Introducción
El envejecimiento es un fenómeno con implicaciones en la atención de la salud.1 Entre las condiciones que afectan a los adultos mayores se encuentran la disfagia y el deterioro cognitivo leve (DCL).2,3 Los pacientes con disfagia pueden presentar trastornos cognitivos o alteraciones del lenguaje derivados de enfermedades subyacentes como la demencia y la enfermedad vascular cerebral. Además, la disfagia puede afectar de 10 a 33 % de los adultos mayores,4,5 pero su prevalencia en pacientes con demencia es aún mayor: alcanza hasta 57 % en etapas avanzadas. La disfagia se produce por dificultades relacionadas con el proceso alimentario, se asocia a alteraciones anatómicas y funcionales en regiones corticales y subcorticales relacionadas con la deglución.6,7
Previamente se han identificado cambios en la deglución en pacientes con DCL,8,9 hasta en 38 %.10,11 Incluso, en pacientes con enfermedad de Alzheimer en etapas tempranas, cuando la disfagia podría no ser clínicamente evidente, durante la deglución se ha demostrado reducción de la actividad cerebral dependiente del nivel de oxígeno. Esto sugiere que los cambios en el control cortical de la deglución pueden iniciarse antes de que la disfagia se manifieste.11 En la población mexicana, los datos son limitados. La asociación entre la cognición y los trastornos de la deglución sugiere que múltiples sistemas neuroanatómicos están implicados.12
Por otro lado, la disfagia es causante de diversos problemas de salud como deshidratación, desnutrición, neumonía por aspiración, además de afectar la calidad de vida.13,14 Mediante resonancia magnética funcional se ha identificado la participación de las áreas cortico-subcorticales de la deglución, relacionada con actividad de la ínsula, la circunvolución frontal inferior y la corteza cingulada anterior. Estas alteraciones pueden llevar a deterioro motor durante la deglución, lo que resulta en dificultades en la masticación y formación del bolo alimenticio.15 El diagnóstico y el tratamiento de la disfagia en etapas tempranas del DCL representan un reto.16 Existen escalas de evaluación clínica diseñadas para el diagnóstico de la disfagia. Asimismo, existen métodos diagnósticos como la videofluoroscopia de la deglución, la cual es considerada el estándar de oro, con sensibilidad de 80 % y especificidad de 93 %.17 El objetivo de este estudio fue conocer las características de la disfagia por informe clínico y por fluoroscopia en adultos mayores con DCL y demencia.
Material y métodos
Participantes
Estudio observacional transversal de pacientes ambulatorios de 60 años o más, quienes fueron evaluados en la clínica de memoria de un hospital de tercer nivel en la Ciudad de México entre junio de 2022 y abril de 2023.
Fueron reclutados 463 adultos con diagnóstico de DCL y demencia, de los cuales en 305 se identificó algún criterio de exclusión: diagnóstico previo de disfagia, disautonomía diabética, esclerodermia, patología estructural o antecedente de cirugía de cuello (tumores, pólipos), patologías psiquiátricas descontroladas (depresión, ansiedad y/o delirium), enfermedades neurológicas (enfermedad de Parkinson, miopatías, miastenia gravis, esclerosis lateral amiotrófica), intubación orotraqueal en los últimos seis meses o uso de fármacos que pueden modificar la deglución (por ejemplo, benzodiacepinas, antagonistas dopaminérgicos, antiepilépticos, anticolinérgicos, mucolíticos, antihistamínicos, antibióticos, antineoplásicos y antiinflamatorios).
Finalmente, 158 personas fueron incluidas en el análisis (66 hombres y 92 mujeres), Figura 1. El diagnóstico y tipo de DCL se definió de acuerdo con los criterios de Petersen et al.:9 pérdida de memoria referida por el paciente o por un informante, facultad de memoria inferior a 1.5 desviaciones estándar por debajo de la media para la edad. Se consideró cognición global normal ≥ 24 puntos de la versión en español del Miniexamen del Estado Mental (MMSE)18 o ≥ 26 puntos de la versión en español del Montreal Cognitive Assessment (MoCA).19 Se consideró una puntuación ≤ 7 de la subprueba Memory Index Score del MoCA para apoyar el perfil cortical característico del DCL amnésico.20 Además, se valoró normalidad en las actividades de la vida diaria y ausencia de criterios diagnósticos de demencia.
La demencia tipo enfermedad de Alzheimer se definió según los criterios propuestos por el National Institute of Neurological and Communicative Disorders and Stroke y la Alzheimers Disease and Related Disorders Association (NINCDS/ADRDA).21 Adicionalmente, los pacientes debían contar con habilidad para seguir instrucciones verbales y tener deseo de participar en el estudio.
El riesgo de disfagia se determinó mediante puntuación ≥ 3 en Eating Assessment Tool-10 (EAT-10) de Belafsky et al.,22 cuestionario verbal y unidimensional cuya puntuación se basa en síntomas específicos, el cual ha sido validado y traducido al español y ha demostrado buena consistencia interna y reproducibilidad test-retest.23
Todos los participantes fueron evaluados por especialistas en geriatría y/o neurología. De los expedientes electrónicos se obtuvo información de variables sociodemográficas y de salud: sexo, edad, escolaridad y comorbilidades. Se utilizó el índice de funcionalidad de Katz, considerando al participante como dependiente si declaraba dos o más actividades perdidas;24 así como la escala Lawton y Brody, con la que se consideró dependencia con más de tres actividades perdidas.25 Todos los participantes aceptaron y firmaron el consentimiento informado.
Estudio de trago de bario
El estudio de trago de bario modificado se realizó en 84 pacientes que obtuvieron ≥ 3 puntos en la escala EAT-10.26 Su realización estuvo a cargo de un radiólogo experto que desconocía la valoración clínica. Para evaluar la deglución, se incluyó información de las siguientes fases: fase oral (preparatoria y transportadora), faríngea y esofágica; los puntos evaluados en ellas fueron el cierre de labios, retención del bolo, propulsión del bolo, elevación y desplazamiento posterior de la lengua, elevación del paladar blando, contracción del músculo constrictor superior, protección de la regurgitación nasal, propulsión del bolo por la base de la lengua, horizontalización de la epiglotis, elevación de la laringe, contracción de los músculos constrictores de la faringe, limpieza de la orofaringe e hipofaringe, relajación del esfínter esofágico superior y bolo en esófago y regreso a la posición inicial de las estructuras.
Para el estudio de bario modificado se utilizaron tres consistencias:
Semisólida: mezcla de 30 g de sulfato de bario de alta densidad y 5 g de espesante diluido en 2.5 mL de agua potable a una temperatura de 30 °C, que se dejó reposar durante cinco minutos.
Sólida: mezcla de 30 g de sulfato de bario de alta densidad y 5 g de espesante diluido en 1 mL de agua potable, en reposo durante cinco minutos.
Líquida: 340 g de sulfato de bario de alta densidad diluidos con 65 mL de agua potable.
Con el paciente de pie o sentado, se solicitó una proyección lateral y anteroposterior y se administró la preparación de consistencia sólida en un máximo de 2 mL, con adecuada tolerancia. Al no observar alteración en el mecanismo de la deglución en ninguna fase, se administró mayor cantidad de la misma consistencia. Se repitieron los mismos pasos con la consistencia semisólida y la consistencia líquida. Con cada consistencia se evaluaron las fases de la deglución; se definió como disfagia (variable dependiente) a la presencia de broncoaspiración en cualquier fase.27
Análisis estadístico
Se realizó análisis descriptivo para caracterizar diferencias entre los grupos (DCL versus demencia). Para probar las diferencias entre las variables categóricas, se realizó prueba de χ2 y prueba U de Mann-Whitney, según correspondiera. Se efectuó un análisis de regresión logística simple y múltiple para probar la probabilidad de tener broncoaspiración (disfagia) en las fases de la deglución y pertenecer al grupo DCL o al grupo con demencia (variable independiente de efecto principal), ajustando por covariables (edad, sexo y funcionalidad). Se obtuvieron las razones de momios (RM) a partir del exponencial de los coeficientes de regresión, así como los intervalos de confianza de 95 % (IC 95 %) y p < 0.05, para lo cual se utilizó el programa estadístico SPSS versión 25 (SPSS Inc., Chicago, Illinois, Estados Unidos).
El protocolo fue revisado y aprobado por los comités institucionales de ética y de investigación en humanos (clave de aprobación GER-4207-22-23-1).
Resultados
Se incluyeron 158 participantes, de los cuales 66 (41.8 %) tuvieron diagnóstico de DCL y 92 (58.2 %) de demencia (leve 35 %, moderada 17 % y severa 6.2 %). El 58.2 % (n = 92) correspondió al sexo femenino. El promedio de escolaridad fue de 9.2 ± 5.4 años, 39 % con un rango de uno a seis años, 37 % con siete a 14 años y 23 % con más de 15 años de escolaridad.
El 12 % de los pacientes con demencia presentó índice de masa corporal < 18.5 (p < 0.001), Tabla 1.
Tabla 1 Características sociodemográficas y de salud de acuerdo con el diagnóstico cognitivo
| Características | Diagnóstico cognitivo | p* | |||
|---|---|---|---|---|---|
| DCL (n = 66) | Demencia (n = 92) | ||||
| Media ± DE | Media ± DE | ||||
| Edad en años | 74.8 ± 7.9 | 81.5 ± 8.5 | < 0.001 | ||
| Índice de masa corporal | 26.5 ± 4.6 | 23.9 ± 4.7 | < 0.001 | ||
| Puntuación MMSE | 26.3 ±2.5 | 19.6 ± 5.8 | < 0.001 | ||
| Puntuación MoCA | 20.9 ± 3.8 | 13.3 ± 5.8 | < 0.001 | ||
| n | % | n | % | ||
| Edad > 75 años | 31 | 48 | 69 | 74 | < 0.001 |
| Sexo femenino | 42 | 63.6 | 50 | 54.3 | 0.174 |
| Disfagia | 34 | 40.5 | 50 | 59.5 | 0.892 |
| Niveles de IMC (kg/m2) | |||||
| < 18.5 | 3 | 5 | 11 | 12 | 0.012 |
| 18.5-24.9 | 22 | 34 | 47 | 51 | |
| 25-29.9 | 23 | 35 | 25 | 27 | |
| ≥ 30 | 17 | 26 | 10 | 11 | |
| Estado civil | 0.701 | ||||
| Soltero | 7 | 11 | 7 | 8 | |
| Casado | 29 | 45 | 47 | 51 | |
| Viudo | 24 | 37 | 33 | 35 | |
| Divorciado | 4 | 6 | 6 | 6 | |
| Unión libre | 1 | 2 | - | ||
| Escolaridad en años | 0.075 | ||||
| 1-6 | 19 | 29 | 43 | 46 | |
| 7-14 | 30 | 46 | 29 | 31 | |
| > 15 | 16 | 25 | 21 | 23 | |
| Valoración según índice de Katz | |||||
| Dependiente (> 2 ABVD) | - | 33 | 35 | ||
| Independiente | 66 | 100 | 60 | 65 | < 0.001 |
| Valoración según índice de Lawton | |||||
| Dependiente (> 3 AIVD) | 16 | 25 | 64 | 69 | < 0.001 |
| ndependiente | 49 | 75 | 29 | 31 | < 0.001 |
| Diabetes mellitus | 25 | 38 | 38 | 41 | 0.762 |
| Hipertensión arterial | 38 | 58 | 55 | 59 | 0.932 |
| Dislipidemia | 20 | 31 | 29 | 31 | 0.956 |
| Fibrilación auricular | 4 | 6 | 10 | 11 | 0.317 |
Valor p obtenido por prueba de χ2 y la prueba U de Mann-Whitney, según correspondiera. ABVD: actividades básicas de la vida diaria; AIVD: actividades instrumentales de la vida diaria; DCL: deterioro cognitivo leve; DE: desviación estándar; IMC: índice de masa corporal. MMSE: Miniexamen del Estado Mental. MoCA; Montreal Cognitive Assessment.
Respecto a la presencia de disfagia determinada mediante EAT-10 (≥ 3), se identificó en 54.5 % del grupo con DCL (32 % con DCL amnésico versus 22.5 % con DCL no amnésico), en 43.6 % de los adultos mayores con demencia leve, en 59.3 % de aquellos con demencia moderada y en 100 % de aquellos con demencia severa. Los pacientes con riesgo de disfagia definido por EAT-10 presentaron de cinco a 16 alteraciones de la deglución en la fluoroscopia de trago de bario, 0.6 % presentó cinco alteraciones de la deglución; 1.3 %, seis alteraciones; 1.3 %, ocho alteraciones; 1.3 %, 10 alteraciones; 2.5 %, 11 alteraciones; 5.7 %, 12 alteraciones; 12.7 %, 13 alteraciones; 19.6 %, 14 alteraciones; 5.7 %, 15 alteraciones; y 2.5 %, 16 alteraciones (Figuras 2 y 3).

Figura 2 Diagrama de Sankey. Número de fases de la deglución alteradas según estudio fluoroscópico en pacientes con demencia y deterioro cognitivo leve.

Figura 3 Diagrama de Sankey. Número de fases de la deglución alteradas por estudio fluoroscópico en pacientes con deterioro cognitivo leve subdividido en amnésico y no amnésico.
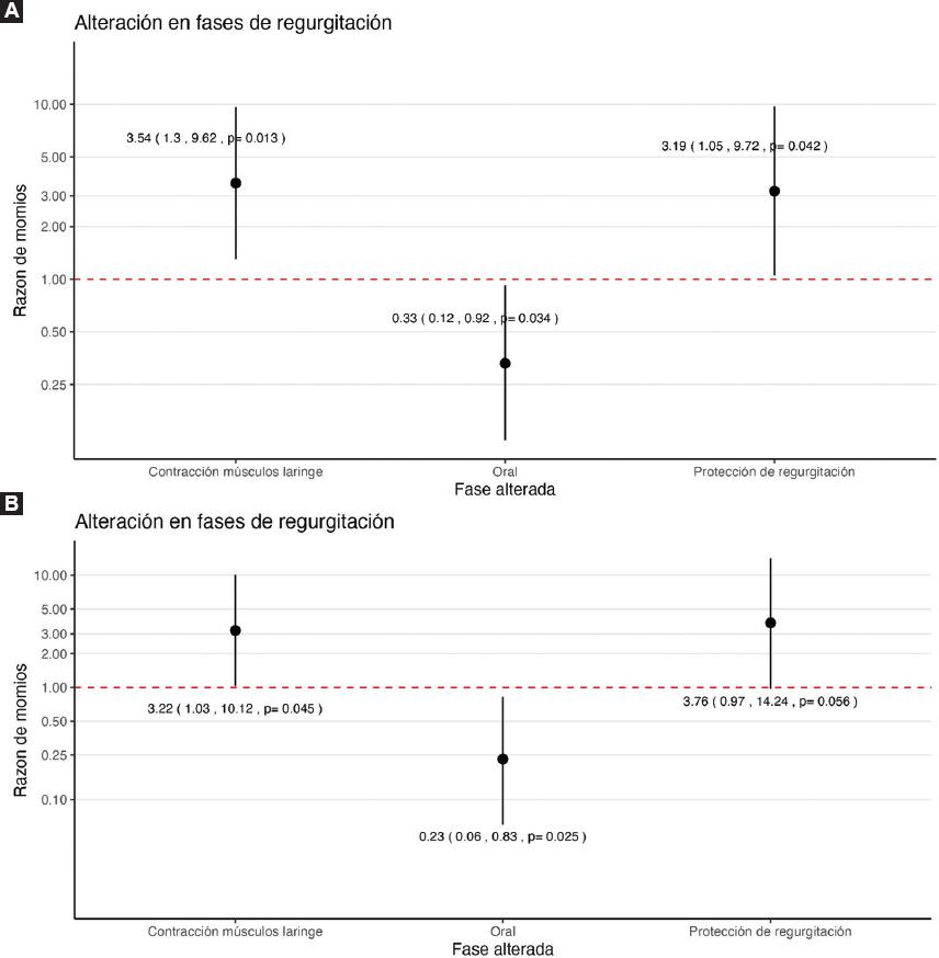
Se realizaron análisis de regresión logística simple y múltiple para analizar la probabilidad de tener alteración en la deglución según la presencia de DCL versus demencia, después de ajustar por covariables como edad, sexo y escalas de funcionalidad, con los que se obtuvo RM = 0.23 (IC 95 % = 0.06, 0.83), con p = 0.025 para alteración en la fase oral; RM = 3.78 (IC 95 % = 0.97, 14.24), con p = 0.056 en la protección de la regurgitación; y RM = 3.22 (IC 95 % = 1.03, 10.12), con p = 0.045 en la contracción de músculos de la laringe, con un valor recíproco de 0.22 (Figura 4).

Figura 4 Modelos de regresión logística que muestran la probabilidad de tener alteración en las fases de la deglución según la presencia de deterioro cognitivo versus demencia. Se muestran razones de momios e intervalos de confianza de 95 %. A: regresión logística simple. B: regresión logística ajustada por edad, sexo y escala de Lawton para actividades instrumentadas de la vida diaria.
Discusión
Existe alta prevalencia de disfagia en los pacientes mayores con DCL y demencia. Nuestros resultados son similares a los obtenidos por Seçil et al.,28 quienes reportaron que los pacientes con demencia presentaron alteraciones de la deglución desde etapas tempranas del deterioro cognitivo; 75 % no indicó trastornos en la deglución, lo que reafirma que el problema es un continuo que inicia desde disfagia subclínica hacia disfagia manifiesta y, finalmente, evoluciona a apraxia de la deglución.
Parece que las dificultades para comer y deglutir en los individuos con demencia tipo enfermedad de Alzheimer son menos graves que en los individuos con demencia de lóbulo frontotemporal y demencia por cuerpos de Lewy.29 La neurodegeneración relacionada con la enfermedad de Alzheimer ocurre en las cortezas temporales anteromediales, región involucrada en el reflejo de la deglución y el funcionamiento de la memoria. Nuestro estudio demostró que los pacientes con demencia leve, moderada y grave presentan disfagia, similar a lo reportado por Lages et al.,30 quienes describieron la relación entre disfagia y demencia. Con la evaluación clínica y la videofluoroscopia se observaron signos sugestivos de aspiración. La disfagia constituye un síntoma común en la demencia, más frecuente en personas mayores ingresadas en unidades de cuidados prolongados.31
Otro aspecto relevante en los resultados de nuestro estudio es el bajo índice de masa corporal en los participantes con disfagia, posiblemente relacionado con sarcopenia, la cual puede vincularse con la capacidad de alimentación y la absorción deficiente de nutrientes, además, de que favorece la aspiración de alimentos o líquidos hacia la tráquea, lo que resulta en neumonía por aspiración o, incluso, la muerte por asfixia.32
En nuestro estudio, a un subconjunto de pacientes se les realizó fluoroscopia por trago de bario. De acuerdo con los hallazgos encontrados, más de la mitad de los pacientes con DCL presentó disfagia, con gran número de alteraciones de la deglución. Oszurecki et al.33 demostraron algo similar en etapas tempranas de la enfermedad. De acuerdo con lo reportado por De Stefano et al.,34 los pacientes con DCL y aparente capacidad de deglución o masticación presentan deterioro de la diadococinesia oral y derrame de alimentos. Lo anterior se debe a habilidades motoras orales deterioradas y a función labial deficiente.35 Los mecanismos neurales subyacentes aún no están claros, sin embargo, se ha establecido que las regiones frontales son cruciales en la función ejecutiva.36 Comer y tragar son acciones que requieren conciencia cognitiva, reconocimiento visual de los alimentos, respuesta fisiológica, planificación y ejecución motora, así como respuestas sensoriomotoras que disminuyen con la gravedad del deterioro cognitivo. En nuestro estudio, los pacientes con DCL no amnésico tuvieron puntuaciones de EAT-10 más altas respecto a los pacientes con DCL amnésico y, por lo tanto, mayor número de fases de la deglución alteradas en el estudio de bario. Estos hallazgos, diferentes a lo reportado por Winchester et al.,37 quienes en su estudio puntualizan la relación de la disfagia con el tipo de DCL amnésico, considerado una fase prodrómica entre el envejecimiento y la enfermedad de Alzheimer. Es probable que la población con DCL amnésico de dominio único experimente alteraciones en el gusto, y que se atribuya la gravedad de los síntomas de disfagia a la patología de la enfermedad de Alzheimer.
Observamos una variedad de alteraciones de la deglución dependiendo de la etapa de alteración cognitiva, ya que el grupo de pacientes con DCL presentó una menor probabilidad de alteración en la fase oral en comparación con el grupo con demencia, como resultado de una apraxia de la deglución, falta de coordinación en el funcionamiento lingual, labial y mandibular,38 ya que en esta fase, el bolo se mezcla con saliva, se remodela y se mastica según sea necesario para prepararlo hacia el movimiento de la faringe. La consistencia, el sabor y el volumen de los alimentos determinan la duración de las fases preparatoria y transportadora oral.39,40 Se encontró una asociación significativa (2.19 veces más) entre la disfunción en la protección contra la regurgitación y el DCL. Por otra parte, observamos que la alteración de la contracción de músculos de la laringe estuvo 2.54 veces asociada a DCL en comparación con el grupo con demencia, esto se debe a que una deglución exitosa depende de una conexión adecuada entre la corteza, subcorteza, tronco cerebral y nervios craneales. De manera inicial se consideró que debía existir daño en los hemisferios como el tronco cerebral para que un individuo tuviera disfagia.41 Sin embargo, con la llegada de técnicas de neuroimagen, se puede demostrar que la disfagia puede resultar de una lesión unilateral de la corteza cerebral.42,43 Tanto la deglución refleja como la voluntaria activan la circunvolución precentral, poscentral, ínsula y cíngulo anterior.44,45 Además, se ha observado activación en los ganglios basales, aunque las contribuciones a la deglución son menos notables que en otras áreas mencionadas anteriormente.41,45
Nuestro estudio tiene implicaciones clínicas significativas. La detección precoz de la disfagia en personas mayores con DCL y demencia es crucial para aplicar intervenciones adecuadas, como la terapia de deglución y cambios en la dieta, que ayuden a mejorar la calidad de vida y evitar complicaciones como la aspiración pulmonar. Además, encontramos que la disfagia está presente desde etapas tempranas, por lo que se debe buscar de manera sistemática mediante interrogatorios clínicos o de imagen, lo que sin duda podría mejorar la atención integral de los pacientes.
Conclusiones
Los hallazgos subrayan la alta prevalencia de disfagia en personas mayores con DCL y demencia. Demuestran que los pacientes presentan disfagia desde etapas tempranas de la demencia. Además, apoyan y resaltan la importancia de la detección y gestión de la disfagia en población geriátrica para mejorar su calidad de vida y bienestar general, al reconocer fases de la deglución susceptibles de mejorar con intervenciones puntuales.










nueva página del texto (beta)



