensorial de la bebida, en suelos con altos contenidos de Fe y Al se obtiene una baja calidad de taza (Q1) con bajos atributos sensoriales, mientras que, en suelos con acidez moderada, los altos contenidos de Ca++ y Mg+, así como un adecuado porcentaje de saturación de bases, permiten alcanzar una mejor calidad de taza Q2 (Suárez et al., 2015). El acrónimo Q se refiere a un índice de calidad de la infusión de café, preparada y catada por un panel de expertos, quienes consideran los atributos de fragancia, aroma, acidez, sabor, cuerpo, dulzura y preferencia (Lingle, 2001). De acuerdo con Rodríguez et al. (2014) otros factores determinantes para alcanzar la máxima calidad de taza Q3, son la fertilidad edáfica, la precipitación pluvial, altitud y manejo de la fermentación del pergamino; en particular, una mayor concentración de K+ y Ca++ en el suelo incrementa la fragancia y aroma de la bebida, mientras que la elevada acidez y concentración de N, Na y Al reducen drásticamente los buenos atributos de dicha calidad.

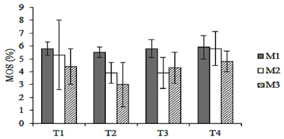
Antes del suministro de las enmiendas orgánicas, el suelo presentaba 5.7% de MOS, un alto porcentaje que se mantuvo durante todo el periodo de evaluación (Figura 2), inclusive en aquellos tratamientos que constituyeron un aporte de fuentes orgánicas como los T2, T3 y T4, esto se debe a que las dosis empleadas representan cantidades insignificantes con respecto a los altos contenidos iniciales de MOS que de manera natural tiene el suelo.

Figura 2: Cambios en la MOS por el abonamiento orgánico en el agrosistema de café. Figure 2: Changes in the SOM for organic fertilization in the coffee agrosystem. 

Se puede observar que el aporte de los tratamientos, no representa un incremento a los contenidos de MOS, por el contrario, desde el primer muestreo se observa una disminución de dichos contenidos, lo que se interpreta como un efecto del Ca++ y Mg+ suministrado a través de los T1, T2, T3 y T4, en los que se incluyó tanto CaMg(CO3)2 como PSD®; dicho efecto neutralizante, aunque brevemente, mejoró las condiciones químicas que favorecen la mineralización, por lo que aunado a las bajas relaciones C:N de los abonos orgánicos aportados, causan un agotamiento en los niveles de MOS, un efecto que fue menos significativo a 9 meses después del aporte de la enmienda.

Aunque no se observan diferencias estadísticas entre tratamientos y muestreos, los niveles más bajos de MOS se registran en el muestreo 3, que se colectó a 9 meses, particularmente se observó que las fuentes orgánicas utilizadas en los T2, T3, y T4, constituyeron una fuente altamente lábil de rápida mineralización. El análisis de correlación indica que precisamente el contenido de N correlaciona negativamente con el pH (r = -0.38, P ≤ 0.06), lo que confirma que un incremento en el pH provoca un mayor agotamiento de los contenidos de N, que se ve reflejada en una disminución de los contenidos de MOS. Durante el diagnostico químico de las fuentes utilizadas en la preparación de los abonos, se observó que tanto la PC como el biol líquido usado en la preparación de los T2, T3 y T4, presentan una relación C:N de 12 y 15 respectivamente, esos niveles de relación C:N se ubican dentro de un rango de rápida mineralización. Al respecto, Gallardo (2017) indica que una relación C:N <15 promueve una rápida descomposición de la enmienda, lo que puede causar contaminación al suelo debido a una liberación excesiva de NO3 -, las relaciones C:N >30, pueden provocar hambruna de nutrientes, mientras que una relación C:N entre 18-24 se puede considerar como óptima.

En el Cuadro 2 se muestran los contenidos nutrimentales registrados durante el periodo de evaluación. Se puede observar que, al inicio del experimento, los elementos N, P, K se mantuvieron en niveles deficitarios, por lo que el suelo se considera como de baja fertilidad, en parte por presentar problemas de fuerte acidez, y aunque el aporte de las enmiendas orgánico-minerales provocaron un incremento en los contenidos de dichos nutrientes, en ninguno de los tratamientos durante los tres muestreos, se superaron niveles de suficiencia, ubicándose en todo momento en niveles de bajos hasta moderadamente bajos. El P fue un nutriente poco afectado por el aporte de las enmiendas, por lo que los niveles bajos que se detectaron al inicio del experimento de 2.2 mg kg-1 se mantuvieron deficitarios a pesar de haberse incrementado a niveles de 3.7-4.7 mg kg-1, esto como una consecuencia de la alta fijación de P provocada por la acidez del suelo, así como el bajo contenido de P de las enmiendas, excepto en el caso de la PC, que aunque es rica en el contenido de P, este es inmovilizado debido al pH bajo que el suelo presentaba, por lo que no se observaron diferencias estadísticas entre tratamientos, ni entre muestreos, solamente los T1 y T2 que no tuvieron aportes de biol, presentaron un mayor contenido de P durante 6 meses, aunque para el muestreo realizado a 9 meses, de nueva cuenta no mostraron diferencias estadísticas entre tratamientos.

Cuadro 2: Dinámica nutrimental del N, P, K en suelos abonados con diferentes mezclas de abonos orgánicos en el agrosistema de café en Ixhuatlán del Café, Veracruz. Table 2: Nutritional dynamics of N, P, K in fertilized soils with different mixtures of organic fertilizers in the coffee agrosystem in Ixhuatlán del Café, Veracruz. 

Tratamiento N P K
M1 M2 M3 M1 M2 M3 M1 M2 M3
- - - - - - - - - - - - - - - - - - - - - - - g kg-1 - - - - - - - - - - - - - - - - - - - - - -
T1 3±0.3 3±1.4 2±0.7 5.7±2.1 6.3±1.3a 5.2±1.0 156±55 78±35 78±31
T2 3±0.0 2±0.4 1±0.9 4.6±1.5 4.6±2.1a 4.8±1.3 273±39 156±39 156±19
T3 3±0.4 2±0.6 2±0.6 3.9±0.7 2.1±1.0b 4.3±0.4 156±74 78±19 78±3
T4 3±0.5 3±0.6 2±0.4 4.6±0.8 1.7±0.4b 4.5±0.4 234±82 117±51 117±39
µ 3±0.3a 0.2±0.7ab 0.2±0.6b 4.7±1.5 3.7±1.2 4.7±0.8 195±66 117±35 117±31

En todos los tratamientos, los contenidos iniciales de Ca++ y Mg+ en el suelo se duplicaron y triplicaron, un efecto que se mantuvo durante todo el periodo de evaluación. Se observa que los mayores niveles de Ca++ y Mg+ se alcanzan a partir de los seis meses después del abonamiento orgánico, lo que coincide con los niveles de mayor agotamiento de la MOS y de N total, que es resultado de un incremento en la tasa de mineralización. Al respecto, Zetina et al. (2002) señalan que el suministro de CaMg(CO3)2 al suelo permite no tan solo aportar Ca++, sino que también es fuente de Mg+; sin embargo, es necesario que esta práctica sea realizada de manera adecuada, ya que un mal manejo puede romper el equilibrio químico, repercutiendo en una reducción en la disponibilidad de elementos como P, Mg, K, Mn, Zn, Cu y B. Cuando un suelo se encala, se incorporan una gran cantidad de nutrientes, tales como Ca, Mg y K, los cuales afectan los niveles de nutrientes en la solución del suelo, así como también en la relación entre los nutrientes, por lo tanto, al realizar un encalado es importante considerar que se mantengan dichas relaciones, de lo contrario la nutrición de las plantas es deficiente (Loide, 2004). Como se puede observar en el Cuadro 3, se tuvo un incremento del contenido de Ca++ del 115 mg kg-1 en el T4 y de 275 mg kg-1 en el T1.

Cuadro 3: Dinámica nutrimental del Ca, Mg, Na en suelos abonados con diferentes mezclas de abonos orgánicos en el agrosistema de café en Ixhuatlán del Café, Veracruz. Table 3: Nutritional dynamics of Ca, Mg, Na in fertilized soils with different mixtures of organic fertilizers in the coffee agrosystem in Ixhuatlán del Café, Veracruz. 

Tratamiento Ca Mg Na
M1 M2 M3 M1 M2 M3 M1 M2 M3
- - - - - - - - - - - - - - - - - - - - - - - g kg-1 - - - - - - - - - - - - - - - - - - - - - -
T1 320±200 300±120 880±140 108±72b 96±36b 120±12 37±23 34±9a 23±0
T2 540±200 480±140 900±180 168±72ab 132±48ab 132±24 23±0 27±5ab 23±0
T3 500±240 580±280 780±60 120±60ab 108±36b 132±24 39±0 32±9ab 23±0
T4 580±240 780±300 900±220 180±84a 204±84a 168±36 25±0 25±2b 23±0
µ 480±220b 540±200b 860±160a 144±72 132±48 144±24 32±9a 30±7ab 23±0b

Dependiendo del grado de labilidad de los abonos orgánicos, durante el proceso de la mineralización, ocurre la liberación de elementos químicos que se reflejan en un incremento de la CE, los resultados de esta investigación indican que la liberación de K+, Ca++ y Mg+ que se intensifica a 6 meses después del aporte de los abonos, es un indicador del incremento de la descomposición de los abonos orgánicos suministrados, que coincide con el aumento de la CE (Figura 3).

Figura 3: Cambios en la CE del suelo por el abonamiento orgánico en el agrosistema de café. Figure 3: Changes in the EC of the soil by organic fertilization in the coffee agrosystem. 

Estudios realizados por Behera y Shukla (2015), indican que un aumento en la CE es producto del incremento en la disponibilidad del K y Ca, y en menor medida del Mg. De acuerdo con Rhoades et al. (1999), la CE de un suelo es afectada por los sólidos disueltos que ocupan gran parte del espacio poroso, los cationes que se asocian con los minerales arcillosos, así como las partículas del suelo que están en contacto directo y continuo entre sí. La CE es una medición indirecta de la concentración de sales en el suelo, por lo tanto, la salinidad se refiere a la presencia de los principales solutos inorgánicos disueltos en la fase acuosa, que consisten en sales solubles y fácilmente disolubles, incluidas las especies cargadas (por ejemplo, Na+, K+, Mg+2, Ca+2, Cl, HCO3 -, NO3 -, SO4 −2 y CO3 −2), solutos no iónicos e iones que se combinan para formar pares de iones (Corwin y Lesch, 2005). Los niveles de macroelementos y microelementos, presentes en las fuentes utilizadas, particularmente en el biol y la PC es una de las razones por las cuales presentan elevados niveles de CE. En ambos casos, los niveles de CE son altos, al registrar valores de 16 y 42 dS m-1 para la PC y el biol respectivamente. Sin embargo, en el ambiente tropical, los efectos nocivos por el aporte de un abono orgánico demasiado salino pueden ser solo temporal, debido a que la lluvia ocasiona el lavado de las sales. Particularmente en el corto plazo, estas sales pueden ocasionar incremento en el potencial osmótico de la solución del suelo, lo que repercute en una disminución de la respiración de la microbiota del suelo, lo que afecta la tasa de descomposición de los pooles de carbono lábil (Setia et al., 2011).

La nutrición de N y K en el cultivo de café es de suma importancia, debido a que son necesarios durante la formación, crecimiento y maduración del fruto, por ello la exportación de ambos nutrientes ocurren principalmente durante la cosecha (Lima Filho y Malavolta, 2003). Por lo tanto, se requiere que el suministro de estos nutrientes sea en cantidades suf icientes, en el caso del cultivo de café, la eficiencia nutrimental es de 50% para el N, de 40% para el K y de 10% para el P (Martins et al., 2015). El suministro de P promueve interacciones P×Mg, K×Ca, Ca×Mg, Ca×Mn, Ca×Zn; Mg×Mn, Cu×Fe, Cu×Mn, y Mg×Zn (Rodrigues et al., 2015), de ahí la importancia de una adecuada disponibilidad de P en este cultivo. Una situación compleja de manejar en el área de estudio, considerando que, en esta región cafetalera, una de las limitaciones es precisamente la baja disponibilidad de P, debido a la acidez del suelo. De acuerdo con Romero (20061), las salidas de nutrientes expresadas en kg ha-1 en el sistema agroforestal de café, oscilan entre 51.4 - 83.8 de N, 4.47 - 6.96 de P, 69.5 - 103 de K, 7.72 - 16.7 de Ca y 3.46 - 8.04 de Mg, asimismo señala que por cada tonelada de café cereza cosechada, se exportan 16.3 kg de N, 1.3 kg de P, 21 kg de K, 2.5 kg de Ca y 1.2 kg de Mg. Si bien, en el sistema hay entradas que compensan las salidas, para mantener un balance nutrimental positivo, es necesario que haya un adecuado suministro de nutrientes a través de una apropiada tasa de mineralización de la MOS, así como bajas tasas de adsorción e inmovilización nutrimental, por lo que, dada la condición de fuerte acidez registrada en el área de estudio, es una situación difícil de lograr. Los resultados de la presente investigación indican que el N se incrementó brevemente durante los meses inmediatos a la aplicación de los abonos, regresando a sus niveles iniciales después de 6 meses, mientras que en los contenidos de P, K y Ca llegaron a duplicarse, o incluso a triplicarse como en el caso del Mg; sin embargo, aun con esos niveles, no se satisfacen los requerimientos nutrimentales del cultivo, por lo que el rendimiento de café cereza no aumenta de manera significativa en ninguno de los tratamientos evaluados (Figura 4). Inclusive mantienen niveles inferiores a los reportados por López-García et al. (2016), los cuales son en promedio de 4 kg árbol-1 para esa región cafetalera de Veracruz.

Figura 4: Producción de café cereza en cafetos abonados con abonos orgánicos. Figure 4: Production of coffee berries by coffee trees fertilized with organic fertilizers. 

CONCLUSIONES

Los suministros de las fuentes orgánicas evaluadas, generan un rápido incremento de N, que se agota velozmente, mientras que el aumento de Ca se da paulatinamente, alcanzando su máximo nivel hasta 9 meses posteriores al abonamiento. Después del aporte, los mayores incrementos en el contenido de N, P y Na ocurren a 6 meses, del Mg a 3 meses, mientras que el K no sufre cambios. Al incrementarse los contenidos nutrimentales, se observa un repunte en la CE; sin embargo, estos efectos son temporales, por lo que al disminuir estos, la CE regresa a su condición original. La mejora en el pH del suelo solo se observa con el suministro del T4, mientras que las variables MOS y K no se modificaron bajo ninguna circunstancia, en particular porque dichas enmiendas son altamente lábiles y las dosis resultaron insuficientes para satisfacer los requerimientos del cultivo, así como para mantener un efecto de largo plazo de las condiciones edáficas, por lo que el rendimiento de café cereza no se incrementa substancialmente.

AGRADECIMIENTOS

Los autores de la presente contribución externamos nuestro agradecimiento al Centro de Investigación, Desarrollo y Enseñanza en Agricultura Multifuncional (IDEA Multifuncional) de la Universidad Autónoma Chapingo (UACH), por el financiamiento otorgado a la investigación a través del Subproyecto estratégico Carbono orgánico del suelo y nutrimentos edáficos en sistemas agroforestales de café de Veracruz, México, que formó parte del Proyecto Estratégico Agricultura Multifuncional para el Desarrollo Sostenible con Clave 17022-ECI.

LITERATURA CITADA

Behera, S. K. and A. K. Shukla. 2015. Spatial distribution of surface soil acidity, electrical conductivity, soil organic carbon content and exchangeable potassium, calcium and magnesium in some cropped acid soils of India. Land Degrad. Dev. 26: 71-79. doi: https://doi.org/10.1002/ldr.2306. [ Links ]

CIC (Convención Internacional del Café). 2015. Carpeta de Difusión. SAGARPA. Dirección General de Productividad y Desarrollo Tecnológico. México. 27p. http://docplayer.es/39089639-Subsecretaria-de-agricultura-direccion-general-de-productividad-y-desarrollo-tecnologico-carpeta-de-difusion.html . (Consulta: febrero 10, 2019). [ Links ]

Corwin, D. L. and S. M. Lesch. 2005. Apparent soil electrical conductivity measurements in agriculture. Comput. Electronic. Agric. 46: 11-43. doi: https://doi.org/10.1016/j.compag.2004.10.005. [ Links ]

Delgado J., G. y P. Pérez A. 2013. Evaluación de la conversión a café orgánico usando la metodología de opciones reales. Cont. Administ. 58: 87-115. https://doi.org/10.1016/S0186-1042(13)71199-9. [ Links ]

Escamilla, E., O. Ruiz, G. Díaz, C. Landeros, D. E. Platas, A. Zamarripa y V. A. González. 2005. El agroecosistema café orgánico en México. Manejo Integr. Plagas Agroecol. 76: 5-16. [ Links ]

FIRA (Fideicomisos Instituidos en Relación con la Agricultura). 2016. Panorama agroalimentario: Café 2016. En línea: https://www.gob.mx/cms/uploads/attachment/f ile/200636/Panorama_Agroalimentario_Caf__2016.pdf (Consulta: febrero 10, 2019). [ Links ]

Gallardo Lancho, J. F. 2017. La materia orgánica del suelo. Residuos orgánicos, humus, compostaje y captura de carbono. SiFyQA. Salamanca, España. ISBN-13: 978-8493743772. [ Links ]

Gilmour, J. 2002. Study guide for the soil science fundamentals examination council of soil science examiners. Council of Soil Science Examiners, Soil Science Society of America. Madison, WI, USA. [ Links ]

Hernández De la C., O. B., R. Sánchez H., V. M. Ordaz Ch., U. López N., M. A Estrada B. y M. A. Pérez M. 2017. Uso de compostas para mejorar la fertilidad de un suelo Luvisol de ladera. Rev. Mex. Cienc. Agríc. 8: 1273-1285. https://doi.org/10.29312/remexca.v8i6.293. [ Links ]

IUSS Working Group WRB (International Union of Soil Sciences). 2015. World Reference Base for Soil Resources 2014, update 2015. International soil classification system for naming soils and creating legends for soil maps. World Soil Resources Reports No. 106. FAO, Rome. ISBN 978-92-5-108369-7. [ Links ]

Lima Filho, O. F. and E. Malavolta. 2003. Studies on mineral nutrition of the coffee plant (Coffea arabica L. cv. Catuaí Vermelho): LXIV. Remobilization and re-utilization of nitrogen and potassium by normal and def icient plants. Braz. J. Biol. 63: 481-490. doi: http://dx.doi.org/10.1590/S1519-69842003000300014. [ Links ]

Lingle, T. R. 2001. The coffee cuppers handbook -a systematic guide to the sensory evaluation of coffees flavor. Specialty Coffee Association of America ASIC. Long Beach, CA, USA. [ Links ]

Loide, V. 2004. About the effect of the content and ratio of soil´s available calcium, potassium and magnesium in liming of acid soils. Agron. Res. 2: 71-82. [ Links ]

López-García, F. J., E. Escamilla-Prado, A. Zamarripa-Colmenero y J. G. Cruz-Castillo. 2016. Producción y calidad en variedades de café (Coffea arabica L.) en Veracruz, México. Rev. Fitotec. Mex. 39: 297-304. [ Links ]

Martins, L. D., L. S. Machado, M. A Tomaz, and J. F. T. do Amaral J. 2015. The nutritional eff iciency of Coffea spp. A review. Afr. J. Biotechnol. 14: 728-734. doi: 10.5897/AJB2014.14254. [ Links ]

Meng, F., Y. Qiao, W. Wu, P. Smith, and S. Scott. 2017. Environmental impacts and production performances of organic agriculture in China: A monetary valuation. J. Environ. Manage. 188: 49-57. doi: https://doi.org/10.1016/j.jenvman.2016.11.080. [ Links ]

NOM-021-RECNAT-2000 (Norma Of icial Mexicana). 2002. Que establece las especif icaciones de fertilidad, salinidad y clasif icación de suelos. Estudios, muestreo y análisis. SEMARNAT. México, D. F. [ Links ]

Pierre, F., M. Rosell, A. Quiroz y Y. Granda. 2009. Evaluación química y biológica de compost de pulpa del café en Caspito municipio Andrés Eloy Blanco, estado Lara, Venezuela. Bioagro: 105-110. [ Links ]

Rhoades, J. D., D. L. Corwin, and S. M. Lesch. 1999. Geospatial measurements of soil electrical conductivity to assess soil salinity and diffuse salt loading from irrigation. pp. 197-215. In: D. L. Corwin, K. Loague, T. R. Ellsworth (eds.). Assessment of non-point source pollution in the vadose zone. Geophysical Monograph 108. American Geophysical Union. Washington, DC, USA. ISBN: 978-1-118-66469-8. [ Links ]

Rodrigues, W. N., T. V. Colodetti, L. D. Martins, S. V. B. Brinate, M. A. Tomaz, and J. F. T. do Amaral. 2015. Nutritional components of growth of Arabica coffee genotypes cultivated under different levels of phosphorus fertilization studied by path analysis. Austr. J. Crop Sci. 9: 1214-1220. [ Links ]

Rodríguez B., E., G. A. Vega C. y J. C. Suárez S. 2014. Fuentes de variación que tienen efecto sobre los atributos sensoriales de taza en sistemas agroforestales de café (Coffea arabica) en el sur de Colombia. Rev. SENNOVA (Colombia) 1: 64-77. [ Links ]

Setia, R., P. Marschner, J. Baldock, D. Chittleborough, P. Smith, and J. Smith. 2011. Salinity effects on carbon mineralization in soils of varying texture. Soil Biol. Biochem. 43: 1908-1916. doi: https://doi.org/10.1016/j.soilbio.2011.05.013. [ Links ]

Suárez S., J. C., E. Rodríguez B. y E. H. Duran B. 2015. Efecto de las condiciones de cultivo, las características químicas del suelo y el manejo de grano en los atributos sensoriales de café (Coffea arabica L.) en taza. Acta Agron. 64: 342-348. doi: https://doi.org/10.15446/acag.v64n4.44641. [ Links ]

Ubalua, A. O. 2007. Review: Cassava wastes, treatment options and value addition alternatives. Afr. J. Biotechnol. 6: 2065-2073. doi: https://doi.org/10.5897/AJB2007.000-2319. [ Links ]

Valdés-Velarde, E., L. P. Vázquez-Domínguez, J. C. Vázquez-Rodríguez, J. F. Gallardo-Lancho y R. Sánchez-Hernández. 2017. Estimación del carbono orgánico capturados en cafetales del área central del estado de Veracruz (México). pp. 391-413. In: J. F. Gallardo L. (ed.). La materia orgánica del suelo. Residuos orgánicos, humus, compostaje y captura de carbono. SiFyQA. Salamanca, España. ISBN-13: 978-8493743772. [ Links ]

Zetina L., R., L. Pastrana A., J. Romero M. y J. Jiménez Ch. 2002. Manejo de los suelos ácidos para la región tropical húmeda de México. Folleto técnico No. 10. Instituto Nacional de Investigaciones Forestales, Agrícola y Pecuaria (INIFAP). México, D. F. [ Links ]

1Romero L., S. A. 2006. Aporte de biomasa y reciclaje de nutrientes en seis sistemas agroforestales de café (Coffea arabica var. Caturra), con tres niveles de manejo. MSc Thesis. CATIE. Costa Rica.

Recibido: 10 de Marzo de 2019; Aprobado: 07 de Mayo de 2019

Autor para correspondencia (rufo.sanchez@ujat.mx)

Creative Commons License Este es un artículo publicado en acceso abierto bajo una licencia Creative Commons