Introducción
El sector textil está valorado en 3,000 billones de dólares e integra a más de 300 millones de trabajadores, generando el 2% del Producto Interno Bruto (PIB) a nivel mundial. Este sector se compone de dos ramas. La primera rama, “la industria textil” se enfoca en el desarrollo, producción y distribución de materia prima, principalmente en las fibras naturales como algodón, lino, sedas y las fibras sintéticas como poliéster, rayón, nylon, entre otras. La segunda rama, “la industria confección” se compone de tres sectores; el “mercado de la moda” (ropa, zapatos, mochilas, etc.,), el mercado de indumentaria de hogar (manteles, sábanas, toallas) y mercado de prendas industriales (uniformes, guantes, zapatos, etc.,) (Mirandona et al., 2007).
En Estados Unidos de América (EUA) el sector textil tiene una contribución de 406 mil millones de dólares equivalente al 4% del PIB anual y empleando a 1.9 millones de trabajadores (Fashion United, 2016), por su parte en China genera 255 mil millones de dólares solo en exportaciones y ocupa a 10 millones de trabajadores, siendo los países más importantes para el sector textil por encima de potencias como Bangladesh, Vietnam e India (Fashion United, 2013). Mientras tanto, el sector textil en Latinoamérica representa uno de los sectores económicos más importantes. En Colombia el sector representa el 8.1% del PIB, en Argentina constituye el 5.4% del empleo nacional con un PIB per cápita de 1,813 dólares aproximadamente y en el caso de México este sector es responsable del 3.5% del PIB y genera más de medio millón de empleos (INEGI, 2020).
La importancia del sector textil en el PIB de la mayoría de los países, el decrecimiento del sector en la última década y el dominio del sector por parte de Estados Unidos y China, sumado al gran aporte del mercado de la moda al sector textil ha generado un aumento en la competitividad en el mercado de la moda al ser un pilar en la mayoría de las económicas de Latinoamérica y en consecuencia una mayor competencia entre las empresas del mercado. Esta situación, ha llevado a las empresas a invertir grandes cantidades de dinero para lograr la preferencia del consumidor. Empresas líderes en el mercado como Inditex invirtió más de 9.400 millones de euros en los últimos 6 años y ha destinado el 10% de su presupuesto para mejorar las experiencias del consumidor (Modaes Latinoamérica, 2019).
Una de las principales teorías en la literatura para determinar los elementos referentes a las actitudes e intenciones es la Teoría de Acción Razonada (TRA por sus siglas en inglés: Theory of Reasoned Action) propuesta por Ajzen y Fishbein (1977) quienes indican que el comportamiento del individuo se verá influenciado por las actitudes (A) y las Normas Subjetivas (NS). Si bien la TRA se refiere a las actitudes como las creencias del individuo sobre si cierto comportamiento será positivo o negativo para él, al relacionar las actitudes con el comportamiento de compra las creencias aluden aspectos como la satisfacción del consumo, las expectativas del consumidor y las experiencias de consumo, entonces el desarrollo de actitudes de compra dependerá directamente de la percepción de calidad (Parasuraman et al., 1988).
Por otro lado, la TRA se cataloga dentro de las teorías de modificación de comportamiento al fundamentarse en postulados cognitivos, conductistas y psicoanalistas, por ende, los elementos particulares del individuo como las habilidades personales y el comportamiento social son esenciales para determinar las intenciones del individuo (Brackett, et. al, 2006). De ahí que las creencias de los individuos sobre si el comportamiento que tendrán será aceptado o rechazado por su entorno social es fundamental, siendo esta la definición de normas subjetivas propuesta en la TRA. Las normas subjetivas, las capacidades del individuo enfocado en el conocimiento de sí mismo y control de impulsos son determinantes para regular la influencia del entorno social en el comportamiento (Goleman, 1995) e intenciones de compra.
Por lo anterior, identificar las variables que generan actitudes y normas subjetivas que estimulen el comportamiento del consumidor hacia una marca o hacia los productos es esencial para las organizaciones del mercado de la moda (Bernabéu et al., 2013). Debido a ello, los especialistas del marketing se han enfocado en desarrollar investigaciones de mercado más especializadas, las cuales profundizan en el contexto social e influencias internas del consumidor con la finalidad de determinar los elementos que influyen en la intención de compra y preferencia del consumidor (Seetharaman et al., 2017). Estos nuevos tipos de investigaciones de mercado consideran elementos personales del consumidor como su formación, conocimiento y habilidades (Escuela Superior de Diseño de Barcelona, 2019).
Cabe hacer mención que, entre cada 20 y 25 años, nace una nueva generación la cual se distingue por tener características diferentes a la generación predecesora y antecesora (Strauss y Howe, 1992). Estas diferencias generacionales se verán representadas en expectativas de la generación en función de los aspectos laborales, familiares y sociales, dando un comportamiento similar para individuos de la misma generación el cual discrepara del comportamiento de otras generaciones. Por consiguiente, las actitudes, la intención y el comportamiento de compra para el mercado de la moda será diferente en cada generación. Los jóvenes nacidos entre 1996 y 2007 son conocidos como Generación Z (Gen Z) Oblinger, (2003). Esta generación se distingue por haber nacido en la era de la información y en la era con mayor auge en el consumo (Rossi et al., 2018), por lo cual, conocer que variables influyen en el comportamiento e intención de compra de la Gen Z es esencial para el éxito del mercado de la moda.
Al considerar la participación del mercado de la moda en el sector textil y la importancia de la Gen Z como consumidores. Surge la necesidad de determinar los factores que influyen la intención de compra desde el enfoque de la TRA en el mercado de la moda por parte de la Gen Z.
Marco teórico
Teoría de las generaciones
Las generaciones son definidas por una serie de eventos históricos relacionados los cuales establecen una distinción generacional en un grupo de personas (Parry y Urwin, 2011). Strauss y Howe (1992) determinan que las generaciones siguen un proceso de 4 fases integradas por la niñez, la juventud, la mediana edad y la vejez, razones por las cuales entre cada generación se tiene una brecha de 20 a 25 años aproximadamente. Del mismo modo, establecen que cada generación está compuesta por características individuales las cuales rigen los enfoques y decisiones creando valores conjuntos determinados por de eventos históricos, tendencias y desarrollos tecnológicos.
Oblinger (2003) clasifica las generaciones en cinco categorías; la generación Madura compuesta por los nacidos antes de 1946, los Baby Boomers compuesta por los nacidos entre 1947 y 1964, la generación Xers también conocida como generación X compuesta por los nacidos entre 1965 y 1980, la generación Y también conocida como Millenials compuesta por los nacidos entre 1981 y 1995 y la generación Z compuesta por los nacidos entre 1996 y 2007. En necesario mencionar que, diversos autores presentan sus clasificaciones de las generaciones con algunas modificaciones en nombres de las generaciones y rango de edad (Tabla 1.)
Tabla 1 Clasificación de generaciones por autor
| Silent Generation | Baby Boomers | Generación X | Millennial | Generación Z | Autores |
|---|---|---|---|---|---|
|
|
1943-1960 |
|
|
Howe y Strauss (2000) | |
|
|
1943-1960 |
|
|
Zemke, Raines y Filipczak (2000) | |
|
|
1946-1964 |
|
|
Lancaster y Stillman (2002) | |
|
|
1946-1960 |
|
|
Martín y Tulgan (2006) | |
|
|
1947-1964 |
|
|
1996-2007 | Oblinger (2003) |
Fuente: Tomado de Vargas-Rodríguez et al. (2020)
Las generaciones y el consumo
Las características individuales de cada generación como los son sus necesidades y preferencias ayudan a encaminar decisiones sobre contenidos y formatos para mejorar la comunicación de los mensajes en el área de mercadotecnia (Sandeen, 2008). Diversas características particulares podemos encontrar en cada generación, donde sus hábitos de consumo, sus capacidades y visión del mundo. Para las marcas tanto la Gen Z como los millennials son consumidores voraces, pero la Gen Z además, se considera como la principal creadora de tendencias en el mundo global (Dobre et al., 2021).
Los miembros de esta generación buscan experiencias, en consecuencia, la personalización es un factor clave. Al crecer en una economía llena de retos y problemas sociales, observan el trabajo como un impulsor de sus capacidades, sin considerarlo seguridad en su futuro como lo hacían generaciones anteriores. Específicamente, la afinidad por la tecnología de la Gen Z genera un nicho de mercado poco explorado, no obstante, se estima que es un segmento que ganará fuerza económica en los próximos años. Una de las particularidades de la Gen Z es adaptar las redes sociales a su vida diaria y su gran participación en internet donde comparten tanto experiencias como recomendaciones, e incluso se vuelven embajadores de las marcas públicamente (Athwal, et al., 2019; Dobre et al., 2021; Kneidinger, 2014).
Lo anterior ha generado que la Gen Z sea la primera generación global al estar interconectados desde la niñez. Por lo tanto, la adopción de una tendencia por parte de los miembros de la Gen Z, será replicada por gran parte de la generación alrededor del mundo debido a su capacidad de interconexión (Francis y Hoefel, 2018). Siendo esta una característica única de la Gen Z, he de ahí la importancia de entender que elementos estimulan las actitudes e intenciones de la Gen Z en el mercado de la moda.
Teoría del comportamiento razonado
El desarrollo de la TRA se basa en las investigaciones realizadas por Ajzen y diversos colaboradores como Fishbein, los cuales durante las décadas de los 70 y 80 trabajaron en estudios psicosociales, enfocados en aspectos como las actitudes, intenciones y comportamiento. Una de sus primeras investigaciones de este tipo fue en 1970 donde Ajzen y Fishbein (1970), analizan las actitudes y las normas sociales como predictores del comportamiento, dando como resultado una relación entre estas variables, formando los cimientos de la TRA (Figura 1).

Fuente. Elaboración propia basada en Ajzen & Fishbein (1970).
Figura 1 Estudio de Ajzen & Fishbein 1970.
Ajzen continuó con los estudios de comportamiento publicando en 1977 en el Psychological Bulletin, una revisión bibliográfica de diversas investigaciones prácticas sobre aspectos de predicción del comportamiento, donde examinó de manera detallada en la literatura psicosocial la influencia de las actitudes en el comportamiento de los individuos. Concluyendo con esta revisión la existencia de una estrecha relación entre actitudes y comportamiento de los individuos (Ajzen y Fishbein, 1977) (Figura 2).

Fuente. Elaboración propia basada en Ajzen & Fishbein (1977).
Figura 2 Estudio de Ajzen & Fishbein 1977.
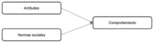
Estos estudios, dieron pie a la teoría de acción razonada de Ajzen y Fishbein (1977), la cual considera las actitudes hacia la conducta y las normas subjetivas como factores que estimulan la intención del individuo (Figura 3).

Fuente. Elaboración propia basada en Ajzen y Fishbein (1980).
Figura 3 Modelo de teoría de acción razonada.
La TRA establece que las intenciones de realizar un comportamiento de un individuo se compondrán de las normas subjetivas y las actitudes. Entendiendo las normas subjetivas como las creencias del individuo sobre si el entorno considera el comportamiento que desea generar como favorable o desfavorable. Y las actitudes como las creencias internas del individuo sobre un objeto, persona o institución. Estas variables servirán como información para el individuo al momento de tomar la decisión de la intención del comportamiento. La intención del comportamiento se desarrollará con base en lo que el individuo considera que será un comportamiento positivo. En este sentido, positivo puede considerarse como cualquier comportamiento que le genera algún beneficio tangible o intangible. Por lo cual, a pesar de que las actitudes, normas subjetivas sean positivos, si el individuo considera el efecto de ese comportamiento negativo o no favorable no se desarrollará una intención de dicho comportamiento (Ajzen y Fishbein, 1980).
Bajo los postulados de la TRA la intención de compra del consumidor será influida por las actitudes y las normas subjetivas del consumidor hacia el producto y/o servicio o sector y/o mercado. Por lo cual, una actitud más positiva hacia producto y/o servicio o sector y/o mercado generará una mayor intención de compra. Asimismo, unas normas subjetivas favorables o positivas hacia el producto y/o servicio o sector y/o mercado suscitara mayores intenciones de compra por parte del consumidor. Por lo tanto, se propone las siguientes hipótesis:
Hipótesis 1. Los individuos de la Generación Z con normas subjetivas positivas y/o favorables hacia el mercado de la moda tienen una mayor la intención de compra, que los que individuos con normas subjetivas negativas o no favorables al mercado de la moda.
Hipótesis 2. Los individuos de la Generación Z con actitudes más positivas y/o favorables hacia mercado de la moda tienen una mayor intención de compra, que los que individuos con actitudes negativas o no favorables hacia el mercado de la moda.
Inteligencia emocional, actitudes y normas subjetivas
La inteligencia emocional (IE), puede definirse como la capacidad de regular y diferenciar los sentimientos propios y ajenos para, posteriormente, usar la información para la toma de decisiones. Específicamente la inteligencia emocional se desarrolla en un proceso de cuatro etapas. La primera etapa habilidad de percibir y expresar emociones, es la facilidad del individuo de comprender sus propias emociones y poder etiquetarlas verbalmente para transmitirlas hacia un tercero. La segunda etapa facilitación emocional, refiere a la capacidad del individuo de generar emociones que favorezcan la capacidad cognitiva. La tercera etapa la comprensión emocional, considera la capacidad del individuo de entender la correlación que existe entre sus sentimientos y pensamientos, en los diferentes cambios de ánimo. La cuarta etapa la regulación emocional, es la capacidad de controlar las emociones ya sean negativas o positivas (Salover y Mayer, 1989).
En la TRA, las variables actitudes y normas subjetivas se establecen en función de las creencias del individuo. Entendiendo las creencias como la relación de valor, atributo o concepto que un individuo tiene subjetivamente hacia un objeto, situación, institución o persona, entre otras cosas. Estas creencias se clasifican en tres tipos; las creencias descriptivas, las creencias inferenciales y las creencias informativas (Ajzen y Fishbein, 1991) (Figura 5).
Las creencias descriptivas hacen referencia a las desarrolladas por el individuo mediante la observación de este sobre el objeto o sujeto. Esta observación puede desarrollarse mediante una interacción directa del individuo con el objeto, persona o institución en cuestión. Asimismo, puede generarse mediante una observación indirecta. Siendo esta la forma más práctica de componer una creencia y la más cercana a la realidad. Las creencias informativas como su nombre lo indica son creencias generadas por el individuo en función de la información recibida sobre ese objeto o sujeto de manera informativa, omitiendo la interacción con el objeto de manera directa (Ajzen, 1991).
Las creencias inferenciales pueden desarrollarse en función a la asociación mental que tiene el individuo con el objeto. En este sentido, las experiencias del sujeto y su forma de asociación son fundamentales en el desarrollo de estas creencias. Las creencias inferenciales, son las más complejas de las creencias siendo estas las menos acercadas a la realidad ya que pueden desarrollarse mediante dos procesos los cuales dependerán de la capacidad lógica del individuo o de su asociación mental con el objeto, persona o institución. Es necesario mencionar que las creencias son dinámicas en función de diversos factores, tales como las experiencias del individuo, las etapas de vida, entre otras. Siendo las creencias generadas hacia personas u objetos las que con mayor facilidad se modifican y las concernientes a instituciones las que menos varían (Ajzen, 1991).
El mercado de la moda se caracteriza por ajustarse al ciclo adopción de tendencias el cual sigue el modelo de la curva de adopción de innovación propuesta por Rogers (2003), esto aunado al auge de la globalización, el desarrollo de la cadena de suministros y el crecimiento del desplazamientos de fibras ha generado la moda rápida (fast fashion su término en inglés) (Bick et al., 2018), con ello propiciando que el mercado de la moda cambie la oferta de producto varias veces durante el año.
En consecuencia, el proceso de compra por parte del consumidor en el mercado de la moda no es un proceso de compra tradicional. Se caracteriza por necesitar evaluar la nueva oferta de productos por parte del mercado antes de tomar una decisión en cada proceso de compra debido a los ciclos de tendencia. Por ende, las actitudes y normas subjetivas en el mercado de la moda se desarrollarán inicialmente en función de las creencias informativas. Cabe hacer mención que, el proceso de compra es recurrente para los consumidores al erogar el 4.5% de su ingreso mensual. Por consiguiente, las actitudes y normas subjetivas hacia el mercado de la moda también se desarrollarán mediante creencias descriptivas al ser estas estructuradas mediante una interacción directa y experiencias previas.
Esta situación, ha estimulado el uso de la mercadotecnia para dar a conocer e incentivar a los consumidores a realizar la compra de los productos del mercado de la moda. Esta mercadotecnia se ha enfocado en comprender las emociones de los consumidores poder influir en la toma de decisiones y la percepción del consumidor (Rodríguez y Cortazar, 2016) Ya que al conocer las emociones del consumidor y como las regula (inteligencia emocional) se puede incentivar al consumidor a que valore un mercado, marca o producto de forma positiva o negativa (Vredeveld, 2018).
Autores como Silva et al. (2017), Jiang et al. (2014) y Köster y Mojet (2015) aluden que los aspectos extrínsecos provocan respuestas emocionales en los consumidores modificando sus actitudes. Siendo la inteligencia emocional la habilidad de los individuos que permitirá controlar sus emociones de forma adecuada para generar actitudes positivas y una toma de decisiones correcta (Brackett y Salovey, 2006). Bajo este orden de ideas, las personas con un mayor control de sus emociones serán menos sensibles a los estímulos de la mercadotecnia antes y durante el proceso de compra, permitiéndoles discernir, discriminar y seleccionar los elementos emocionales que estimulan el desarrollo de actitudes positivas y decisiones correctas hacia el mercado de la moda. Por lo tanto, se propone la siguiente hipótesis:
Hipótesis 3. Los individuos de la Generación Z con mayor Inteligencia Emocional (IE) tienen actitudes más positivas y/o favorables hacia mercado de la moda, que los que individuos con una menor Inteligencia Emocional (IE).
Mientras tanto, las normas subjetivas en el mercado de la moda se entienden como la presión social que sufre el consumidor al considerar las opiniones de los demás sobre cómo debe ser su comportamiento (Horng et al., 2013). Estas opiniones de individuos, grupos u organizaciones mediante la mercadotecnia estimularán las creencias informativas del consumidor en el mercado de la moda. Cabe hacer mención que, la presión social generada por las opiniones de los individuos, grupos u organizaciones dependerá de la susceptibilidad de cada consumidor (Pha et al., 2015).
Por su parte, la susceptibilidad se generará en función de aspectos informativos y normativos; los aspectos informativos influirán en mayor medida en los consumidores menos escépticos sobre la información recibida por parte de las organizaciones. En contraste, los aspectos normativos refieren a la necesidad del individuo a cumplir con las expectativas del entorno sobre su autoimagen y su interés en cumplir sus expectativas e impresionarlos (Phau et al., 2015).
Por tanto, los consumidores con una mayor inteligencia emocional serán más escépticos sobre la información recibida por parte de las organizaciones del mercado de la moda y por ende serán menos susceptibles a los aspectos informativos y a la presión social ejercida por las organizaciones. Del mismo modo, los consumidores con una mayor inteligencia emocional tendrán un mejor control de su regulación emocional, por lo cual, serán menos susceptibles a los aspectos normativos al poder controlar sus emociones y no sentirse presionados a cumplir las expectativas o impresionarlos. Por lo tanto, se propone la siguiente hipótesis:
Hipótesis 4. Los individuos de la Generación Z con mayor Inteligencia Emocional (IE) son menos sensibles a las Normas Subjetivas (NS) hacia el mercado de la moda, que los que individuos con una menor Inteligencia Emocional (IE)
Percepción de calidad y actitudes
Como se mencionó anteriormente las actitudes de un individuo se compondrán de las creencias descriptivas e informativas. Bajo este enfoque, las creencias descriptivitas que estimulan las actitudes hacia el mercado de la moda por parte del individuo se generarán en función de los procesos de compra previos. En consecuencia, satisfacer las necesidades del consumidor durante el proceso de compra en el mercado de la moda es esencial para provocar actitudes positivas por parte del consumidor. Puesto que, si el consumidor considera que los servicios y/o productos previos fueron adecuados generarán creencias descriptivas positivas hacia los servicios y/o productos y en consecuencia actitudes favorables hacia el servicio y/o producto.
La satisfacción de las necesidades y expectativas desde la perspectiva del consumidor en relación con los servicios y/o productos puede definirse como el concepto de calidad (Yang y Lee, 2019) En consecuencia, el identificar como el consumidor percibe la calidad del producto o servicio son fundamentales para el éxito de las organizaciones. La percepción de calidad se define como la diferencia entre las expectativas del producto y/o servicio y la percepción del desempeño del servicio desde el punto de vista del consumidor (Parasuraman et al., 1985).
Para Parasuraman et al. (1985) las diferencias entre las expectativas y la percepción real de calidad del consumidor al momento de recibir el producto o servicio, se establece en 5 diferencias nombradas GAP. El primer GAP considera las expectativas del consumidor hacia la empresa. El segundo GAP se encuentra en cómo la empresa transmite que entendió las expectativas del consumidor, de manera sencilla puede interpretarse como el consumidor percibe que la empresa escucha sus necesidades de calidad en el servicio. El tercer GAP se refiere a la modificación o aplicación del servicio en función a las expectativas del consumidor, entendiendo este punto como si el consumidor percibe que las expectativas que tiene sobre la empresa han sido ejecutadas de manera adecuada. El cuarto GAP se refiere a la discrepancia entre información presentada por la empresa sobre el valor del producto o servicio y el valor real ofertado por la empresa. El último de los GAP alude a la culminación de todo los anteriores, debido a que en este es donde se establece la percepción de calidad. En este punto, se considera la calidad del servicio en función a la percepción del consumidor y se contrasta con las expectativas de este en relación con la calidad esperada. Bajo este enfoque, los consumidores con una mayor satisfacción en las expectativas por parte del producto del mercado de la moda generaran creencias descriptivas más favorables sobre el mercado en consecuencia desarrollando actitudes positivas y/o favorables hacia el mercado de la moda. En función de lo anterior se propone la hipótesis cinco.
Hipótesis 5. Los individuos de la Generación Z con una percepción de calidad positivas y/o favorable hacia mercado de la moda tienen una actitud más favorable que los individuos con una percepción de calidad negativa o menos favorable hacia el mercado de la moda.
El género en las actitudes de compra
Como se mencionó anteriormente, la intención de compra, la satisfacción, la lealtad del consumidor, entre otros, están sesgadas por los factores emocionales y las presiones sociales En relación con los aspectos sociales, hay que considerar también elementos como el etnocentrismo (Luque et al., 2000) y los estereotipos (Velandia-Morales, 2011).
Estos estereotipos influyen en el comportamiento y las actitudes de cada género (Correll et al., 2007). Ir en contra de estos comportamientos y actitudes sería ir en contra de las normas sociales, lo cual puede ser catalogado como indecoroso y, por ende, puede ser castigado socialmente (Rudman y Glick, 1999).
El marketing de género ha establecido un estereotipo femenino que ha encasillado a la mujer por encima del hombre en relación con el consumo (Esci News, 2009) Por eso, la publicidad en el mercado de la belleza (cosméticos, ropa, maquillaje, etc.) y en el mercado de los productos domésticos se ha enfocado mayormente en el público femenino, dejando de lado a los hombres, a los cuales ha encasillados en otras áreas (Royo et al., 2007).
Por esta creación de estereotipos, las mujeres tienen una mayor tendencia a comprar productos del mercado de la belleza como ropa, maquillaje, cosméticos, entre otros, que los hombres. Por esto, su comportamiento y sus actitudes son más favorables respecto a su género. Por lo tanto, se propone la sexta hipótesis.
Hipótesis 6. Las mujeres tienen actitudes más positivas hacia el mercado de la moda que los hombres.
Metodología de la investigación
Tipo de investigación y sujeto de estudio
La metodología de la investigación fue cuantitativa, de corte transversal en referencia a la recolección de información que se realizó a través la aplicación de cuestionarios en línea. Finalmente, el objetivo de la investigación se considera correlacional-causal (Fernandez y Hernandez, 2014).
Sujeto de estudio
En México existen 8 niveles socioeconómicos según la Asociación Mexicana de Agencias de Inteligencia de Mercado y Opinión (AMAI). Estos niveles socioeconómicos evalúan aspectos como nivel educativo del jefe de familia, número de baños completos y número de autos en el hogar y conexión a internet, entre otros (AMAI, 2018). Los niveles socioeconómicos se clasifican por los ingresos promedio mensuales en el hogar; A/B siendo ingresos superiores, C+, C y C- como ingresos medios altos, D+ y D- 6 ingresos medios y E ingresos bajos.
La determinación de los sujetos de estudio de esta investigación se asistió del Código Internacional ICC/ESOMAR para la práctica de la Investigación de Mercados, Opinión y Social y del Análisis de Datos. Principalmente del artículo 2 inciso a1 y b2. Debido a la forma de recolección de datos para este estudio, los rangos de edad se establecieron entre los 18 y 21 años.
Definiendo como sujetos de estudios a los habitantes del Valle de México (Ciudad de México y Estado de México). Con rangos de edad entre los 18 y los 21 años, sin distinción de género. Pertenecientes a los niveles socioeconómicos C+, C, C- y D+, que durante los últimos dos años hayan comprado algún producto de la industria de la moda.
Según el censo de 2010, realizado por el Instituto Nacional de Estadística y Geografía (INEGI), en el área metropolitana habitan, aproximadamente, 24 millones de personas, de las cuales 2 millones cumplen con el rango de edad. Cabe mencionar que el 51% son mujeres y el 49% son hombres (INEGI, 2013).
En el Valle de México, la población con niveles socioeconómicos seleccionados representa el 61%, (AMAI, 2018a). Cruzando los datos, la población objetivo representa a 1.2 millones entre 18 y 21 años.
Por último, para identificar la intensidad en el consumo de moda, se usaron datos de Kantar Worldpanel, donde se establece que el 72% de la población en México ha comprado ropa, cuando menos, una vez al año (Kantar, 2018). Al cruzar los datos nuevamente, se obtiene una población objetivo de 864,000 sujetos de estudio.
Parámetros de medición
Para recolectar la información se desarrolló un instrumento de recolección de datos, con 28 ítems (Anexo 1), este mide los constructos: normas subjetivas, actitudes, intención de compra hacia las prendas de vestir, inteligencia emocional, percepción de calidad, edad y género.
Las medidas de los constructos se adoptaron a partir de una escala existente tipo Likert de 5 puntos (1= Completamente en desacuerdo, 5 = Totalmente de acuerdo). El primer constructo percepción de calidad se cuantificó con una escala de 10 ítems (Parasuraman et at., 1985). con ítems como, ¿Las instalaciones físicas de una tienda de ropa deben ser visualmente atractivas?, ¿En una tienda de ropa, los empleados deben ofrecer un servicio rápido a sus clientes?, ¿En una tienda de ropa, los empleados siempre deben estar dispuestos a ayudarte?
El segundo constructo, inteligencia emocional se determinó con una escala de 6 ítems (Boyatzis et al., 2000) con ítems como, ¿Cuándo estoy triste, pienso en los placeres de la vida?, ¿Me preocupo por tener un buen estado de ánimo?, ¿Cuándo me enfado intento cambiar mi estado de ánimo?
Finalmente, para medir los constructos normas subjetivas, actitudes e intención de compra hacia las prendas de vestir, se midieron con 10 ítems (Ceballos et al., 2017), con ítems como ¿Comprar ropa es agradable?, ¿Los miembros de mi familia apoyan mis compras de ropa?, ¿Estoy dispuesto a aprovechar para comprar ropa cuando voy al centro comercial?
Cabe hacer mención que, en las instrucciones iniciales se preguntó a los encuestados aspectos demográficos ¿Cuál es su edad? Si la respuesta se encontró entre 18 y 21 años, la encuesta les permitía proseguir con el llenado del formulario.
Recolección y tratamiento de datos
Se determinó el tamaño correcto de la muestra para el estudio, mediante la fórmula de tamaño de muestra para una población finita (Triola, 2004), con un nivel de confianza del 95%, un error de 6%, una p (probabilidad de éxito) de 0.5.y una población de 864,000 jóvenes. Teniendo como resultado una muestra de n = 267. Los datos del estudio se recopilaron a través de una encuesta en línea de Qualtrics, el enlace del cuestionario se distribuyó por correo electrónico en varias partes del valle de México durante el primer trimestre del 2020.
Se obtuvieron 336 cuestionarios, de los cuales 318 se completaron adecuadamente. Se excluyen del estudio las respuestas de no residentes del valle de México y no pertenecientes a los niveles socioeconómicos C+, C, C- y D+. Dando un total de encuestas de 282, con ello dando validez al estudio. En cuanto al género, el porcentaje mujeres fue ligeramente superior (58.36%), en comparación con los hombres (41.64%). Además. el 24.51% informó pertenecer al nivel socioeconómico C+, el 32.76% indicó un nivel C, 19.20% reportó formar parte del nivel C- y 23.53% al nivel D+.
Para determinar la confiablidad de los datos recolectados, se utilizó el Alfa de Cronbach (Domínguez-Lara y Merino-Soto, 2015) (Ecuación 1). En donde α es el símbolo del alfa de Cronbach; K, es el número de ítems, ΣS2 i representa la suma de las varianzas de cada ítem y S2 T representa la varianza total. Este análisis se aplicó para cada uno de los constructos de estudio.
Para la comprobación o rechazo de las hipótesis, se empleó una regresión lineal múltiple, para obtener un valor de R2 y correlación de Pearson r (Ecuación 2). En donde r, es el símbolo de la correlación lineal de Pearson, S𝑥𝑦 es la covarianza entre 𝑋 e 𝑌, S𝑥 es la desviación típica de 𝑋, y SY la de ??.) (Santabárbara, 2019). Particularmente para la H4 se realizó un análisis de la varianza con un factor (ANOVA) para determinar cuál de los elementos de la variable independiente (hombres o mujeres) tienen un mayor impacto en la variable dependiente.
Para evitar errores en los estimadores de las regresiones, se realizó la multicoleinalidad de las variables inteligencia emocional, percepción de calidad y género. La multicolinealidad se calculó mediante un Tau de Kendal (Ecuación 3). En donde Tb, es el símbolo de Tau de Kendal, P es el número de pares concordantes, Q el de pares discordantes, X0 es el de los relacionados sólo en la variable X, Y0 es el de los relacionados en la variable Y) (Laurencelle, 2009).
Los parámetros de aceptación para la confiablidad del instrumento son de α > 0.7. La validación de hipótesis se determinó mediante regresión lineal múltiple R2 > 0.6, teniendo como estadístico de apoyo la correlación de Pearson r < 0.6. Adicionalmente, H4 se apoyó en valor -p < 0.005 del ANOVA. Por último, la multicoleinalidad se confirmó con t > 0.7 (Santabárbara, 2019).
Resultados y discusión
Resultados
Se obtuvieron 282 formularios completos con la información solicitada. Antes de presentar los resultados de las pruebas de hipótesis, se determinó la validez de los resultados de los 282 cuestionarios de evaluación que se recolectaron para la investigación. Se analizaron mediante el coeficiente alfa de Cronbach a los constructos percepción de calidad (PC), inteligencia emocional (IE), actitudes hacia el mercado de la moda (A), normas subjetivas (NS) e intención de compra en el mercado de la moda. El análisis de validez dio como resultado para PC 0.932, para IE 0.935, para APV 0.918, para NS 0.929 y para ICPV 0.930, lo que sugiere que todos los ítems recuperados para el estudio son válidos (Tabla 2)
Tabla 2 Validación de instrumento de evaluación: Resultados de Alfa de Cronbach
| Constructo | Correlación total de elementos corregida | Correlación múltiple al cuadrado | Alfa de Cronbach si el elemento se ha suprimido |
|---|---|---|---|
| Percepción de calidad (PC) | 0.828 | 0.707 | 0.932 |
| Inteligencia Emocional (IE) | 0.809 | 0.712 | 0.935 |
| Actitudes hacia el mercado de la moda (A) | 0.901 | 0.826 | 0.918 |
| Normas Subjetivas (NS) | 0.846 | 0.791 | 0.929 |
| Intención de compra en el mercado de la moda | 0.838 | 0.782 | 0.930 |
Fuente: Elaboración propia.
De igual forma se evaluó la multicolinealidad. Por lo tanto, se estimaron las asociaciones entre las variables independientes (IE, PC y género). Los resultados sobre la variable género en relación con IE (t= 0.107) y PC (t= 0.124), se determinó que no existe una colinealidad con el género. En contraste, la IE y PC presentaron una t = 0.754, estableciendo una colinealidad media (Tabla 3). Esto no afecta los análisis de regresión múltiple.
Tabla 3 Análisis de multicolinealidad
| Inteligencia Emocional | Percepción de calidad | Género | |
|---|---|---|---|
| Inteligencia Emocional | 1 | ||
| Percepción de calidad | 0.754 | 1 | |
| Género | 0.107 | 0.124 | 1 |
Fuente: Elaboración propia.
Los resultados de la regresión múltiple para H1 indicaron que las actitudes hacia el mercado de la moda contribuyen en la intención de compra en el mercado de la moda (R2=0.614, coeficiente de correlación de Pearson=0.783), en consecuencia, se valida H1. Las normas subjetivas contribuyen en la intención de compra em el mercado de la moda (R2= 0.757, coeficiente de correlación de Pearson=0.870) lo que apoya a la H2, por lo cual se puede decir que para la Gen Z las normas subjetivas influyen de manera directa en las intenciones de compra en el mercado de la moda. Los resultados revelaron que las actitudes y normas subjetivas hacia el mercado de la moda influye en las intenciones de compra en el mercado de la moda. (Tabla 4).
Tabla 4 Comprobación de hipótesis H1 y H2: Resultados del análisis de regresión múltiple
| H | Variable Independiente | Media | R | R2 | Correlación de Pearson | No Stand. beta (ß) | Confirmación de Hipótesis |
|---|---|---|---|---|---|---|---|
| H1 | Actitud hacia el mercado de la moda | 2.244 | 0.783 | 0.614 | 0.783 | 0.722 | Aceptada |
| H2 | Normas subjetivas hacia el mercado de la moda | 2.417 | 0.870 | 0.757 | 0.870 | 0.839 | Aceptada |
Nota: La variable dependiente para la H1 y la H2 es intenciones de compra en el mercado de la moda.
Fuente: Elaboración propia.
Los resultados de regresión múltiple para la H3 mostraron que la inteligencia emocional influyó de manera positiva en las actitudes hacia el mercado de la moda (R2=0.698, coeficiente de correlación de Pearson =0 .836). Por lo tanto, se valida la H3 y se concluye que la inteligencia emocional en la Gen Z influye en el desarrollo de sus actitudes hacia el mercado de la moda. Asimismo, los resultados indicaron que las normas subjetivas no se ven influenciadas por la inteligencia emocional (R2=0.470, coeficiente de correlación de Pearson = 0.685), por ende, la H4 no es válida y se resuelve que la inteligencia emocional no afecta en las normas subjetivas hacia el mercado de la moda. (Tabla 5).
Tabla 5 Comprobación de hipótesis H3 y H4: Resultados del análisis de regresión lineal
| H | Variable Dependiente | Media | R | R2 | Correlación de Pearson | No Stand. beta (ß) | Confirmación de Hipótesis |
|---|---|---|---|---|---|---|---|
| H3 | Actitud hacia el mercado de la moda | 2.244 | 0.836 | 0.698 | 0.836 | 0.883 | Aceptada |
| H4 | Normas subjetivas hacia el mercado de la moda | 2.417 | 0.685 | 0.470 | 0.685 | 0.691 | Rechazada |
Nota: La variable independiente para H3 y H4 es inteligencia emocional.
Fuente: Elaboración propia.
En contraste, la H5 consideró que la percepción de calidad repercute de manera positiva en las actitudes hacia el mercado de la moda. Los resultados de la regresión lineal indicaron un R2 de 0.677 y una la correlación de Pearson 0.728. Por lo que la H5 se valida y se puede determinar que la percepción de calidad por parte de la Gen Z influencia su actitud hacia el mercado de la moda (Tabla 6). Sin embargo, la H6 fue rechazada por que el género no influye directamente en las actitudes hacia el mercado la moda, por lo cual, no se puede determinar que las mujeres tengan una actitud más positiva hacia el mercado de la moda que los hombres, esto debido a los resultados de R2=0.006, coeficiente de correlación de Pearson de 0.079 y ANOVA (p = 0.107) (Tabla 7).
Tabla 6 Comprobación de hipótesis H5: Resultados del análisis de regresión lineal
| H | Variable Independiente | Media | R | R2 | Correlación de Pearson | No Stand. beta (ß) | Confirmación de Hipótesis |
|---|---|---|---|---|---|---|---|
| H5 | Percepción de calidad | 2.1908 | 0.823 | 0.677 | 0.823 | 0.912 | Aceptada |
Nota: La variable dependiente para la H5 es actitudes hacia el mercado de la moda.
Fuente: Elaboración propia.
Tabla 7 Comprobación de hipótesis H6: Resultados del análisis de regresión múltiple y ANOVA
| H | Variable Independiente | R | R2 | Correlación de Pearson | Valor - F | Valor -p | Confirmación de Hipótesis |
|---|---|---|---|---|---|---|---|
| H6 | Género | 0.079 | 0.006 | 0.079 | 2.612 | 0.107 | Rechazada |
Nota: La variable dependiente para la H6 es actitudes hacia el mercado de la moda.
Fuente: Elaboración propia.
Discusiones y conclusiones
En relación con la H1 y H2 los hallazgos revelaron que las normas subjetivas hacia el mercado de la moda (NS) (H2) y las actitudes hacia el mercado de la moda (H1) aumentan la intención de compra. Con base en los coeficientes de regresión múltiple de las pruebas en H1 y H2 (Tabla 4). La intención de compra en el mercado de la moda por parte de la Gen Z estuvo más influenciada por las normas subjetivas (ß = 0.839) que por las actitudes (ß = 0.722). Estos resultados se explican en función de lo postulado por Ajzen y Fishbein (1980) confirmando que las creencias de los individuos sobre cuál es el comportamiento aceptable o positivo que espera el entorno sobre ellos (normas subjetivas) hacia el mercado de la moda influirá en la intención de compra. Del mismo modo, las creencias positivas (actitudes) que tenga el individuo sobre el mercado de la moda, alguna marca o productos estimularan la intención de compra. Los resultados de la H1 y la H2 son consistentes con el modelo robusto de TRA y los múltiples hallazgos de la investigación (por ejemplo, Ceballos et al., 2017) que analizaron la intención de compra en el mercado colombiano, confirmando que los componentes actitudinales y normativos son predictores de las intenciones de compra del consumidor colombiano.
Los resultados relacionados con la H3 validaron que la inteligencia emocional incide en las actitudes hacia el mercado de la moda (ß = 0.883), por consiguiente, se concluye que los individuos de la Gen Z con una mayor inteligencia emocional tendrán actitudes positivas hacia el mercado de la moda. Estos resultados son consistentes al considerar que en la actualidad el sector de la moda se ha enfocado en incrementar los canales de comunicación con el consumidor. Estos canales se han centrado principalmente en atraer al consumidor a través de mercadotecnia sensorial la cual tiene la finalidad de desarrollar creencias informativas (actitudes) positivas mediante el estímulo de las emociones de los consumidores (Nadanyiova et al., 2018)
La H4 destacó que la inteligencia emocional no influye en las normas subjetivas hacia el mercado de la moda (ß = 0.685), por tanto, se establece que los individuos de la Gen Z con un mayor grado de inteligencia emocional no son menos sensibles a las normas subjetivas hacia el mercado de la moda. Esto se contrapone a los postulados de inteligencia emocional de Saolver y Mayer (1989) quienes indican que los individuos con una mayor inteligencia emocional serán capaces de controlar sus emociones favoreciendo las capacidades cognitivas y lo indicado por Phau et al., (2015) quienes aluden a que la presión social será directamente proporcional a la susceptibilidad del cada individuo. En consecuencia, los individuos con una mayor inteligencia emocional deberían ser menos afectados por los aspectos extrínsecos como las opiniones de los individuos, grupos u organizaciones sobre lo que se espera de su imagen y comportamiento en el mercado de la moda.
Específicamente, las características de la Gen Z, la cual se considera como la primera generación global que está interconectada por las redes sociales y que tien una constante interacción en redes entre los miembros de la generación. Convirtiendo a la Gen Z en generación única debido que se comunican sin importar las barreras del idioma, cultura, etc. estableciendo una solidaridad generacional que no replica en ninguna otra generación debido a su comunicación constante (Francis y Hoefel, 2018).
La relación en el mercado de la moda con las cualidades de Gen Z (interconexión y solidaridad) permite que la adopción de una tendencia por parte de los miembros de la generación sea replicada por toda o gran parte de la Gen Z alrededor mundo (Martín et al., 2022) Bajo este enfoque de interconexión y solidaridad de la Gen Z, se puede justificar la discrepancia en susceptibilidad individual, correspondiente a la presión social, concluyendo que la susceptibilidad individual no aplica en la Gen Z como en otras generaciones. Por consiguiente, sin importar el grado la inteligencia emocional del individuo los aspectos normativos influirán de la misma forma en todos los individuos de la Gen Z. De ahí que, los resultados de H4 indiquen que la inteligencia emocional no influye en las normas subjetivas hacia el mercado de la moda.
Los resultados de la H5 indicaron que la percepción de calidad influye en las actitudes hacia el mercado de la moda (ß = 0.912). Por ende, se concluye que los individuos de la Gen Z con una mayor percepción hacia el mercado de la moda tendrán una actitud más favorable hacia este mercado. Estos resultados pueden explicarse debido a que en la actualidad el sector de la moda se ha enfocado en mejorar las experiencias de consumo, adicionalmente, se han modificado las estrategias del sector, como consecuencia aumentando la variedad en marcas que ofertan productos y reduciendo el costo. De igual forma, estos resultados son consistentes con los hallazgos de Pérez et al. (2015) , que afirman que un bajo nivel de satisfacción por parte del consumidor genera actitudes negativas hacia la marca.
Los resultados de la H6 denotan que el género no influye en las actitudes hacia el mercado de la moda. Por lo cual, se establece que las mujeres de la Gen Z no tienen actitudes más positivas hacia el mercado de la moda que los hombres de la Gen Z. Una justificación de esto es que la Gen Z se ven influenciada de forma similar por aspectos sociales para el consumo en el mercado de la moda. Este tipo de presión social en esta edad es similar para mujeres tanto para hombres. Por lo cual, el género no repercute en las actitudes hacia las prendas de vestir.
La tendencia decreciente en el mercado de la moda, ha intensificado la competitividad en la industria dentro del mercado de la moda. Debido a los impactos en el mercado muchas empresas fabricantes y los comercializadores en el mercado de la moda, buscan estrategias que mantengan la demanda de sus productos ante una clientela tan exigente como son los jóvenes que integran la Gen Z. De ahí que este estudio resulta importante, ya que examinaron las actitudes y las intenciones de compra de las prendas de vestir de la Gen Z.
Entre los hallazgos más importante se encuentran que un mayor grado de inteligencia emocional no influye en las normas subjetivas hacia el mercado de la moda, esto al tomar en cuenta las características de la Gen Z. Sin embargo, la inteligencia emocional repercute en las actitudes de compra hacia el mercado de la moda. Del mismo modo, la percepción de calidad hacia el mercado de la moda repercute directamente en las actitudes. En relación con el modelo de la TRA, es necesario recalcar que tanto las normas subjetivas como las actitudes repercuten en la intención de compra asimismo los análisis indicaron que el género no influye en las actitudes.
Académicamente, este estudio contribuye a la literatura actual al enfocarse en las actitudes e intenciones de compra en el mercado de la moda por parte de la Gen Z. Esto es relevante, ya que lo estudios previos se han enfocado en otro tipo de sectores al hablar de la teoría de acción razonada (TRA). Este estudio proporciona, además evidencia empírica de la inteligencia emocional como un factor generador de actitudes positivas hacia el mercado de la moda y da pie a nuevas áreas de investigación centradas en los componentes normativos de la presión social, en las intenciones de compra por parte de la Gen Z al demostrarse que los factores de la susceptibilidad individual de la inteligencia emocional no influyen en el desarrollo de las creencias informativas (normas subjetivas). El objetivo de esta investigación es orientar al mercado de la moda sobre qué elementos estimulan las intenciones de compra de la Gen Z lo cual permite generar estrategias más adecuadas a este segmento de mercado. Por su parte, los resultados ofrecen información sobre un enfoque poco explorado en las intenciones de compra en el mercado de la moda por parte de la Gen Z.










nueva página del texto (beta)




